A Short-Term Load Forecasting Model with a Modified Particle Swarm Optimization Algorithm and Least Squares Support Vector Machine Based on the Denoising Method of Empirical Mode Decomposition and Grey Relational Analysis
Abstract
:1. Introduction
2. Forecasting Algorithm
2.1. LSSVM
2.2. MPSO
2.2.1. Standard PSO
2.2.2. Modified PSO
2.3. MPSO-LSSVM
- (1)
- Set the parameters of the PSO and initialize the particle swarm.
- (2)
- Calculate the fitness value of each particle and find the current individual extreme position and global extreme position.
- (3)
- Calculate the averaging particle distance and mutation operator of the population and judge whether the particles fall into the premature convergence state. If the particles fall into local optimum, redistribute the particle solution space to guide the particles to jump out of local optimum.
- (4)
- Update the velocity and position of the particles to generate new species. Calculate the fitness values and compare them with historical optimal value. Update the individual extreme position and the global extreme position and cycle this process until the number of iterations is reached. Then, the optimization results can be obtained.
- (5)
- Forecast the load by LSSVM based on optimal parameters.
3. De-Noising Method
3.1. EMD
- (1)
- Find all the local extreme of and fit the upper envelope and the lower envelope of by cubic spline function.
- (2)
- Calculate the average value of the upper envelope and lower envelope.
- (3)
- Calculate the difference between and , .
- (4)
- Repeat the steps (1) ~ (3) regarding as the original series. When the mean envelope tends to zero, the first IMF component is obtained.
- (5)
- Let . Repeat the steps (1)~(4) regarding as the original series, then the second IMF component is obtained. Repeat this process until the difference function is a constant function or a monotone function. Then, the original series can be described as Equation (11):
3.2. GRA
3.3. EMD-GRA
- (1)
- Decompose the original time series by EMD and obtain finite intrinsic mode functions.
- (2)
- Calculate the grey relational degree between each IMF and the original series and rank the relational degree.
- (3)
- Eliminate the IMF with the lowest relational degree and reconstruct the rest IMFs. Then, get the de-noising time series.
4. The Forecasting Model of EMD-GRA-MPSO-LSSVM
5. Empirical Analysis
5.1. Sample Selection
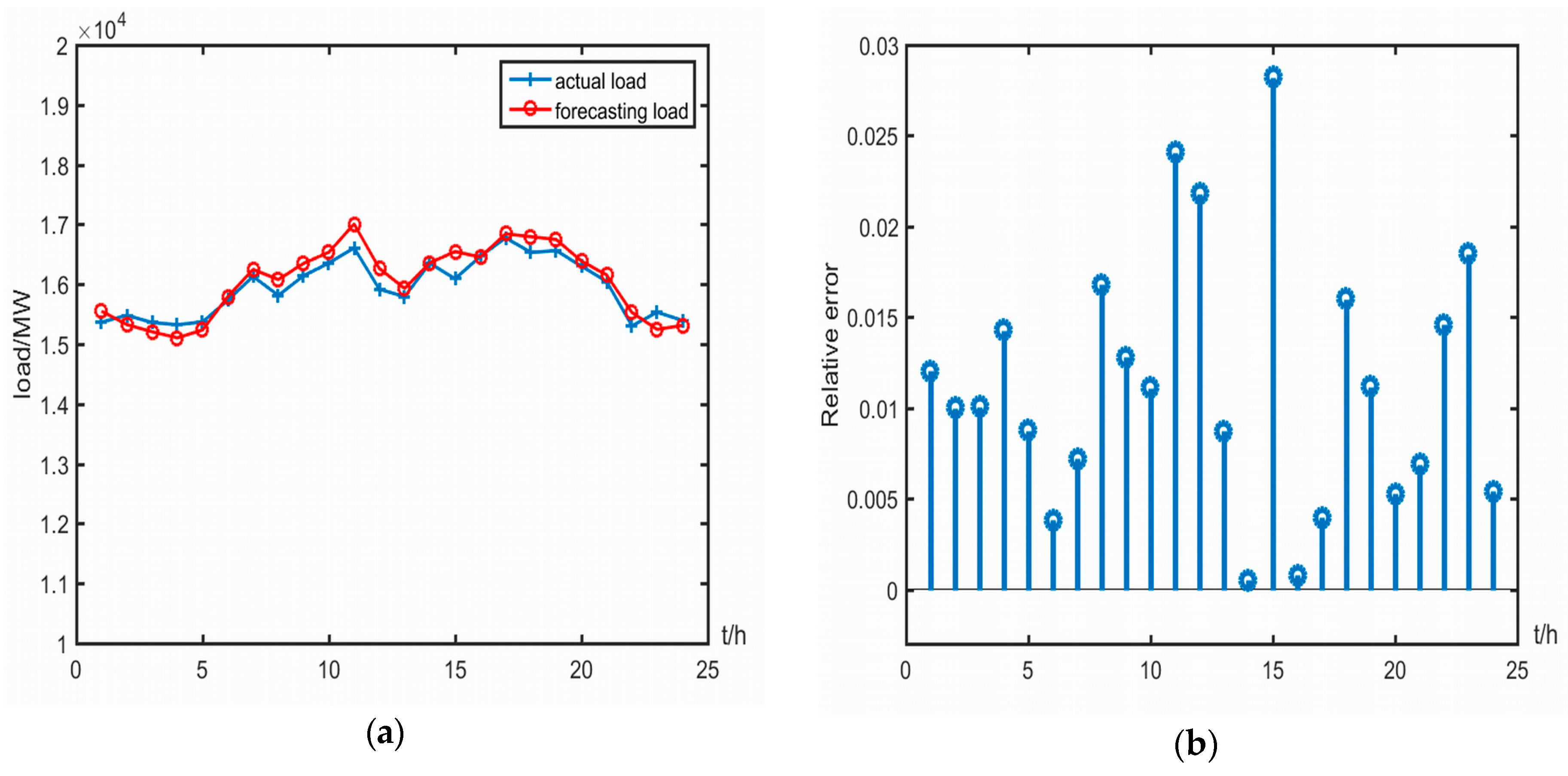
5.2. Load Forecasting Based on EMD-GRA-MPSO-LSSVM
5.3. Model Comparison
5.4. Supplementary Experiment
- (1)
- The fitting effect for short-term nonlinear time series of the combined model is obviously better than that of single model.
- (2)
- The modified optimization algorithm has the advantage over the original optimization algorithm in parameter optimization.
- (3)
- The method of time series decomposition can effectively improve the forecasting accuracy of the forecasting model.
- (4)
- The forecasting effect of the time series processed by de-noising method is superior to that of the original time series.
6. Conclusions
Acknowledgments
Author Contributions
Conflicts of Interest
References
- Velasco, L.C.P.; Villezas, C.R.; Palahang, P.N.C.; Dagaang, J.A.A. Next day electric load forecasting using Artificial Neural Networks. In Proceedings of the International Conference on Humanoid, Nanotechnology, Information Technology, Communication and Control, Environment and Management (HNICEM), Puerto Princesa, Philippines, 12–16 November 2014.
- Kowm, D.; Kim, M.; Hong, C.; Cho, S. Artificial neural network based short term load forecasting. Int. J. Smart Home 2014, 8, 145–150. [Google Scholar] [CrossRef]
- Hernández, L.; Baladrón, C.; Aguiar, J.M.; Calavia, L.; Carro, B.; Sánchez-Esguevillas, A.; Pérez, F.; Fernández, A.; Lloret, J. Artificial Neural Network for Short-Term Load Forecasting in Distribution Systems. Energies 2014, 7, 1576–1598. [Google Scholar] [CrossRef]
- Li, L.J.; Huang, W. A Short-Term Power Load Forecasting Method Based on BP Neural Network. Appl. Mech. Mater. 2014, 494–495, 1647–1650. [Google Scholar] [CrossRef]
- Bin, H.; Zu, Y.X.; Zhang, C. A Forecasting Method of Short-Term Electric Power Load Based on BP Neural Network. Appl. Mech. Mater. 2014, 538, 247–250. [Google Scholar] [CrossRef]
- Li, C.; Liang, Z.Q.; Chen, M.Y. An Improved RBF Neural Network for Short Term Load Forecasting. Adv. Mater. Res. 2014, 1008–1009, 709–713. [Google Scholar] [CrossRef]
- Ni, J.; Jin, G. The Short Term Load Forecasting of RBF Neural Network Power System Based on Fuzzy Control. In Proceedings of the International Conference on Electronics, Network and Computer Engineering, Yinchuan, China, 13–14 August 2016.
- Dong, J.; Xia, C.; Zhang, W. A New Model for Short-Term Power System Load Forecasting Using Wavelet Transform Fuzzy RBF Neural Network. Lect. Notes. Electr. Eng. 2014, 277, 99–106. [Google Scholar]
- Suka, M.; Oeda, S.; Ichimura, T.; Yoshida, K.; Takezawa, J. Advantages and Disadvantages of Neural Networks for Predicting Clinical Outcomes. In Proceedings of the International Multiconference of Engineers and Computer Scientists, Hong Kong, China, 21–23 March 2007.
- Yang, J.F.; Cheng, H.Z. Application of SVM to power system short-term load forecast. Electr. Power. Autom. Equip. 2004, 24, 30–32. [Google Scholar]
- Hong, X.; Wei, J.P.; Liu, H.L. Parameter Selection and Optimization Method of SVM Model for Short-term Load Forecasting. Proc. CSEE 2006, 26, 17–22. [Google Scholar]
- De Giorgi, M.G.; Malvoni, M.; Congedo, P.M. Comparison of strategies for multi-step ahead photovoltaic power forecasting models based on hybrid group method of data handling networks and least square support vector machine. Energy 2016, 107, 360–373. [Google Scholar] [CrossRef]
- Kong, X.; Liu, X.; Shi, R.; Lee, K.Y. Wind speed prediction using reduced support vector machines with feature selection. Neurocomputing 2015, 169, 449–456. [Google Scholar] [CrossRef]
- Li, X.; Wang, X.; Zheng, Y.H.; Li, L.X.; Zhou, L.D.; Sheng, X.K. Short-Term Wind Power Forecasting Based on Least-Square Support Vector Machine (LSSVM). Appl. Mech. Mater. 2013, 448, 1825–1828. [Google Scholar] [CrossRef]
- Zhang, J.; Lin, Y.; Lu, P. Short-Term Electricity Load Forecasting Based on ICA and LSSVM. In Proceedings of the Computational Intelligence and Software Engineering (CiSE 2009), Wuhan, China, 11–13 December 2009.
- Sun, W.; Yang, C. Research of Least Square Support Vector Machine Based on Chaotic Time Series in Power Load Forecasting Model. In Proceedings of the International Conference on Neural Information Processing, Hong Kong, China, 3–6 October 2006.
- Mahjoob, M.J.; Abdollahzade, M.; Zarringhalam, R. GA based optimized LS-SVM forecasting of short term electricity price in competitive power markets. In Proceedings of the Industrial Electronics and Applications, Singapore, 3–5 June 2008.
- Liu, H.Y.; Jiang, Z.J. Research on Failure Prediction Technology Based on Time Series Analysis and ACO-LSSVM. Comput. Mod. 2013, 1, 219–222. [Google Scholar] [CrossRef]
- Yusof, Y.; Kamaruddin, S.S.; Husni, H.; Ku-Mahamud, K.R.; Mustaffa, Z. Forecasting Model Based on LSSVM and ABC for Natural Resource Commodity. Int. J. Comput. Theor. Eng. 2013, 5, 906–909. [Google Scholar] [CrossRef]
- Qiao, W.; Chen, B.; Wu, S.; Ma, J. A forecasting model of natural gas daily load based on wavelet transform and LSSVM—DE. Nat. Gas Ind. 2014, 34, 118–124. [Google Scholar]
- Wu, Q.; Peng, C. Wind power grid connected capacity prediction using LSSVM optimized by the bat algorithm. Energies 2015, 8, 14346–14360. [Google Scholar] [CrossRef]
- Malvoni, M.; De Giorgi, M.G.; Congedo, P.M. Photovoltaic forecast based on hybrid PCA–LSSVM using dimensionality reducted data. Neurocomputing 2016, 211, 72–83. [Google Scholar] [CrossRef]
- Yang, W.; Li, Q. Survey on Particle Swarm Optimization Algorithm. Eng. Sci. 2004, 6, 87–94. [Google Scholar]
- Wang, D.; Zeng, P.; Li, L.; Wang, K. A Novel Particle Swarm Optimization Algorithm. In Proceedings of the International Conference on Software Engineering and Service Sciences, Beijing, China, 16–18 July 2010.
- Bai, J.; Zhang, X.; Xue, P.; Wang, J. Parameters Optimization and Application of v-Support Vector Machine Based on Particle Swarm Optimization Algorithm. In Proceedings of the International Conference on Computing, Measurement, Control and Sensor Network, Taiyuan, China, 7–9 July 2012.
- Zhu, L.; Wang, Z. Research on Power Load Forecasting Based on PSO-LSSVM. Sci. Mos. 2014, 2, 11–15. [Google Scholar]
- Sun, B.; Yao, H.T. The short-term wind speed forecast analysis based on the PSO-LSSVM predict model. Power Syst. Prot. Control. 2012, 40, 85–89. [Google Scholar]
- Soltani, S. On the use of the wavelet decomposition for time series prediction. Neurocomputing 2002, 48, 267–277. [Google Scholar] [CrossRef]
- Mabrouk, A.B.; Abdallah, N.B.; Dhifaoui, Z. Wavelet decomposition and autoregressive model for time series prediction. Appl. Math. Comput. 2008, 199, 334–340. [Google Scholar] [CrossRef]
- An, X.; Jiang, D.; Liu, C.; Zhao, M. Wind farm power prediction based on wavelet decomposition and chaotic time series. Expert Syst. Appl. 2011, 38, 11280–11285. [Google Scholar] [CrossRef]
- Guo, H.; Liu, Y.; Liang, H.; Gao, X. An Application on Time Series Clustering Based on Wavelet Decomposition and Denoising. In Proceedings of the 4th International Conference on Natural Computation, Jinan, China, 18–20 October 2008.
- Xia, C.; Lei, B.; Rao, C.; He, Z. Research on short-term load forecasting model based on wavelet decomposition and neural network. In Proceedings of the International Conference on Natural Computation, Shanghai, China, 26–28 July 2011.
- De Giorgi, M.G.; Campilongo, S.; Ficarella, A.; Congedo, P.M. Comparison between wind power prediction models based on wavelet decomposition with Least-Squares Support Vector Machine (LS-SVM) and Artificial Neural Network (ANN). Energies 2014, 7, 5251–5272. [Google Scholar] [CrossRef]
- Lima, E.R.D.; Andrade, A.O.; Pons, J.L.; Kyberd, P.; Nasuto, S.J. Empirical mode decomposition: A novel technique for the study of tremor time series. Med. Biol. Eng. Comput. 2006, 44, 569–582. [Google Scholar] [CrossRef] [PubMed]
- Uygur, K.; Bayramoglu, I.; Nazikoglu, A.; Yilmaz, M.; Bayazit, Y.; Muftuoglu, S. Using empirical mode decomposition to correlate paleoclimatic time-series. Nat. Hazards Earth Syst. Sci. 2007, 7, 299–307. [Google Scholar]
- Pachori, R.B.; Hewson, D.; Snoussi, H.; Duchene, J. Postural time-series analysis using Empirical Mode Decomposition and second-order difference plots. In Proceedings of the IEEE International Conference on Acoustics, Speech and Signal Processing, Taipei, Taiwan, 19–24 April 2009.
- Wei, L.Y. A hybrid ANFIS model based on empirical mode decomposition for stock time series forecasting. Appl. Soft Comput. 2016, 42, 368–376. [Google Scholar] [CrossRef]
- Xing, H.; Wang, H.; Liu, Y.; Lu, J.; Jiang, W. Multi-scale modeling method based on EMD-LSSVM and its application. Infrared Laser Eng. 2013, 42, 1737–1742. [Google Scholar]
- Wang, X.; Li, H. One-Month Ahead Prediction of Wind Speed and Output Power Based on EMD and LSSVM. In Proceedings of the 2009 International Conference on Energy and Environment Technology, Guilin, China, 16–18 October 2009.
- Feng, N.D.; Yan, N.J.; Huang, N.P. A Novel De-noise Method Based on the Grey Relational Analysis. In Proceedings of the IEEE International Conference on Information Acquisition, Weihai, China, 20–23 August 2006.
- Uzunhisarcikli, E.; Latifoglu, F.; Koza, T.; Kaya, M.G. Doppler ultrasound signal denoising based on Grey relational analysis technique. In Proceedings of the 2009 14th National Biomedical Engineering Meeting, Izmir, Turkey, 20–22 May 2009.
- Xuxiang, L.U.; Yiming, S.U.; Jiateng, W.U.; Luping, L.I. Fault Diagnosis on Lubrication State of Journal Bearings Based on EMD and Grey Relational Degree. J. Chin. Soc. Power Eng. 2016, 36, 42–47. [Google Scholar]
- Chi, Y.; Sun, F.; Jiang, L.; Yu, C. An efficient population diversity measure for improved particle swarm optimization algorithm. In Proceedings of the 2012 6th IEEE International Conference Intelligent Systems, Sofia, Bulgaria, 6–8 September 2012.












| Parameters | Values | Parameters | Values |
|---|---|---|---|
| The search range of the regularization parameter | [0.1, 150] | The acceleration coeff | 2 |
| The search range of the radial basis kernel function parameter | [0.1, 10] | Maximum Iteration number | 100 |
| Initial population size | 20 | The threshold of averaging particle distance | 0.001 |
| The range of the inertia weight | [0.4, 0.9] | The threshold of the fitness variance | 0.01 |
| Model | MAPE (%) | RMSE (100 MW) | MAE (100 MW) | (%) |
|---|---|---|---|---|
| BP | 3.68 | 6.36 | 5.89 | 96.02 |
| SVM | 3.08 | 5.26 | 4.93 | 96.70 |
| LSSVM | 2.88 | 5.07 | 4.61 | 96.82 |
| PSO-LSSVM | 2.65 | 4.72 | 4.22 | 97.04 |
| MPSO-LSSVM | 1.92 | 3.66 | 3.09 | 97.71 |
| EMD-MPSO-LSSVM | 1.18 | 2.21 | 1.88 | 98.62 |
| EMD-GRA-MPSO-LSSVM | 1.14 | 2.13 | 1.81 | 98.67 |
| Date | BP | SVM | LSSVM | PSO-LSSVM | MPSO-LSSVM | EMD-MPSO-LSSVM | EMD-GRA-MPSO-LSSVM |
|---|---|---|---|---|---|---|---|
| 13 September 2016 | 3.17% | 2.82% | 1.11% | 0.99% | 0.79% | 0.66% | 0.61% |
| 14 September 2016 | 5.07% | 4.03% | 2.91% | 1.91% | 1.62% | 1.40% | 1.31% |
| 15 September 2016 | 5.99% | 4.88% | 2.90% | 2.15% | 1.53% | 1.38% | 1.28% |
| 16 September 2016 | 4.57% | 3.90% | 3.11% | 2.03% | 1.50% | 1.40% | 1.29% |
| 17 September 2016 | 3.98% | 3.35% | 3.00% | 1.87% | 1.76% | 1.61% | 1.32% |
| 18 September 2016 | 4.12% | 3.50% | 3.11% | 2.39% | 2.24% | 1.12% | 1.03% |
| 19 September 2016 | 2.32% | 2.23% | 1.90% | 1.86% | 1.66% | 1.53% | 1.28% |
| 20 September 2016 | 3.04% | 2.85% | 2.68% | 2.53% | 2.01% | 1.91% | 1.87% |
| 21 September 2016 | 3.03% | 2.76% | 2.37% | 2.14% | 1.80% | 1.41% | 1.05% |
| 22 September 2016 | 5.12% | 3.11% | 2.94% | 2.33% | 2.16% | 2.00% | 1.55% |
| 23 September 2016 | 3.19% | 2.91% | 2.14% | 1.99% | 1.48% | 0.78% | 0.76% |
| 24 September 2016 | 4.99% | 3.99% | 3.15% | 1.65% | 1.45% | 1.17% | 1.02% |
| 25 September 2016 | 5.12% | 4.70% | 3.26% | 2.52% | 1.90% | 1.55% | 1.53% |
| 26 September 2016 | 4.96% | 4.21% | 2.79% | 2.45% | 2.02% | 0.61% | 0.59% |
| 27 September 2016 | 5.79% | 5.47% | 4.62% | 2.71% | 2.12% | 1.06% | 0.95% |
| 28 September 2016 | 5.30% | 5.05% | 3.75% | 1.64% | 1.57% | 1.45% | 1.34% |
© 2017 by the authors. Licensee MDPI, Basel, Switzerland. This article is an open access article distributed under the terms and conditions of the Creative Commons Attribution (CC BY) license ( http://creativecommons.org/licenses/by/4.0/).
Share and Cite
Niu, D.; Dai, S. A Short-Term Load Forecasting Model with a Modified Particle Swarm Optimization Algorithm and Least Squares Support Vector Machine Based on the Denoising Method of Empirical Mode Decomposition and Grey Relational Analysis. Energies 2017, 10, 408. https://doi.org/10.3390/en10030408
Niu D, Dai S. A Short-Term Load Forecasting Model with a Modified Particle Swarm Optimization Algorithm and Least Squares Support Vector Machine Based on the Denoising Method of Empirical Mode Decomposition and Grey Relational Analysis. Energies. 2017; 10(3):408. https://doi.org/10.3390/en10030408
Chicago/Turabian StyleNiu, Dongxiao, and Shuyu Dai. 2017. "A Short-Term Load Forecasting Model with a Modified Particle Swarm Optimization Algorithm and Least Squares Support Vector Machine Based on the Denoising Method of Empirical Mode Decomposition and Grey Relational Analysis" Energies 10, no. 3: 408. https://doi.org/10.3390/en10030408
APA StyleNiu, D., & Dai, S. (2017). A Short-Term Load Forecasting Model with a Modified Particle Swarm Optimization Algorithm and Least Squares Support Vector Machine Based on the Denoising Method of Empirical Mode Decomposition and Grey Relational Analysis. Energies, 10(3), 408. https://doi.org/10.3390/en10030408
