Experimental Results on a Wireless Wattmeter Device for the Integration in Home Energy Management Systems
Abstract
:1. Introduction
2. House Energy Metering
2.1. Home Communication Architecture and Cloud Integration Based Services
2.2. ZigBee
3. House Energy Metering
3.1. Block Diagram
3.1.1. MSP432P401R and MSP430F5529
3.1.2. CC2530 Radio
3.1.3. ACS712 Current Sensor
3.1.4. LV 25–400 Voltage Sensor
3.2. Metering System Design
3.2.1. Channel Reading Resolution
3.2.2. Antialiasing Filter Requirements
3.2.3. Post-Acquisition Digital Filter for DC Offset Removal
3.2.4. RMS
3.2.5. Active Power Measurement
3.2.6. Reactive Power Measurement
3.2.7. Active Energy
3.2.8. Reactive Energy
4. Experimental Results
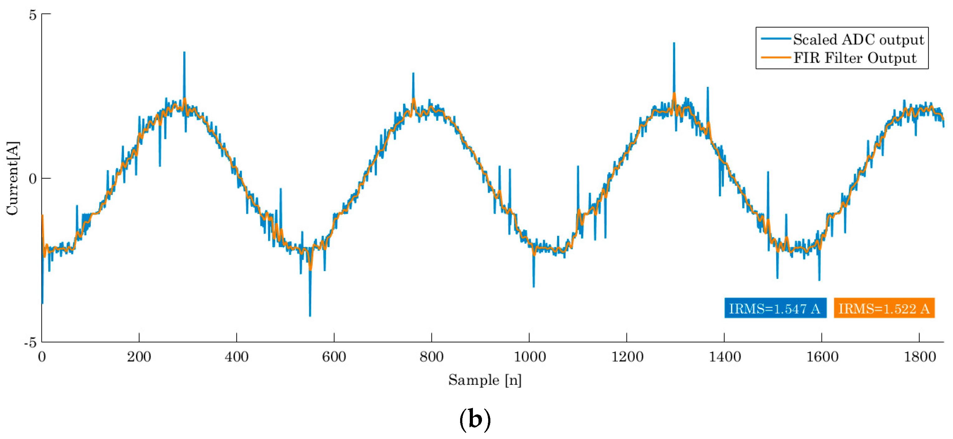
4.1. Linear Load
4.2. Non-Linear Load
5. Conclusions
Acknowledgments
Author Contributions
Conflicts of Interest
References
- Liu, Q.; Cooper, G.; Linge, N.; Takruri, H.; Sowden, R. DEHEMS: Creating a digital environment for large-scale energy management at homes. IEEE Trans. Consum. Electron. 2013, 59, 62–69. [Google Scholar] [CrossRef]
- Park, S.; Kim, H.; Moon, H.; Heo, J.; Yoon, S. Concurrent simulation platform for energy-aware smart metering systems. IEEE Trans. Consum. Electron. 2010, 56, 1918–1926. [Google Scholar] [CrossRef]
- Bozchalui, M.C.; Hashmi, S.A.; Hassen, H.; Canizares, C.A.K. Bhattacharya Optimal Operation of Residential Energy Hubs in Smart Grids. IEEE Trans. Smart Grid 2012, 3, 1755–1766. [Google Scholar] [CrossRef]
- Han, J.; Choi, C.; Park, W.; Lee, I.; Kim, S. Smart home energy management system including renewable energy based on ZigBee and PLC. IEEE Trans. Consum. Electron. 2014, 60, 198–202. [Google Scholar] [CrossRef]
- Broin, E.Ó.; Nässén, J.; Johnsson, F. The influence of price and non-price effects on demand for heating in the EU residential sector. Energy 2015, 81, 146–158. [Google Scholar] [CrossRef]
- Koutitas, G. Control of Flexible Smart Devices in the Smart Grid. IEEE Trans. Smart Grid 2012, 3, 1333–1343. [Google Scholar] [CrossRef]
- Logenthiran, T.; Srinivasan, D.; Shun, T.Z. Demand Side Management in Smart Grid Using Heuristic Optimization. IEEE Trans. Smart Grid 2012, 3, 1244–1252. [Google Scholar] [CrossRef]
- Oliveira, D.; Rodrigues, E.M.G.; Mendes, T.D.P.; Catalão, J.P.S.; Pouresmaeil, E. Model predictive control technique for energy optimization in residential appliances. In Proceedings of the IEEE International Conference on Smart Energy Grid Engineering (SEGE’15), Oshawa, ON, Canada, 17–19 August 2015.
- Symonds, A. Electrical Power Equipment and Measurements: With Heavy Current Electrical Applications; McGraw-Hill Book Company: New York, NY, USA, 1980. [Google Scholar]
- Munday, M.; Hart, D.G. Methods for electric power measurements. In Proceedings of the IEEE Power Engineering Society Summer Meeting, Chicago, IL, USA, 21–25 July 2002.
- British Standard BS EN 50160:2007, Voltage Characteristics of Electricity Supplied by Public Distribution Networks; British Standards Institution: London, UK, 2007.
- IEC 61000, IEC 61000 Standard on Electromagnetic Compatibility (EMC); International Electrotechnical Commission (IEC): Geneva, Switzerland, 2002.
- Jeon, Y.-H. Performance Evaluation of Zigbee Sensor Network for Smart Grid AMI. In Multimedia and Ubiquitous Engineering (MUE 2013); Springer: Dordrecht, The Netherlands, 2013; Volume 240, pp. 505–510. [Google Scholar]
- Regassa, B.; Medina, A.V.; Gómez, I.M.; Rivera, O.; Gómez, J.A. Upgrading of Traditional Electric Meter into Wireless Electric Meter Using ZigBee Technology. Lect. Notes Inst. Comput. Sci. Soc. Inform. Telecommun. Eng. 2012, 82, 84–94. [Google Scholar]
- Mu, J. A minimum physical distance delivery protocol based on ZigBee in smart grid. EURASIP J. Wirel. Commun. Netw. 2014, 2014, 108. [Google Scholar] [CrossRef]
- Ranalli, A.; Borean, C. Energy@home Leveraging ZigBee to Enable Smart Grid in Residential Environment. In Proceedings of the First International Workshop Smart Grid Security (SmartGridSec 2012), Berlin, Germany, 3 December 2012; Revised Selected Papers. Springer: Berlin/Heidelberg, Germany, 2013; pp. 132–149. [Google Scholar]
- Bilgin, B.E.; Gungor, V.C. Performance evaluations of ZigBee in different smart grid environments. Comput. Netw. 2012, 56, 2196–2205. [Google Scholar] [CrossRef]
- Saha, A.; Kuzlu, M.; Pipattanasomporn, M.; Rahman, S. Enabling Residential Demand Response Applications with a ZigBee-Based Load Controller System. Intell. Ind. Syst. 2016, 2, 303–318. [Google Scholar] [CrossRef]
- Alharbi, Y.; Powell, D.; Langley, R.J.; Rigelsford, J.M. ZigBee wireless quality trials for smart meters. In Proceedings of the 2011 Loughborough Antennas & Propagation Conference, Loughborough, UK, 14–15 November 2011.
- Park, W.K.; Choi, C.S.; Lee, I.W.; Jang, J. Energy efficient multi-function home gateway in always-on home environment. IEEE Trans. Consum. Electron. 2010, 56, 106–111. [Google Scholar] [CrossRef]
- Rodrigues, E.M.G.; Caramelo, T.; Mendes, T.D.P.; Godina, R.; Catalão, J.P.S. Experimental Wireless Wattmeter for Home Energy Management Systems. In Technological Innovation for Cloud-Based Engineering Systems; Springer: Lisbon, Portugal, 2015; pp. 327–336. [Google Scholar]
- Belley, C.; Gaboury, S.; Bouchard, B.; Bouzouane, A. An efficient and inexpensive method for activity recognition within a smart home based on load signatures of appliances. Pervasive Mob. Comput. 2014, 12, 58–78. [Google Scholar] [CrossRef]
- Namboodiri, V.; Aravinthan, V.; Mohapatra, S.N.; Karimi, B.; Jewell, W. Toward a Secure Wireless-Based Home Area Network for Metering in Smart Grids. IEEE Syst. J. 2014, 8, 509–520. [Google Scholar] [CrossRef]
- Rahman, M.A.; Al-Shaer, E.; Bera, P. A Noninvasive Threat Analyzer for Advanced Metering Infrastructure in Smart Grid. IEEE Trans. Smart Grid 2013, 4, 273–287. [Google Scholar] [CrossRef]
- Zipperer, A.; Aloise-Young, P.A.; Suryanarayanan, S.; Roche, R.; Earle, L.; Christensen, D.; Bauleo, P.; Zimmerle, D. Electric Energy Management in the Smart Home: Perspectives on Enabling Technologies and Consumer Behavior. Proc. IEEE 2013, 101, 2397–2408. [Google Scholar] [CrossRef]
- Green, R.C.; Wang, L.; Alam, M. Applications and Trends of High Performance Computing for Electric Power Systems: Focusing on Smart Grid. IEEE Trans. Smart Grid 2013, 4, 922–931. [Google Scholar] [CrossRef]
- Mendes, T.D.P.; Godina, R.; Rodrigues, E.M.G.; Matias, J.C.O.; Catalão, J.P.S. Smart Home Communication Technologies and Applications: Wireless Protocol Assessment for Home Area Network Resources. Energies 2015, 8, 7279–7311. [Google Scholar] [CrossRef]
- Fang, X.; Misra, S.; Xue, G.; Yang, D. Managing smart grid information in the cloud: Opportunities, model, and applications. IEEE Netw. 2012, 26, 32–38. [Google Scholar] [CrossRef]
- Texas Instruments Incorporated. ZigBee® Wireless Networking Overview; Texas Instruments Incorporated: Tucson, AZ, USA, 2013. [Google Scholar]
- Nugroho, F.E.; Sahroni, A. ZigBee and wifi network interface on Wireless Sensor Networks. In Proceedings of the 2014 Makassar International Conference on Electrical Engineering and Informatics (MICEEI), Makassar, Indonesia, 26–30 November 2014.
- Texas Instruments Incorporated. MSP432P4xx Family—Technical Reference Manual; Texas Instruments Incorporated: Dallas, TX, USA, 2015. [Google Scholar]
- Kulkarni, P.; Lewis, T.; Dave, S. Energy Monitoring in Residential Environments. IEEE Technol. Soc. Mag. 2014, 33, 71–80. [Google Scholar] [CrossRef]
- White, R.V. Pratical issues in monitoring and reporting input and output power. In Proceedings of the 2010 IEEE 12th Workshop on Control and Modeling for Power Electronics (COMPEL), Boulder, CO, USA, 28–30 June 2010.
- Holoubek, L. Tauglich für das Smart Grid Elektrizitätszähler auf Basis eines Cortex-M4F-Mikrocontrollers. Elektron. Ind. 2012, 30–32. [Google Scholar]
- Pavlovic, V.D.; Djordjevic-Kozarov, J.R. Ultra-selective spike multiplierless linear-phase two-dimensional FIR filter function with full Hilbert transform effect. IET Circ. Devices Syst. 2014, 8, 532–542. [Google Scholar] [CrossRef]














© 2017 by the authors. Licensee MDPI, Basel, Switzerland. This article is an open access article distributed under the terms and conditions of the Creative Commons Attribution (CC BY) license ( http://creativecommons.org/licenses/by/4.0/).
Share and Cite
Rodrigues, E.M.G.; Godina, R.; Shafie-khah, M.; Catalão, J.P.S. Experimental Results on a Wireless Wattmeter Device for the Integration in Home Energy Management Systems. Energies 2017, 10, 398. https://doi.org/10.3390/en10030398
Rodrigues EMG, Godina R, Shafie-khah M, Catalão JPS. Experimental Results on a Wireless Wattmeter Device for the Integration in Home Energy Management Systems. Energies. 2017; 10(3):398. https://doi.org/10.3390/en10030398
Chicago/Turabian StyleRodrigues, Eduardo M. G., Radu Godina, Miadreza Shafie-khah, and João P. S. Catalão. 2017. "Experimental Results on a Wireless Wattmeter Device for the Integration in Home Energy Management Systems" Energies 10, no. 3: 398. https://doi.org/10.3390/en10030398
APA StyleRodrigues, E. M. G., Godina, R., Shafie-khah, M., & Catalão, J. P. S. (2017). Experimental Results on a Wireless Wattmeter Device for the Integration in Home Energy Management Systems. Energies, 10(3), 398. https://doi.org/10.3390/en10030398
 
         
                                                




