Wind Energy Potential and Power Law Indexes Assessment for Selected Near-Coastal Sites in Malaysia
Abstract
:1. Introduction
2. Wind Energy Potential in Malaysia
2.1. The Wind Resource Assessment
2.2. The Study on Wind Turbine Pilot Test
2.3. Summary of Wind Energy Progress in Malaysia
3. Evaluation of Selected Coastal Sites
3.1. Methodology
3.1.1. Data collection
3.1.2. Distribution Function
3.1.3. The Wind Resource Mapping
- Imagery map; many kinds of imagery maps are available for use, including topography map and extracted map from the Google Earth (GE) tool. The topography map is categorised into two; restricted and unrestricted topography maps. In Malaysia, both can be purchased from the Department of Survey and Mapping, Malaysia (JUPEM). Meanwhile, the restricted topography map is more expensive than the unrestricted topography map. Besides, free imagery map that comes with coordinates can be extracted from GE tool using the image overlay option.
- Elevation map; the elevation map can be extracted from the Digital Elevation Model (DEM) and digitized using the ArcGIS tool. Another way is by downloading the elevation map, namely the Radar Topography Mission (SRTM) data with 1-arc second resolution (30 m) or 3-arc second resolution (90 m). Moreover, detailed information concerning the SRTM data can be obtained from the United States Geological Survey website [32].
- Roughness line map; the roughness map is essentially a land-used map that contains the value of roughness length and class, as presented in Table 2. The roughness line map can be manually digitized on WindPRO tool based on the land-used image on a topography map. Meanwhile, the roughness map is also available online, namely the GlobCover 2009, which is a global land cover dataset with a 300 m spatial resolution, which can be downloaded using the WindPRO; in which more information can be obtained from the website of the European Space Agency [33]. However, this map should be carefully assessed and corrected to ensure that the roughness map really lies on the right land-used.
- Obstacle rose; the obstacle rose was manually digitized by using the WAsP tool through the inclusion of the value of obstacle porosity, as shown in Table 3. Moreover, only obstacles with more than 5 m height had been considered in the simulation.
- Wind turbine power curve; the wind turbine power curve contains a graph of power versus steady wind speed. The data can be added manually to the tools. Besides, WindPRO provides the datasets of WTG power curves from small- to large-scale wind turbine purchased from various manufacturers. On the other hand, the valid datasets also can be retrieved and viewed from the WindPower program; a tool developed by the PelaFlow Consulting [34].
3.1.4. Vertical Extrapolation
Hellmann Power Law
The 1/7 Power Law Method
3.1.5. Annual Energy Production and Greenhouse Gases (GHG) Saving
3.2. Results and Discussion
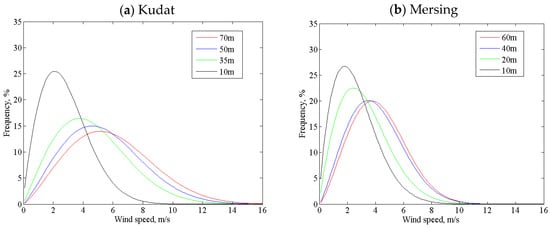
3.2.1. Overall Data Analysis
3.2.2. Wind Resource Map
3.2.3. Dependence of Power Law Index (PLI) Upon Temperature
3.2.4. The Comparison between PLI Models
Capacity Factor Discrepancies Analysis
- (a)
- The quality of wind speed at a hub height of a wind turbine determines the amount of energy that could be produced. Hence, in order to generate a more profitable amount of energy, the average wind speed should exceed the cut-in wind speed of the wind turbine or the average wind speed at 5 m/s and above.
- (b)
- The rated power of a wind turbine has an insignificant correlation with the CF produced. Usually, it is estimated that the larger the rated power of a wind turbine, the lower the value of CF; in comparison to the smaller rated power wind turbine, especially those installed at low wind speed region. However, in reality, some of the larger rated powers of the wind turbine are more efficient, in comparison to the smaller ones.
- (c)
- A different manufacturer would develop and sell different specifications of wind turbines even if they share similar rated power. Therefore, the efficiency and the energy produced also could differ for every different manufacturer. Therefore, careful selection should be done before a wind energy project is begun.
4. Conclusions
- (a)
- A critical review of prior studies pertaining to onshore wind energy in Malaysia has been highlighted, including the related weaknesses and suggestions for improvement.
- (b)
- The meteorological wind data, which were measured in low wind speed areas, such as airport runways, are unsuitable to represent the wind energy potential. The best way to do so is by measuring wind data at an open and flat area, where fewer obstacles and surface roughness are present. However, installing a new wind measurement masts is not only costly, but also requires undivided support from the government, especially monetary in the form of research grants.
- (c)
- Kudat presents a higher potential for wind energy development compared to other areas in Malaysia, whereby the medium rated power of a wind turbine (600 kW) could generate electricity with its CF exceeding 20%. The other site also has the potential, as presented by wind resources map, but most of the sites are located at high elevation areas as they are far from access to the grid transmission line. This is also seen as non-feasible as it will increase the initial cost, except for the higher generation of electricity or the provision of an incentive or probably subsidy by the authority and the government in the form of Feed-in Tariff bonuses.
- (d)
- The PLI, which is associated to temperature, displayed exponential fit for all the stations tested under the present study. Besides, parameters A and b depend on the location. The individual and the collective fit were found to offer good estimation of PLI. Meanwhile, the 1/7 law showed larger discrepancy of wind speed value prediction; leading to a huge error in energy estimation.
- (e)
- As for future work, the installation of more wind measurement masts at other sites is recommended in order to study the PLIs with various roughness characteristics in Malaysia. In addition, the exponential fit model could be further improvised and tuned to be more precise through the use of more varied data derived from many other locations.
- (f)
- The production of wind energy is feasible and practical only at certain locations in Malaysia. Therefore, the mesoscale of wind map should be produced by employing data from many stations involved in wind measurement, especially to identify the most apt location(s) in Malaysia and vice versa.
- (g)
- Lastly, the application of Light Detection and Ranging (LIDAR) and Sound Detection and Ranging (SODAR) measurements is also suggested as they could determine wind speeds at up to 200 m or more in height (m.a.g.l). On the other hand, such added applications offer vertical resolution that is less than 10 m.
Acknowledgments
Author Contributions
Conflicts of Interest
Abbreviations
| AEP | Annual Energy Production, kWh/Year |
| CF | Capacity factor of wind turbine, % |
| FiT | Feed-in Tariff |
| FLH | Full load hours, hour/year |
| GHG | Greenhouse gases saving, Tonne CO2/Year |
| m.a.g.l | Mean above ground level |
| MMD | Malaysian Meteorological Department |
| PLI | Power Law Index |
| RE | Renewable Energy |
| RMSE | Root mean square error |
| SREP | Malaysian Small Renewable Energy Power Program |
| SRTM | Radar Topography Mission |
| WAsP | Wind Atlas Analysis and Application Program |
| WTG | Wind turbine generation |
References
- Ahmad, S.; Tahar, R. Selection of renewable energy sources for sustainable development of electricity generation system using analytic hierarchy process: A case of Malaysia. Renew. Energy 2014, 63, 458–466. [Google Scholar] [CrossRef]
- Sovacool, B.K.; Drupady, I.M. Examining the Small Renewable Energy Power (SREP) Program in Malaysia. Energy Policy 2011, 39, 7244–7256. [Google Scholar] [CrossRef]
- Hashim, H.; Ho, W. Renewable energy policies and initiatives for a sustainable energy future in Malaysia. Renew. Sustain. Energy Rev. 2011, 15, 4780–4787. [Google Scholar] [CrossRef]
- Khor, C.; Lalchand, G. A review on sustainable power generation in Malaysia to 2030: Historical perspective, current assessment, and future strategies. Renew. Sustain. Energy Rev. 2014, 29, 952–960. [Google Scholar] [CrossRef]
- Sher Mohammad, A. SEDA Malaysia: The Renewable Energy Status in Malaysia. In Proceedings of the University of Malaysia Terengganu East Corridor Renewable Energy Symposium, Kualia Terengganu, Terengganu, Malaysia, 3 November 2014.
- Sustainable Energy Development Authority Malaysia (SEDA). Renewable Energy: Current Status and Further Development; Sustainable Energy Development Authority Malaysia: Putrajaya, Malaysia, 2016. Available online: http://www.nedo.go.jp/content/100778184.pdf (accessed on 1 October 2016).
- Malaysia Renewable Energy Act. Act 725. Malaysia: 2011. Available online: http://www.federalgazette.agc.gov.my/outputaktap/20110602_725_BI_Renewable%20Energy%20Act%202011.pdf (accessed on 12 October 2016).
- Leong, H.E. Sustainable Energy Agency Seda Mulls Wind as Renewable Resource. 2013. Available online: http://www.thestar.com.my/business/business-news/2013/10/28/seda-gets-wind-of-it-sustainable-energy-agency-mulls-over-wind-as-renewable-resource/ (accessed on 22 March 2016).
- Sopian, K.; Hj Othman, Y.; Wirsat, A. The wind energy potential of Malaysia. Renew. Energy 1995, 6, 1005–1016. [Google Scholar] [CrossRef]
- Koh, S.L.; Lim, Y.S. Meeting energy demand in a developing economy without damaging the environment-A case study in Sabah, Malaysia, from technical, environmental and economic perspectives. Energy Policy 2010, 38, 4719–4728. [Google Scholar] [CrossRef]
- Islam, M.; Saidur, R.; Rahim, N. Assessment of wind energy potentiality at Kudat and Labuan, Malaysia using Weibull distribution function. Energy 2011, 36, 985–992. [Google Scholar] [CrossRef]
- Shu, Z.; Li, Q.; Chan, P. Investigation of offshore wind energy potential in Hong Kong based on Weibull distribution function. Appl. Energy 2015, 156, 362–373. [Google Scholar] [CrossRef]
- Masseran, N.; Razali, A.M.; Ibrahim, K.; Wan Zin, W.Z. Evaluating the wind speed persistence for several wind stations in Peninsular Malaysia. Energy 2012, 37, 649–656. [Google Scholar] [CrossRef]
- Tiang, T.; Ishak, D. Technical review of wind energy potential as small-scale power generation sources in Penang Island Malaysia. Renew. Sustain. Energy Rev. 2012, 16, 3034–3042. [Google Scholar] [CrossRef]
- Masseran, N.; Razali, A.; Ibrahim, K. An analysis of wind power density derived from several wind speed density functions: The regional assessment on wind power in Malaysia. Renew. Sustain. Energy Rev. 2012, 16, 6476–6487. [Google Scholar] [CrossRef]
- Khatib, T.; Sopian, K.; Mohamed, A.; Ibrahim, M. Sizing of a wind charger at minimum cost for remote housing electrification: A case study for nine coastal sites in Malaysia. Energy Build. 2012, 51, 185–190. [Google Scholar] [CrossRef]
- Nor, K.; Shaaban, M.; Abdul Rahman, H. Feasibility assessment of wind energy resources in Malaysia based on NWP models. Renew. Energy 2014, 62, 147–154. [Google Scholar] [CrossRef]
- Ibrahim, M.Z.; Albani, A. The Potential of Wind Energy in Malaysian Renewable Energy Policy: Case Study in Kudat, Sabah. Energy Environ. 2014, 25, 881–898. [Google Scholar] [CrossRef]
- Najid, S.K.; Zaharim, A.; Razali, A.M.; Zainol, M.S.; Ibrahim, K.; Sopian, K. Analyzing the East Coast Malaysia Wind Speed Data. Int. J. Energy Environ. 2009, 3, 53–60. [Google Scholar]
- Sopian, K.; Razali, A.M.; Hj Othman, M.Y. Potensi Tenaga Angin di Terumbu Layang-Layang. J. Ind. Technol. 1995, 5, 19–32. [Google Scholar]
- Darus, Z.; Hashim, N.; Manan, S.; Karim, O.; Rahman, M.; Maulud, K. The Development of Hybrid Integrated Renewable Energy System (Wind and Solar) for Sustainable Living at Perhentian. Eur. J. Soc. Sci. 2009, 9, 557–563. [Google Scholar]
- Muzathik, A.M.; Nik Wan, W.B.; Ibrahim, M.Z.; Samo, K.B. Wind resource investigation of Terengganu in the west Malaysia. Wind Eng. 2009, 33, 389–402. [Google Scholar] [CrossRef]
- Ibrahim, M.Z.; Albani, A.; Azhar, S.; Yong, K.H. The green technology for sustainable aquaculture industry: An application of low wind speed wind turbines in Isharp Shrimp Farm, Setiu, Terengganu. In Proceedings of the Himpunan Abstrak Persidangan Kebangsaan Kedua Program Pemindahan Ilmu (KTP02), Pelan Strategik Pengajian Tinggi Negara, Putrajaya, Malaysia, 9–11 September 2014; p. 11.
- Potter, C.; Lew, D.; Mccaa, J.; Cheng, S.; Eichelberger, S.; Grimit, E. Creating the Dataset for the Western Wind and Solar Integration Study (U.S.A.). Wind Eng. 2008, 32, 325–338. [Google Scholar] [CrossRef]
- Sisterson, D.; Hicks, B.; Coulter, R.; Wesely, M. Difficulties in using power laws for wind energy assessment. Sol. Energy 1983, 31, 201–204. [Google Scholar] [CrossRef]
- Artig, R.; Jeffrey, H. 14th Wind Resource Analysis Program Report. Minnesota Department of Commerce: Minnesota, United States, 2002. Available online: https://www.cards.commerce.state.mn.us/CARDS/security/search.do?method=showPoup&documentId=%7B514B00F0-760D-4248-A5AB-5E188DC814B6%7D&documentTitle=35440&documentType=6 (accessed on 7 November 2016). [Google Scholar]
- Bañuelos-Ruedas, F.; Angeles-Camacho, C.; Rios-Marcuello, S. Analysis and validation of the methodology used in the extrapolation of wind speed data at different heights. Renew. Sustain. Energy Rev. 2010, 14, 2383–2391. [Google Scholar] [CrossRef]
- Kircsi, A.; Tar, K. Profile Tests to Optimize the Utilization of Wind Energy. Acta Silv. Lignaria Hung. 2008, 4, 107–123. [Google Scholar]
- Chang, T.P. Performance comparison of six numerical methods in estimating Weibull parameters for wind energy application. Appl. Energy 2011, 88, 272–282. [Google Scholar] [CrossRef]
- Costa Rocha, P.A.; de Sousa, R.C.; de Andrade, C.F.; da Silva, M.E.V. Comparison of seven numerical methods for determining Weibull parameters for wind energy generation in the northeast region of Brazil. Appl. Energy 2012, 89, 395–400. [Google Scholar] [CrossRef]
- Acker, T.; Chime, A.H. Wind Modeling Using WindPro and WAsP Software; Northern Arizona University: Flagstaff, AZ, USA, 2011. [Google Scholar]
- U.S. Geological Survey (USGS). Shuttle Radar Topography Mission (SRTM); U.S. Geological Survey: Louisville, KY, USA, 2009. Available online: https://pubs.er.usgs.gov/publication/fs20093087 (accessed on 2 March 2016).
- European Space Agency (ESA). The Data User Element; European Space Agency. Available online: http://due.esrin.esa.int/page_news.php (accessed on 13 November 2016).
- Pelaflow Consulting. WindPower Program. Available online: http://www.wind-power-program.com/aboutus.htm (accessed on 2 March 2016).
- Emd International. Energy in WAsP/WindPRO. EMD International A/S. Available online: http://www.emd.dk/files/windpro/WindPRO_WAsP_Parameters.pdf (accessed on 14 May 2016).
- Zhang, J.; Draxl, C.; Hopson, T.; Monache, L.D.; Vanvyve, E.; Hodge, B.M. Comparison of numerical weather prediction based deterministic and probabilistic wind resource assessment methods. Appl. Energy 2015, 156, 528–541. [Google Scholar] [CrossRef]
- Jung, S.; Arda Vanli, O.; Kwon, S.-D. Wind energy potential assessment considering the uncertainties due to limited data. Appl. Energy 2013, 102, 1492–1503. [Google Scholar] [CrossRef]
- Bansal, R.; Bati, T.S.; Kothari, D.P. On Some of the Design Aspects of Wind Energy Conversion Systems. Energy Convers. Manag. 2002, 43, 2175–2187. [Google Scholar] [CrossRef]
- Masters, G.M. Renewable and Efficient Electric Power Systems; John Wiley & Sons: Hoboken, NJ, USA, 2004. [Google Scholar]
- Patel, M.R. Wind and Solar Power Systems: Design Analysis, and Operation, 2nd ed.; CRC Press: Boca Raton, FL, USA, 2006. [Google Scholar]
- Dong, Y.; Wang, J.; Jiang, H.; Shi, X. Intelligent optimized wind resource assessment and wind turbines selection in Huitengxile of Inner Mongolia, China. Appl. Energy 2013, 109, 239–253. [Google Scholar] [CrossRef]
- Nagai, B.M.; Ameku, K.; Roy, J.N. Performance of a 3 kW wind turbine generator with variable pitch control system. Appl. Energy 2009, 86, 1774–1782. [Google Scholar] [CrossRef]
- Albadi, M.H.; El-Saadany, E.F. New method for estimating CF of pitch-regulated wind turbines. Electr. Power Syst. Res. 2010, 80, 1182–1188. [Google Scholar] [CrossRef]
- Chang, T.P.; Cheng, S.P.; Liu, F.J.; Sun, L.C.; Chang, Y.P. Site matching study of pitch-controlled wind turbine generator. Energy Convers. Manag. 2014, 86, 664–669. [Google Scholar] [CrossRef]
- Hur, S.; Leithead, W.E. Collective control strategy for a cluster of stall-regulated offshore wind turbines. Renew. Energy 2016, 85, 1260–1270. [Google Scholar] [CrossRef]
- Yee, K.F.; Tan, K.T.; Abdullah, A.Z.; Lee, K.T. Life cycle assessment of palm biodiesel: Revealing facts and benefits for sustainability. Appl. Energy 2009, 86, S189–S196. [Google Scholar] [CrossRef]
- Oh, K.; Kim, J.; Lee, J.; Ryu, K. Wind resource assessment around Korean Peninsula for feasibility study on 100 MW class offshore wind farm. Renew. Energy 2012, 42, 217–226. [Google Scholar] [CrossRef]
- Indasi, V.S.; Lynch, M.; McGann, B.; Yu, F.; Jeanneret, F.; Sutton, J. WAsP model performance verification using lidar data. Int. J. Energy Environ. Eng. 2016, 7, 105–113. [Google Scholar] [CrossRef]
- Rehman, S.; Al-Abbadi, N.M. Wind shear coefficient, turbulence intensity and wind power potential assessment for Dhulom, Saudi Arabia. Renew. Energy 2008, 33, 2653–2660. [Google Scholar] [CrossRef]
- Rehman, S.; Al-Abbadi, N.M. Wind shear coefficients and energy yield for Dhahran, Saudi Arabia. Renew. Energy 2007, 32, 738–749. [Google Scholar] [CrossRef]
- Farrugia, R.N. The wind shear exponent in a Mediterranean island climate. Renew. Energy 2003, 28, 647–653. [Google Scholar] [CrossRef]
- Van den Berg, G.P. Wind turbine power and sound in relation to atmospheric stability. Wind Energy 2008, 11, 151–169. [Google Scholar] [CrossRef]
- Archer, C.L.; Jacobson, M.Z. Spatial and temporal distributions of U.S. winds and wind power at 80 m derived from measurements. J. Geophys. Res. 2003, 108, 1–20. [Google Scholar] [CrossRef]
- Holtslag, A.A.M. Estimation of diabatic wind speed profile from near-surface weather observations. Bound. Layer Meteorol. 1984, 29, 225–250. [Google Scholar] [CrossRef]
- Coelingh, J.P.; van Wijk, A.J.M.; Holtslag, A.A.M. Analysis of wind speed observations over the North Sea. J. Wind Eng. Ind. Aerodyn. 1996, 61, 51–69. [Google Scholar] [CrossRef]
- Soler-Bientz, R.; Watson, S.; Infield, D. Evaluation of the Wind Shear at a Site in the NorthWest of the Yucatan Peninsula, Mexico. Wind Eng. 2009, 33, 93–107. [Google Scholar] [CrossRef]
- Borovicka, T. Training Set Construction Methods. Inf. Sci. Technol. 2012, 4, 43. [Google Scholar]
- Gualtieri, G.; Secci, S. Methods to extrapolate wind resource to the turbine hub height based on power law: A 1-h wind speed vs. Weibull distribution extrapolation comparison. Renew. Energy 2012, 43, 183–200. [Google Scholar] [CrossRef]
- Wirachai, R. The Combination of Small and Megawatt Wind Machine in Wind Farm Design for Low Wind Speed Zones. In Proceedings of the Asia Pacific Economic Cooperation Seminar Best Practice Wind Energy Development APEC Registration, Hanoi, Vietnam, 4–5 October 2016.
- Hussain, M. Dependence of power law index on surface wind speed. Energy Convers. Manag. 2002, 43, 467–472. [Google Scholar] [CrossRef]
- Gualtieri, G.; Secci, S. Wind shear coefficients, roughness length and energy yield over coastal locations in Southern Italy. Renew. Energy 2011, 36, 1081–1094. [Google Scholar] [CrossRef]









| Station Sites and Coordinates | Data Parameters, Heights and Accuracies | Measurement Periods, Number of Data and Data Recovery | Sites Descriptions |
|---|---|---|---|
| Kudat (7°1′45.33″ N, 116°44′47.98″ E) | Wind speed, 10 m, (±0.4 m/s) Wind speed, 35 m, (±0.4 m/s) Wind speed, 50 m, (±0.4 m/s) Wind speed, 70 m, (±0.4 m/s) Wind direction, 10 m, (±1°) Wind direction, 70 m, (±1°) Temperature, 10 m, (±0.5 °C) Pressure, 10 m, (±0.5 mbar) | May 2014–April 2015 (12 Months) 52,560 data Recovery: 99% | Coastal, few buildings/trees Located at a site facing the ocean wind from West (W) to South (S) direction. Few trees were observed on the North (N) and the East (E), where the surface wind speed was predominantly blowing from. |
| Kijal (4°20′50.70″ N, 103°28′34.74″ E) | Wind speed, 10 m, (±0.4 m/s) Wind speed, 15 m, (±0.4 m/s) Wind speed, 40 m, (±0.4 m/s) Wind speed, 55 m, (±0.4 m/s) Wind direction, 10 m, (±1°) Wind direction, 55 m, (±1°) Temperature, 10 m, (±0.5°C) Pressure, 10 m, (±0.5 mbar) | May 2013–April 2014 (12 Months) 52,560 data Recovery: 99% | Coastal, few buildings/trees Located at a site facing the ocean wind from North (N) to East (E) direction. However, a few trees and buildings were observed on the South (S) and the West (W), where the surface wind speed was predominantly blowing from. |
| Langkawi 6°21′37.92″ N, 99°41′16.62″ E | Wind speed 10 m (±0.4 m/s) Wind speed 30 m (±0.4 m/s) Wind speed 40 m (±0.4 m/s) Wind speed 70 m (±0.4 m/s) Wind direction 10 m (±1°) Wind direction 70 m (±1°) Temperature 10 m (±0.5°C) Pressure 10 m (±0.5 mbar) | May 2014–April 2015 (12 Months) 52,560 data Recovery: 99% | Coastal, Many buildings/trees Located at a site facing the ocean wind from West (W) to North (N) direction. Many trees were observed on the East (E) and the South (S), where the surface wind speed was predominantly blowing from. |
| Mersing 2°34′50.00″ N, 103°48′23.60″ E | Wind speed 10 m (±0.4 m/s) Wind speed 20 m (±0.4 m/s) Wind speed 40 m (±0.4 m/s) Wind speed 60 m (±0.4 m/s) Wind direction 60 m (±1°) Temperature 10 m (±0.5 mbar) | January 2014–December 2014 (12 Months) 52,560 data Recovery: 99% | Coastal, flat Located at a site facing the ocean wind from North (N) to East (E) direction. The location was flat with fewer obstacles surrounding the site. |
| Area Type | Roughness Class | Roughness Length |
|---|---|---|
| City | 3.0 | 0.4000 |
| Forest | 3.0 | 0.4000 |
| Farmland, pretty closed | 2.5 | 0.2000 |
| Farmland, partly open | 2.0 | 0.1000 |
| Farmland, rather open | 1.5 | 0.0548 |
| Farmland, open | 1.0 | 0.0300 |
| Water | 0.0 | 0.0000 |
| Wind-Break Appearance | Porosity |
|---|---|
| Solid | 0 |
| Very dense | <0.35 |
| Dense | 0.35 to 0.50 |
| Open | >0.50 |
| Sites | WTG | Pr (kW) | z (m) | RD (m) | vc (m/s) | vr (m/s) |
|---|---|---|---|---|---|---|
| Kudat | Dewind D4/48-600 | 600 | 70.0 | 48.0 | 3.0 | 12.0 |
| Mersing | Unison U54-750 | 750 | 60.0 | 54.0 | 3.0 | 12.0 |
| Kijal | Gamesa G58-850 | 850 | 55.0 | 58.0 | 3.0 | 12.0 |
| Kudat | Dewind D4/48-600 | 600 | 70.0 | 48.0 | 3.0 | 12.0 |
| Sites | z, (m) | T, (°C) | P, (mbar) | ρ, (kg/m3) | c, (m/s) | k | v, (m/s) | WPD, W/m2 |
|---|---|---|---|---|---|---|---|---|
| Kudat | 10 | 28.11 | 1003.80 | 1.1608 | 3.20 | 1.84 | 2.84 | 29.4 |
| 35 | 5.26 | 2.02 | 4.66 | 117.4 | ||||
| 50 | 6.08 | 2.19 | 5.39 | 168.0 | ||||
| 70 | 6.67 | 2.25 | 5.91 | 216.8 | ||||
| Mersing | 10 | 27.08 | n/a | n/a | 2.95 | 1.73 | 2.63 | 25.0 |
| 20 | 3.65 | 1.87 | 3.24 | 42.8 | ||||
| 40 | 4.58 | 2.21 | 4.05 | 70.9 | ||||
| 60 | 4.79 | 2.33 | 4.24 | 77.9 | ||||
| Langkawi | 10 | 28.33 | 983.36 | 1.1363 | 1.59 | 1.83 | 1.41 | 3.6 |
| 30 | 2.86 | 1.92 | 2.54 | 19.8 | ||||
| 40 | 3.47 | 1.85 | 3.08 | 37.3 | ||||
| 70 | 4.11 | 1.81 | 3.66 | 63.9 | ||||
| Kijal | 10 | 26.89 | 999.08 | 1.1600 | 2.77 | 1.76 | 2.47 | 20.2 |
| 15 | 3.44 | 1.78 | 3.06 | 38.2 | ||||
| 40 | 3.81 | 1.81 | 3.39 | 50.6 | ||||
| 55 | 4.57 | 1.78 | 4.07 | 89.2 |
| Sites | Training Models | ||||||||||
|---|---|---|---|---|---|---|---|---|---|---|---|
| 1 | 2 | 3 | 4 | 5 | 6 | 7 | 8 | 9 | 10 | Entire | |
| Kudat | 0.3998 | 0.4000 | 0.3999 | 0.4001 | 0.4002 | 0.4001 | 0.3997 | 0.4000 | 0.3998 | 0.3999 | 0.3997 |
| Mersing | 0.6393 | 0.6362 | 0.6366 | 0.6359 | 0.6360 | 0.6372 | 0.6367 | 0.6391 | 0.6362 | 0.6367 | 0.6358 |
| Kijal | 0.6017 | 0.6017 | 0.6020 | 0.6020 | 0.6017 | 0.6017 | 0.6035 | 0.6019 | 0.6017 | 0.6029 | 0.6017 |
| Langkawi | 0.5489 | 0.5490 | 0.5499 | 0.5491 | 0.5490 | 0.5490 | 0.5491 | 0.5494 | 0.5490 | 0.5492 | 0.5489 |
| Sites | Mean PLI | Terrain Type | Individual Fit | Collective Fit |
|---|---|---|---|---|
| Langkawi | 0.47 | Coastal, many buildings/trees | ||
| Kijal | 0.25 | Coastal, few buildings/trees | ||
| Kudat | 0.38 | Coastal, few buildings/trees | ||
| Mersing | 0.20 | Coastal, flat |
| Parameters | Wind Data | |||
|---|---|---|---|---|
| Measured | 1/7 Law, | Individual Fit, | Collective Fit, | |
| v, m/s | 6.06 | 3.78 | 6.22 | 6.11 |
| AEP, MWh/year | 1156.85 | 399.46 | 1240.42 | 1182.60 |
| CF, % | 22.01 | 7.60 | 23.60 | 22.50 |
| FLH, hour/year | 1928.08 | 665.76 | 2067.36 | 1971.00 |
| GHG, Tonne CO2/Year | 763.52 | 263.64 | 818.68 | 780.52 |
| Parameters | Wind Data | |||
|---|---|---|---|---|
| Measured | 1/7 Law, | Individual Fit, | Collective Fit, | |
| v, m/s | 5.89 | 5.06 | 6.07 | 6.47 |
| AEP, MWh/year | 1517.67 | 893.52 | 1550.52 | 1819.89 |
| CF, % | 23.10 | 13.60 | 23.60 | 27.70 |
| FLH, hour/year | 2023.56 | 1191.36 | 2067.36 | 2426.52 |
| GHG, Tonne CO2/Year | 1001.66 | 589.72 | 1023.34 | 1201.13 |
| Parameters | Wind Data | |||
|---|---|---|---|---|
| Measured | 1/7 Law, | Individual Fit, | Collective Fit, | |
| v, m/s | 4.81 | 3.21 | 4.98 | 5.35 |
| AEP, MWh/year | 1109.45 | 416.98 | 1399.85 | 1615.78 |
| CF, % | 14.90 | 5.60 | 18.80 | 21.70 |
| FLH, hour/year | 1305.24 | 490.56 | 1646.88 | 1900.92 |
| GHG, Tonne CO2/Year | 732.24 | 275.21 | 923.90 | 1066.42 |
| Parameters | Wind Data | |||
|---|---|---|---|---|
| Measured | 1/7 Law, | Individual Fit, | Collective Fit, | |
| v, m/s | 4.41 | 2.23 | 4.51 | 4.31 |
| AEP, MWh/year | 541.37 | 68.33 | 646.49 | 578.16 |
| CF, % | 10.30 | 1.30 | 12.30 | 11.00 |
| FLH, hour/year | 902.28 | 113.88 | 1077.48 | 963.60 |
| GHG, Tonne CO2/Year | 357.30 | 45.10 | 426.68 | 381.59 |
© 2017 by the authors. Licensee MDPI, Basel, Switzerland. This article is an open access article distributed under the terms and conditions of the Creative Commons Attribution (CC BY) license ( http://creativecommons.org/licenses/by/4.0/).
Share and Cite
Albani, A.; Ibrahim, M.Z. Wind Energy Potential and Power Law Indexes Assessment for Selected Near-Coastal Sites in Malaysia. Energies 2017, 10, 307. https://doi.org/10.3390/en10030307
Albani A, Ibrahim MZ. Wind Energy Potential and Power Law Indexes Assessment for Selected Near-Coastal Sites in Malaysia. Energies. 2017; 10(3):307. https://doi.org/10.3390/en10030307
Chicago/Turabian StyleAlbani, Aliashim, and Mohd Zamri Ibrahim. 2017. "Wind Energy Potential and Power Law Indexes Assessment for Selected Near-Coastal Sites in Malaysia" Energies 10, no. 3: 307. https://doi.org/10.3390/en10030307
APA StyleAlbani, A., & Ibrahim, M. Z. (2017). Wind Energy Potential and Power Law Indexes Assessment for Selected Near-Coastal Sites in Malaysia. Energies, 10(3), 307. https://doi.org/10.3390/en10030307

