Development of Propulsion Inverter Control System for High-Speed Maglev based on Long Stator Linear Synchronous Motor
Abstract
:1. Introduction
2. Development of Propulsion Inverter Control System Based on Long Stator Linear Synchronous Motor
2.1. The Thrust Force Characteristics of Propulsion System for a High-Speed Maglev Train
2.2. Linear Synchronous Motor Propulsion Control System Configuration
2.2.1. Positioning System Configuration
2.2.2. Design of the Propulsion Control System
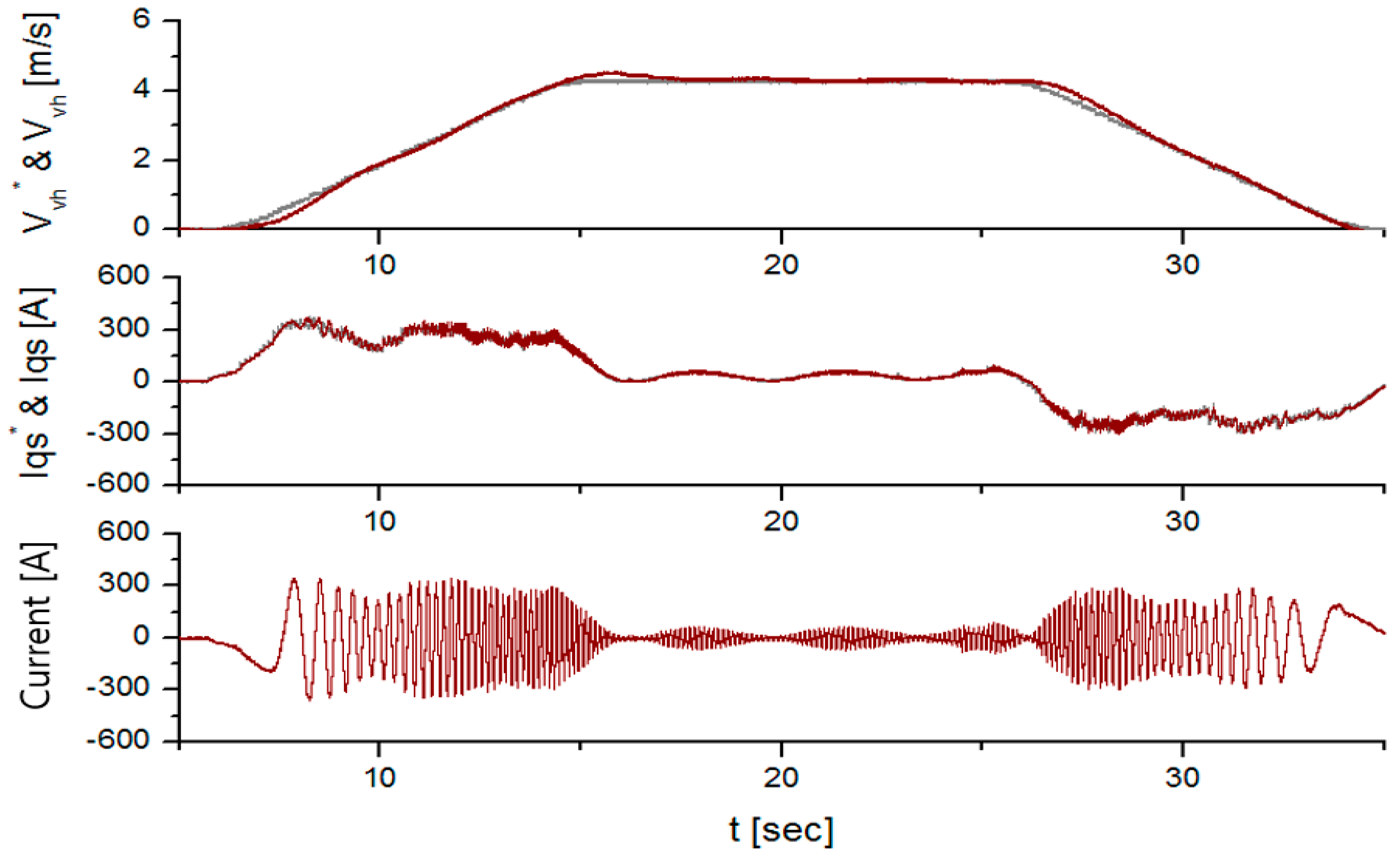
2.3. Experiments and Results Analysis
2.4. Experiment Results and Analysis
3. Conclusions
Acknowledgments
Author Contributions
Conflicts of Interest
References
- Sadrnia, M.A.; Jafari, A.H. Robust control design for maglev train with parametric uncertainties using μ–systhesis. In Proceedings of the World Congress on Engineering 2007, London, UK, 2–4 July 2007.
- Leidhold, R.; Mutshler, P. Speed sensorless control of a long-stator linear synchronous motor arranged in multiple segments. IEEE Trans. Ind. Electr. 2008, 54, 3246–3254. [Google Scholar] [CrossRef]
- Qian, C.; Han, Z. Research on absolute positioning system for high-speed maglev train. In Proceedings of the 2007 IEEE International Conference on Mechatronics and Automation, Takamatsu, Japan, 5–8 August 2007.
- Wu, X.M. Maglev Train; Science and Technology Press: Shanghai, China, 2003. [Google Scholar]
- Yang, S.; Ke, S. Performance evaluation of a velocity observer for accurate velocity estimation of servo motor drives. IEEE Trans. Ind. Appl. 2000, 36, 98–104. [Google Scholar] [CrossRef]
- Qian, C.; Wei, R.; Wang, X.; Ge, Q.; Li, Y. Analysis the Position signal problem in propulsion system with long stator synchronous motor. In Proceedings of the Maglev 2011 Conference, Daejeon, Korea, 10–13 October 2011.
- Su, G.; McKeever, J.W.; Samons, L.S. Modular PM motor drives for automotive traction applications. In Proceedings of the 27th Annual Conference of the IEEE Industrial Electronics Society, Denver, CO, USA, 29 Novermber–2 December 2001.
- Bado, A.; Bologani, S.; Zigliotto, M. Effective estimation of speed and rotor position of a PM synchronous motor drive by a Kalman filtering technique. In Proceedings of the 23rd Annual IEEE Power Electronics Specialists Conference, Toledo, Spain, 29 June–3 July 1992.
- Zhu, G.; Kaddouri, A.; Dessiant, L.; Akhrif, O. A nonlinear state observer for the sensorless control of a permanent-magnet AC machine. IEEE Trans. Ind. Electr. 2001, 48, 1098–1108. [Google Scholar]
- Hamada, D.; Uchida, K.; Yusivar, L.F.; Wakeo, S.; Onuki, T. Sensorless control of PMSM using a linear reduced order observer including disturbance torque estimation. In Proceedings of the 8th European Conference on Power Electronics and Applications, Lausanne, Switzerland, 7–9 September 1999.
- Bhangu, B.; Williams, C.; Bingham, C.M.; Coles, J. EKFs and other nonlinear state-estimation techniques for sensorless control of automotive PMSMs. In Proceedings of the Speedam Conference 2002, Ravello, Italy, 11–14 June 2002.
- Jo, J.; Lee, J.; Han, Y.; Lee, C. Design of position estimator for propulsion inverter driving long stator LSM in high speed maglev. J. Int. Conf. Electr. Mach. Syst. 2014, 3, 252–255. [Google Scholar] [CrossRef]








| Parameter | Description | SUMA550 | SUMA550-1 |
|---|---|---|---|
| Vehicles | Train configuration | 3 cars | ½ cars |
| Seats | 156 | 25 | |
| Gross mass (ton) | 150 | 27 | |
| Primary suspension | Magnetic Suspension | ||
| Secondary suspension | Passive Suspension | ||
| Air gap (mm) | 10 (landing gap: 20) | ||
| Propulsion System | Motor type | LS-LSM | |
| Maximum speed | 550 km/h | 8 m/s@150 m | |
| Maximum acceleration | 1.1 m/s2 | ||
| Guideway | Gauge | 2600 | |
| Static deflection | L (=15)/5600 | At-grade | |
| Dynamic deflection | L (=15)/4000 | ||
| Symbol | Value | Parameters |
|---|---|---|
| M | 27,000 kg | Gross mass |
| RW | 0.36 ohm | Phase resistance |
| Ld | 4.41 mH | d-axis stator self-inductance |
| Lq | 1.85 mH | q-axis stator self-inductance |
| τ | 0.24 m | Magnet pole pitch |
© 2017 by the authors. Licensee MDPI, Basel, Switzerland. This article is an open access article distributed under the terms and conditions of the Creative Commons Attribution (CC BY) license ( http://creativecommons.org/licenses/by/4.0/).
Share and Cite
Jo, J.-M.; Lee, J.-H.; Han, Y.-J.; Lee, C.-Y.; Lee, K.-S. Development of Propulsion Inverter Control System for High-Speed Maglev based on Long Stator Linear Synchronous Motor. Energies 2017, 10, 170. https://doi.org/10.3390/en10020170
Jo J-M, Lee J-H, Han Y-J, Lee C-Y, Lee K-S. Development of Propulsion Inverter Control System for High-Speed Maglev based on Long Stator Linear Synchronous Motor. Energies. 2017; 10(2):170. https://doi.org/10.3390/en10020170
Chicago/Turabian StyleJo, Jeong-Min, Jin-Ho Lee, Young-Jae Han, Chang-Young Lee, and Kwan-Sup Lee. 2017. "Development of Propulsion Inverter Control System for High-Speed Maglev based on Long Stator Linear Synchronous Motor" Energies 10, no. 2: 170. https://doi.org/10.3390/en10020170
APA StyleJo, J.-M., Lee, J.-H., Han, Y.-J., Lee, C.-Y., & Lee, K.-S. (2017). Development of Propulsion Inverter Control System for High-Speed Maglev based on Long Stator Linear Synchronous Motor. Energies, 10(2), 170. https://doi.org/10.3390/en10020170
