Optimal and Learning-Based Demand Response Mechanism for Electric Water Heater System
Abstract
1. Introduction
- A mechanism to develop a data driven NARX (nonlinear autoregressive network with external input) model for a typical electric water heater through learning the “measured” data, and the EWH model is updated daily through learning with new data.
- A prediction method to estimate customer water demand behavior on the household electric water heater, by which the customer’s hot water volume consumption is collected, updated, and learned daily.
- An EWH supply–consume model to compute equivalent warm water that can be used by users when the average water temperature in EWH tank is either higher or lower than the demanded water temperature needed by users.
- A genetic algorithm to determine the optimal energy management of EWH to minimize the energy consumption cost. The optimization is obtained based on learned customer’s hot water usage pattern, learned thermal dynamic model of EWH system, and day-ahead electricity price.
2. Electric Water Heater Modeling
2.1. Basic Structure of Water Heater
2.2. Thermodynamic Model of Water Heater
2.3. Simulink Model of Electric Water Heater
2.4. Generating Training Data
2.5. Learning NARX EWH Model
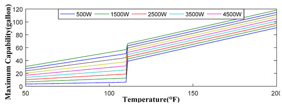
3. Hot Water Supply–Consume Model
| Algorithm 1: Calculating Maximum Capability of EWH | |
| 1: | at the previous day |
| 2: | for n = 1 to 24 do |
| 3: | |
| 4: | if |
| 5: | |
| 6: | else |
| 7: | |
| 8: | end if |
| 9: | end for |
4. Optimizing EWH Power Input under Demand Response Framework
4.1. Forecasting the Customer’s Demand Pattern
4.2. Day-Ahead Price
4.3. Genetic Algorithm Based Optimization
| Algorithm 2: GA-based EWH optimization | |
| 1: | Population initialization: generating a population of k chromosomes randomly within the power range |
| {Execute GA algorithm} | |
| 2: | for i = 1 to Nlimit do |
| 3: | Calculate using ARIMA (1,1,2) (1,0,0)168 |
| 4: | Calculate using Algorithm 1 |
| {Calculating the fitness of each chromosome} | |
| 5: | for j = 1 to k do |
| 6: | If then |
| 7: | |
| 8: | else |
| 9: | |
| 10: | end if |
| 11: | Call GA Routine according to [25] |
| 12: | end for |
| 13: | end for |
| 14: | Collect the best chromosome, i.e., the best power input solution for the cost function in (9) |
| 15: | Output the best fitness value Fbest, i.e., the minimum cost for operating EWH |
4.4. Win–Win Situation for System Operator and Customer
5. Simulation Analysis
5.1. GA-Based Optimal EWH Energy Management
5.2. Impact of Proposed Mechanism under Residential Power System
6. Conclusions
Author Contributions
Conflicts of Interest
References
- Qdr, Q. Benefits of Demand Response in Electricity Markets and Recommendations for Achieving Them; Technical Report; US Department of Energy: Washington, DC, USA, 2006.
- Outlook, A.E. Early Release: Annotated Summary of Two Cases; DOE/EIA-440 0373ER; US Energy Information Administration: Washington, DC, USA, 2016.
- Zhang, D.; Li, S.; Sun, M.; O’Neill, Z. An optimal and learning-based demand response and home energy management system. IEEE Trans. Smart Grid 2016, 7, 1790–1801. [Google Scholar] [CrossRef]
- Goddard, G.; Klose, J.; Backhaus, S. Model development and identification for fast demand response in commercial hvac systems. IEEE Trans. Smart Grid 2014, 5, 2084–2092. [Google Scholar] [CrossRef]
- Kepplinger, P.; Huber, G.; Petrasch, J. Autonomous optimal control for demand side management with resistive domestic hot water heaters using linear optimization. Energy Build. 2015, 100, 50–55. [Google Scholar] [CrossRef]
- Wang, Y.; Lin, X.; Pedram, M. A near-optimal model-based control algorithm for households equipped with residential photovoltaic power generation and energy storage systems. IEEE Trans. Sustain. Energy 2016, 7, 77–86. [Google Scholar] [CrossRef]
- Du, P.; Lu, N. Appliance commitment for household load scheduling. IEEE Trans. Smart Grid 2011, 2, 411–419. [Google Scholar] [CrossRef]
- Gelažanskas, L.; Gamage, K.A. Distributed energy storage using residential hot water heaters. Energies 2016, 9, 127. [Google Scholar]
- Xu, Z.; Diao, R.; Lu, S.; Lian, J.; Zhang, Y. Modeling of electric water heaters for demand response: A baseline pde model. IEEE Trans. Smart Grid 2014, 5, 2203–2210. [Google Scholar] [CrossRef]
- Belov, A.; Kartak, V.; Vasenev, A.; Meratnia, N.; Havinga, P.J. Load shifting of domestic water heaters under double price tariffs: Bringing together money savings and comfort. In Proceedings of the IEEE PES Innovative Smart Grid Technologies Conference Europe (ISGT-Europe), Ljubljana, Slovenia, 9–12 October 2016; pp. 1–6. [Google Scholar]
- Belov, A.; Vasenev, A.; Kartak, V.; Meratnia, N.; Havinga, P.J. Peak load reduction of multiple water heaters: Respecting consumer comfort and money savings. In Proceedings of the 2016 IEEE Online Conference on Green Communications (OnlineGreenComm), Piscataway, NJ, USA, 14 November–17 December 2016; pp. 51–57. [Google Scholar]
- Sen, M. Mathematical Analysis of Engineering Systems; Department of Aerospace and Mechanical Engineering, University of Notre Dame: Notre Dame, IN, USA, 2008. [Google Scholar]
- Barteczko-Hibbert, C.; Gillott, M.; Kendall, G. An artificial neural network for predicting domestic hot water characteristics. Int. J. Low-Carbon Technol. 2009, 4, 112–119. [Google Scholar] [CrossRef]
- A.O. Smith Corp. Introduction Residential Sizing Design Factors—A.O. Smith Water Heaters. Available online: http://www.hotwater.com/lit/sizing/aossg88150.pdf (accessed on 1 August 2017).
- Pollard, A.; Stoecklein, A.; Camilleri, M.; Amitrano, L.; Isaacs, N. An initial investigation into new zealand’s residential hot water energy usage. In Proceedings of the 2001 IRHACE Conference, Palmerston North, New Zealand, March 2001. [Google Scholar]
- Meng, F.-L.; Zeng, X.-J. A profit maximization approach to demand response management with customers behavior learning in smart grid. IEEE Trans. Smart Grid 2016, 7, 1516–1529. [Google Scholar] [CrossRef]
- Gelazanskas, L.; Gamage, K.A.A. Forecasting hot water consumption in residential houses. Energies 2015, 8, 12702–12717. [Google Scholar] [CrossRef]
- Hermansson, T. Analysis of Load Curves in One-Family Houses Using Artificial Neural Networks, School of Mechanical Engineering; Energy Economics and Planning, Department of Heat & Power Engineering, Lund Institute of Technology/Lund University: Lund, Sweden, 2004. [Google Scholar]
- Holcomb, F.H.; Massie, D.D.; Kang, J.H.; Boettner, D.D.; Knight, J.L. Validation of Combined Heat and Power (chp) Models to Field Data for a Residential Proton Exchange Fuel Cell (pem) Demonstration; Engineer Research and Development Center Champaign IL Construction Engineering Research Lab: Champaign, IL, USA, 2004. [Google Scholar]
- Lomet, A.; Suard, F.; Chèze, D. Statistical modeling for real domestic hot water consumption forecasting. Energy Procedia 2015, 70, 379–387. [Google Scholar] [CrossRef]
- Chen, G.; Abraham, B.; Bennett, G.W. Parametric and non-parametric modelling of time series—An empirical study. Environmetrics 1997, 8, 63–74. [Google Scholar] [CrossRef]
- Hong, T.; Wilson, J.; Xie, J. Long term probabilistic load forecasting and normalization with hourly information. IEEE Trans. Smart Grid 2014, 5, 456–462. [Google Scholar] [CrossRef]
- Energy, A.F. Real-Time Pricing for Residential Customers. Available online: https://www2.ameren.com/RetailEnergy/RealTimePrices (accessed on 1 August 2017).
- Li, S.; Zhang, D. Developing smart and real-time demand response mechanism for residential energy consumers. In Proceedings of the Power Systems Conference (PSC), 2014 Clemson University, Clemson, SC, USA, 11–14 March 2014; pp. 1–5. [Google Scholar]
- Sudhoff, S.; Lee, Y. Genetic Optimization System Engineering Toolbox 2.6 (Goset:Version 2.6); Purdue University: West Lafayette, IN, USA, 2016. [Google Scholar]
- Rosin, A.; Hõimoja, H.; Möller, T.; Lehtla, M. Residential electricity consumption and loads pattern analysis. In Proceedings of the Electric Power Quality and Supply Reliability Conference (PQ), Kuressaare, Estonia, 16–18 June 2010; pp. 111–116. [Google Scholar]
- Liu, Y.; Yuen, C.; Huang, S.; Hassan, N.U.; Wang, X.; Xie, S. Peak-to-average ratio constrained demand-side management with consumer’s preference in residential smart grid. IEEE J. Sel. Top. Signal Process. 2014, 8, 1084–1097. [Google Scholar] [CrossRef]
- Nguyen, H.K.; Song, J.B.; Han, Z. Demand side management to reduce peak-to-average ratio using game theory in smart grid. In Proceedings of the 2012 IEEE Conference on Computer Communications Workshops (INFOCOM WKSHPS), Orlando, FL, USA, 25–30 March 2012; pp. 91–96. [Google Scholar]
- eia. Prices and Factors Affecting Prices. Available online: https://www.eia.gov/energyexplained/index.cfm?page=electricity_factors_affecting_prices (accessed on 1 August 2017).
- Hossain, E.; Han, Z.; Poor, H.V. Smart Grid Communications and Networking; Cambridge University Press: Cambridge, UK, 2012. [Google Scholar]
- George, D.; Pearre, N.S.; Swan, L.G. High resolution measured domestic hot water consumption of canadian homes. Energy Build. 2015, 109, 304–315. [Google Scholar] [CrossRef]
- Nehrir, M.H.; Jia, R.; Pierre, D.A.; Hammerstrom, D.J. Power management of aggregate electric water heater loads by voltage control. In Proceedings of the Power Engineering Society General Meeting, Tampa, FL, USA, 24–28 June 2007; pp. 1–6. [Google Scholar]
- Richardson, I.; Thomson, M. Domestic Electricity Demand Model—Simulation Example; Loughborough University: Loughborough, UK, 2010. [Google Scholar]
- Samadi, P.; Mohsenian-Rad, H.; Schober, R.; Wong, V.W. Advanced demand side management for the future smart grid using mechanism design. IEEE Trans. Smart Grid 2012, 3, 1170–1180. [Google Scholar] [CrossRef]















| Input | Target | ||||
|---|---|---|---|---|---|
| Tank Temperature (°F) | Power Input (W) | Water Demand (gal) | Inlet Water Temperature (°F) | Ambient Temperature (°F) | Outlet Water Temperature (°F) |
| 162.43 | 3643.5 | 1.17 | 48.80 | 51.64 | 179.81 |
| 179.81 | 789.5 | 3.18 | 48.50 | 51.61 | 171.01 |
| 171.01 | 276.4 | 1.78 | 48.53 | 48.33 | 160.50 |
| 160.50 | 1893.7 | 3.34 | 49.50 | 46.46 | 161.80 |
| 161.80 | 278.2 | 4.24 | 49.80 | 53.94 | 149.91 |
| 149.91 | 1655.4 | 2.70 | 50.65 | 51.85 | 151.20 |
| Method | Performance Measures | ||
|---|---|---|---|
| nMAE | nRMSE | MASE | |
| Seasonal Mean | 0.7502 | 0.9182 | 0.9743 |
| MA 24 | 0.8213 | 0.9683 | 0.9638 |
| ARIMA (3,1,1) with SMA 24 | 0.6045 | 0.7708 | 0.7851 |
| ARIMA (1,1,1) (1,0,2)24 | 0.6756 | 0.9571 | 0.8774 |
| ARIMA (1,1,2) (1,0,0)168 | 0.5815 | 0.8112 | 0.6824 |
© 2017 by the authors. Licensee MDPI, Basel, Switzerland. This article is an open access article distributed under the terms and conditions of the Creative Commons Attribution (CC BY) license (http://creativecommons.org/licenses/by/4.0/).
Share and Cite
Lin, B.; Li, S.; Xiao, Y. Optimal and Learning-Based Demand Response Mechanism for Electric Water Heater System. Energies 2017, 10, 1722. https://doi.org/10.3390/en10111722
Lin B, Li S, Xiao Y. Optimal and Learning-Based Demand Response Mechanism for Electric Water Heater System. Energies. 2017; 10(11):1722. https://doi.org/10.3390/en10111722
Chicago/Turabian StyleLin, Bo, Shuhui Li, and Yang Xiao. 2017. "Optimal and Learning-Based Demand Response Mechanism for Electric Water Heater System" Energies 10, no. 11: 1722. https://doi.org/10.3390/en10111722
APA StyleLin, B., Li, S., & Xiao, Y. (2017). Optimal and Learning-Based Demand Response Mechanism for Electric Water Heater System. Energies, 10(11), 1722. https://doi.org/10.3390/en10111722

