Influence of Xenon–Fluorine–Sulfur Hexafluoride (Xe+–F−–SF6−) and Argon-Fluorine-Sulfur Hexafluoride (Ar+–F−–SF6−) Streaming on Dust Surface Potential (DSP) That Has Cairn–Tsallis Distributed Plasmas
Abstract
1. Introduction
2. Cairns–Tsallis -Distribution Function
3. Dust-Surface Potential (DSP) with Plasma
4. Dust Grain Surface Potential (DSP) with Plasmas
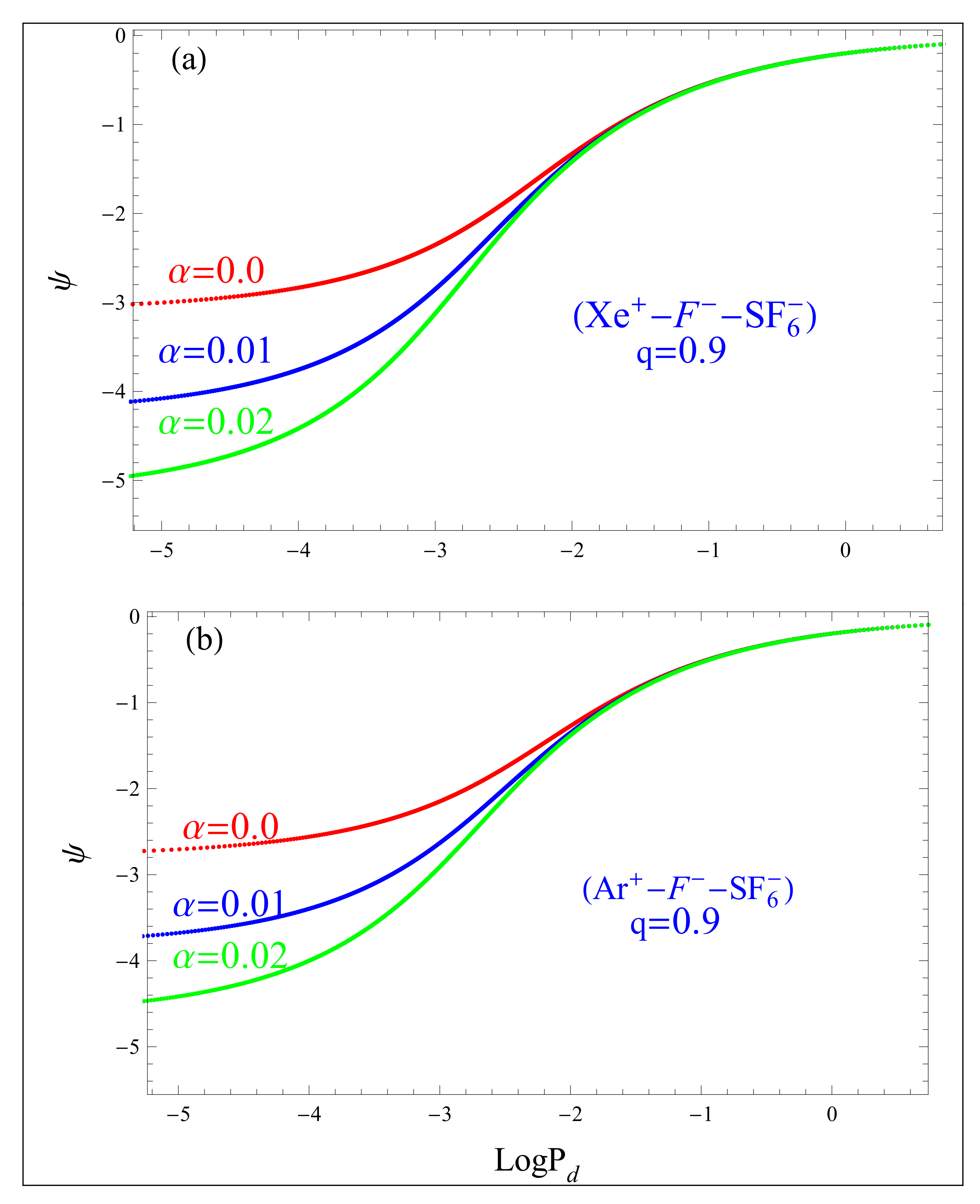
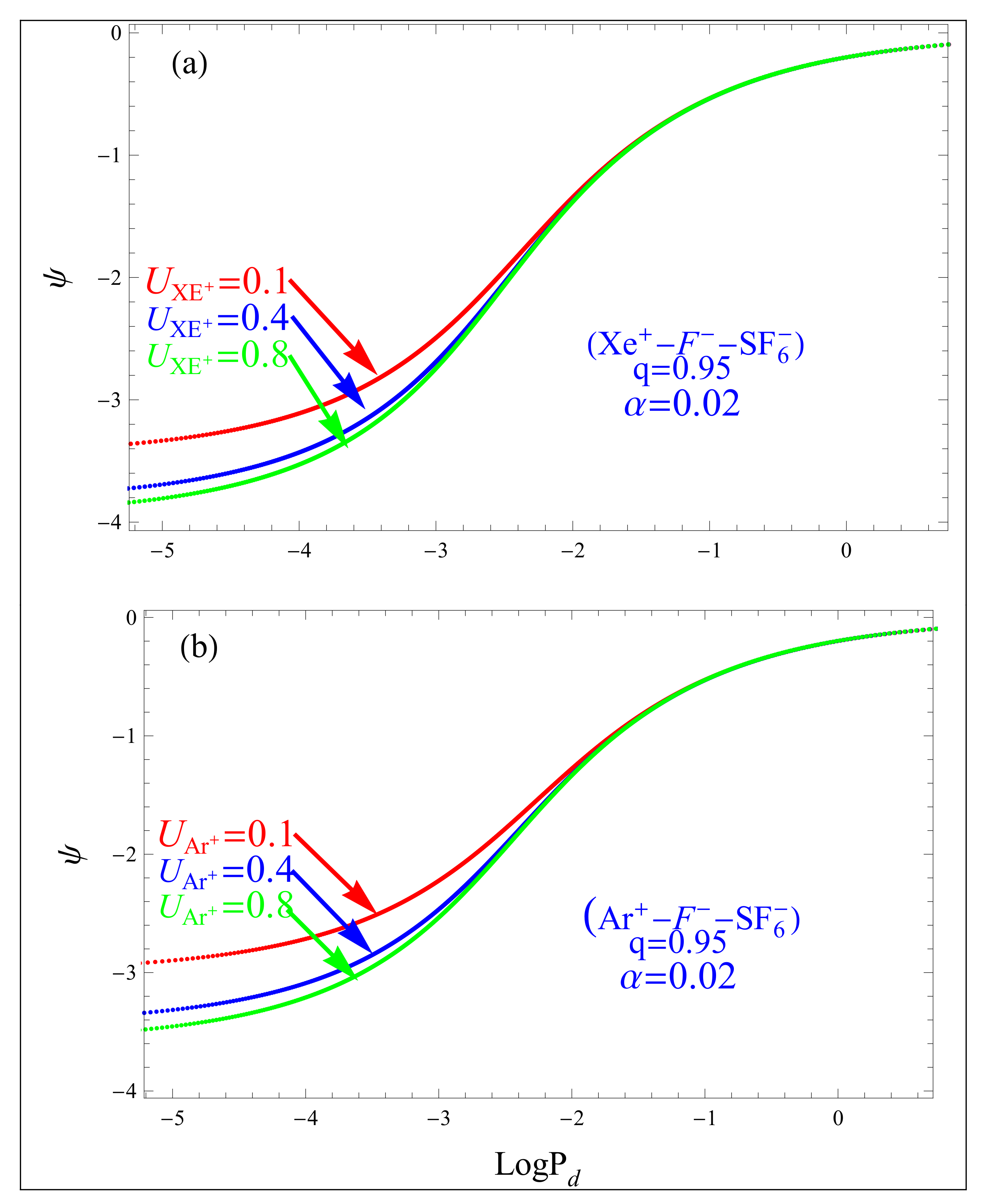
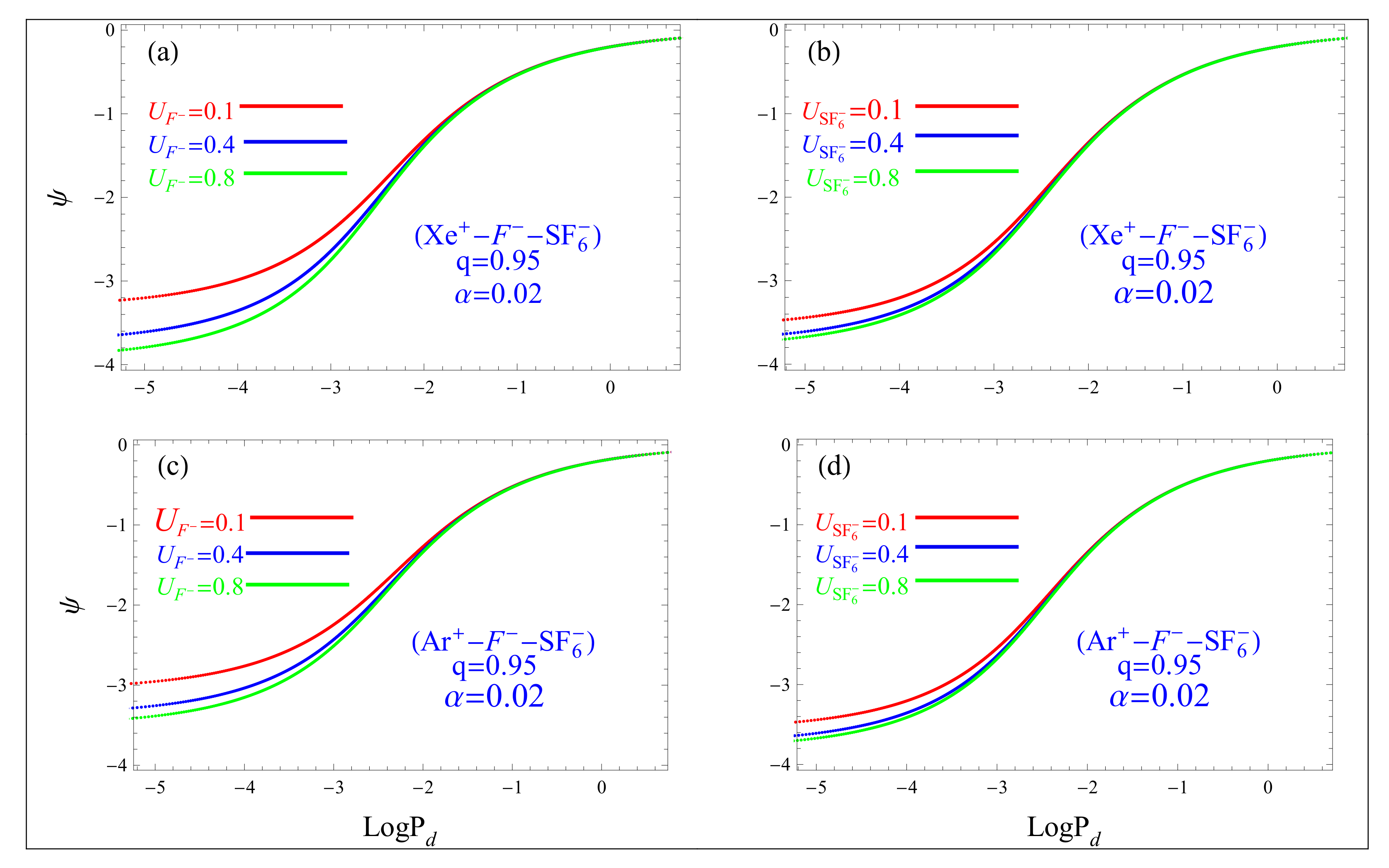
5. Numerical Results and Discussion
6. Conclusions
Author Contributions
Funding
Institutional Review Board Statement
Informed Consent Statement
Data Availability Statement
Conflicts of Interest
References
- Shukla, P.K.; Mamun, A.A. Introduction to Dusty Plasma Physics; IOP Publishing Ltd.: Bristol, UK, 2002. [Google Scholar]
- Horanyi, M.; Mendis, D.A. Trajectories of charged dust grains in the cometary environment. Astrophys. J. 1985, 294, 357–368. [Google Scholar] [CrossRef]
- Goertz, C.K. Dusty plasmas in the solar system. Rev. Geophys. 1989, 27, 271–292. [Google Scholar] [CrossRef]
- Fortov, V.E.; Ivlev, A.V.; Khrapak, S.A.; Khrapak, A.G.; Morfill, G.E. Complex (dusty) plasmas: Current status, open issues, perspectives. Phys. Rep. 2005, 421, 1–103. [Google Scholar] [CrossRef]
- Rao, N.N.; Shukla, P.K.; Yu, M.Y. Dust-acoustic waves in dusty plasmas. Planet. Space Sci. 1990, 38, 543–546. [Google Scholar] [CrossRef]
- Barkan, A.; Merlino, R.L.; D’angelo, N. Laboratory observation of the dust-acoustic wave mode. Phys. Plasmas 1995, 2, 3563–3565. [Google Scholar] [CrossRef]
- Barkan, A.; D’angelo, N.; Merlino, R.L. Charging of dust grains in a plasma. Phys. Rev. Lett. 1994, 73, 3093. [Google Scholar] [CrossRef]
- Mamun, A.A.; Shukla, P.K. Charging of dust grains in a plasma with negative ions. Phys. Plasmas 2003, 10, 1518–1520. [Google Scholar] [CrossRef]
- Abid, A.A.; Ali, S.; Muhammad, R. Dust grain surface potential in a non-Maxwellian dusty plasma with negative ions. J. Plasma Phys. 2013, 79, 1117–1121. [Google Scholar] [CrossRef]
- Vasyliunas, V.M. Low-energy electrons on the day side of the magnetosphere. J. Geophys. Res. 1968, 73, 7519–7523. [Google Scholar] [CrossRef]
- Hellberg, M.A.; Mace, R.L.; Baluku, T.K.; Kourakis, I.; Saini, N.S. Comment on “Mathematical and physical aspects of Kappa velocity distribution” [Phys. Plasmas 14, 110702 (2007)]. Phys. Plasmas 2009, 16, 094701. [Google Scholar] [CrossRef]
- Kourakis, I.; Sultana, S.; Hellberg, M.A. Dynamical characteristics of solitary waves, shocks and envelope modes in kappa-distributed non-thermal plasmas: An overview. Plasma Phys. Control. Fusion 2012, 54, 124001. [Google Scholar] [CrossRef]
- Bostrom, R. Observations of weak double layers on auroral field lines. IEEE Trans. Plasma Sci. 1992, 20, 756–763. [Google Scholar] [CrossRef]
- Dovner, P.O.; Eriksson, A.I.; Boström, R.; Holback, B. Freja multiprobe observations of electrostatic solitary structures. Geophys. Lett. 1994, 21, 1827–1830. [Google Scholar] [CrossRef]
- Cairns, R.A.; Mamum, A.A.; Bingham, R.; Boström, R.; Dendy, R.O.; Nairn, C.M.; Shukla, P.K. Electrostatic solitary structures in non-thermal plasmas. Geophys. Res. Lett. 1995, 22, 2709–2712. [Google Scholar] [CrossRef]
- Mamun, A.A. Rarefactive ion-acoustic electrostatic solitary structures in nonthermal plasmas. Eur. Phys. J. D-At. Opt. Plasma Phys. 2000, 11, 143–147. [Google Scholar] [CrossRef]
- Jukui, X. Modulational instability of ion-acoustic waves in a plasma consisting of warm ions and non-thermal electrons. Chaos Solitons Fractals 2003, 18, 849–853. [Google Scholar] [CrossRef]
- Maharaj, S.K.; Pillay, S.R.; Bharuthram, R.; Reddy, R.V.; Singh, S.V.; Lakhina, G.S. Arbitrary amplitude dust-acoustic double layers in a non-thermal plasma. J. Plasma Phys. 2006, 72, 43–58. [Google Scholar] [CrossRef]
- Baluku, T.K.; Hellberg, M.A. Plasma Physics and Controlled Fusion Ion acoustic solitary waves in an electron–positron–ion plasma with non-thermal electrons. Plasma Phys. Control. Fusion 2011, 53, 095007. [Google Scholar] [CrossRef]
- Verheest, F.; Pillay, S.R. Large amplitude dust-acoustic solitary waves and double layers in nonthermal plasmas. Phys. Plasmas 2008, 15, 013703. [Google Scholar] [CrossRef]
- Verheest, F.; Hellberg, M.A. Compressive and rarefactive solitary waves in nonthermal two-component plasmas. Phys. Plasmas 2010, 17, 102312. [Google Scholar] [CrossRef]
- Tsallis, C. Generalized entropy-based criterion for consistent testing. Phys. Rev. E 1998, 58, 1442. [Google Scholar] [CrossRef]
- Lima, J.A.; Silva, R., Jr.; Santos, J. Plasma oscillations and nonextensive statistics. Phys. Rev. E 2000, 61, 3260. [Google Scholar] [CrossRef]
- Jacquinot, J.; McVey, B.D.; Scharer, J.E. Mode conversion of the fast magnetosonic wave in a deuterium-hydrogen tokamak plasma. Phys. Rev. 1977, 39, 88. [Google Scholar] [CrossRef]
- Sauer, K.; McKenzie, J.F.; Dubinin, E. Waves and nonlinear structures in bi-ion plasmas. In AIP Conference Proceedings; American Institute of Physics: College Park, MD, USA, 2000; Volume 537, pp. 327–339. [Google Scholar]
- Lonngren, K.E. Soliton experiments in plasmas. Plasma Phys. 1983, 25, 943–982. [Google Scholar] [CrossRef]
- Ichiki, R.; Shindo, M.; Yoshimura, S.; Watanabe, T.; Kawai, Y. Ion acoustic waves in one-and two-negative ion species plasmas. Phys. Plasmas 2001, 8, 4275–4283. [Google Scholar] [CrossRef]
- Ichiki, R.; Yoshimura, S.; Watanabe, T.; Nakamura, Y.; Kawai, Y. Experimental observation of dominant propagation of the ion-acoustic slow mode in a negative ion plasma and its application. Phys. Plasmas 2002, 9, 4481–4487. [Google Scholar] [CrossRef]
- Nakamura, Y.; Nakamura, M.; Itoh, T. Observation of two ion-acoustic waves in an argon-helium plasma. Phys. Rev. Lett. 1976, 37, 209. [Google Scholar] [CrossRef]
- Wong, A.Y.; Mamas, D.L.; Arnush, D. Negative ion plasmas. Phys. Fluids 1975, 18, 1489–1493. [Google Scholar] [CrossRef]
- Nakamura, Y.; Bailung, H.; Lonngren, K.E. Oblique collision of modified Korteweg–de Vries ion-acoustic solitons. Phys. Plasmas 1999, 6, 3466–3470. [Google Scholar] [CrossRef]
- Amemiya, H.; Annaratone, B.M.; Allen, J.E. The double sheath associated with electron emission into a plasma containing negative ions. J. Plasma Phys. 1998, 60, 81–93. [Google Scholar] [CrossRef]
- Vyas, V.; Hebner, G.A.; Kushner, M.J. Self-consistent three-dimensional model of dust particle transport and formation of Coulomb crystals in plasma processing reactors. J. Appl. Phys. 2002, 92, 6451–6460. [Google Scholar] [CrossRef]
- Franklin, R.N. The plasma-wall boundary region in negative-ion-dominated plasmas at low pressures. Plasma Sources Sci. Technol. 2000, 9, 191. [Google Scholar] [CrossRef]
- Abid, A.A.; Rehman, M.; Khan, M.Z.; Sarfraz, Z.; Lu, Q. The influence of multi-ion streaming on the variation of dust particle surface potential with Maxwellian/non-Maxwellian dusty plasmas. Phys. Plasmas 2017, 24, 083702. [Google Scholar] [CrossRef]
- Williams, G.; Kourakis, I.; Verheest, F.; Hellberg, M.A. Re-examining the Cairns-Tsallis model for ion acoustic solitons. Phys. Rev. E 2013, 88, 023103. [Google Scholar] [CrossRef]
- Tribeche, M.; Amour, R.; Shukla, P.K. Ion acoustic solitary waves in a plasma with nonthermal electrons featuring Tsallis distribution. Phys. Rev. E 2012, 85, 037401. [Google Scholar] [CrossRef] [PubMed]
- Rubab, N.; Murtaza, G. Dust-charge fluctuations with non-Maxwellian distribution functions. Phys. Scr. 2006, 73, 178. [Google Scholar] [CrossRef]




Publisher’s Note: MDPI stays neutral with regard to jurisdictional claims in published maps and institutional affiliations. |
© 2022 by the authors. Licensee MDPI, Basel, Switzerland. This article is an open access article distributed under the terms and conditions of the Creative Commons Attribution (CC BY) license (https://creativecommons.org/licenses/by/4.0/).
Share and Cite
Raffah, B.M.; Abid, A.A.; Al-Hadeethi, Y.; Somaily, H.H. Influence of Xenon–Fluorine–Sulfur Hexafluoride (Xe+–F−–SF6−) and Argon-Fluorine-Sulfur Hexafluoride (Ar+–F−–SF6−) Streaming on Dust Surface Potential (DSP) That Has Cairn–Tsallis Distributed Plasmas. Appl. Sci. 2022, 12, 11212. https://doi.org/10.3390/app122111212
Raffah BM, Abid AA, Al-Hadeethi Y, Somaily HH. Influence of Xenon–Fluorine–Sulfur Hexafluoride (Xe+–F−–SF6−) and Argon-Fluorine-Sulfur Hexafluoride (Ar+–F−–SF6−) Streaming on Dust Surface Potential (DSP) That Has Cairn–Tsallis Distributed Plasmas. Applied Sciences. 2022; 12(21):11212. https://doi.org/10.3390/app122111212
Chicago/Turabian StyleRaffah, Bahaaudin M., A. A. Abid, Y. Al-Hadeethi, and H. H. Somaily. 2022. "Influence of Xenon–Fluorine–Sulfur Hexafluoride (Xe+–F−–SF6−) and Argon-Fluorine-Sulfur Hexafluoride (Ar+–F−–SF6−) Streaming on Dust Surface Potential (DSP) That Has Cairn–Tsallis Distributed Plasmas" Applied Sciences 12, no. 21: 11212. https://doi.org/10.3390/app122111212
APA StyleRaffah, B. M., Abid, A. A., Al-Hadeethi, Y., & Somaily, H. H. (2022). Influence of Xenon–Fluorine–Sulfur Hexafluoride (Xe+–F−–SF6−) and Argon-Fluorine-Sulfur Hexafluoride (Ar+–F−–SF6−) Streaming on Dust Surface Potential (DSP) That Has Cairn–Tsallis Distributed Plasmas. Applied Sciences, 12(21), 11212. https://doi.org/10.3390/app122111212

