When Tracking Error Misleads: Risk Exposure Differences Between ETFs and Their Indices
Abstract
1. Introduction
2. Related Literature Review and Hypothesis Development
2.1. Measurements of the Tracking Error
2.2. Risk Factor Analysis
3. The Samples and Tracking Errors
3.1. Data
- Indexed ETFs, where the main objective of their fund managers is to mimic a particular index;
- Non-leveraged ETFs that mimic the underlying indices one-to-one, as leveraged ETFs aim to multiply or invert the performance of the underlying index.
3.2. Tracking Errors and the Underlying Risk Factors
3.2.1. Tracking Error
3.2.2. Principal Component Analysis (PCA)
- For each year, we select the indices with the maximum number of observations. Then, we form a matrix of index returns, Rt, with dimensions Rt = [n × #Ind], where n is the number of observations and Ind is the number of indices for that year.
- We extract the first 10 PCAs from the matrix of index returns and store them in a matrix Vt with dimensions Vt = [#Ind × #Components].
- We multiply the matrix of index returns, Rt, by the PCA components matrix, Vt, to obtain the risk factor loadings matrix RLt = [R × V].
- We regress each ETF and index return on the 10 factors from RLt, as follows:
- We record the R2 from each regression for each ETF and index each year.
4. Tracking Errors and ETFs Risk Exposure
4.1. Tracking Errors and the Risk Differences
4.2. Economic Significance
5. Conclusions
Author Contributions
Funding
Institutional Review Board Statement
Informed Consent Statement
Data Availability Statement
Conflicts of Interest
Appendix A
| Variable | Description | Source |
|---|---|---|
| Premiums | ETFs premium is calculated as the ETF price divided by the net asset value NAV, then the value takes the natural log. | DataStream |
| Turnover | ETFs turnover is calculated as the ETF daily trading volume price divided by the share outstanding. | DataStream |
| Spread | ETF bid/ask spread is calculated as the ETF daily bid/ask spread divided by the trading price daily mid-point. | DataStream |
| SPX Ret | The daily returns on the S&P500. | DataStream |
| VIX | The VIX index, which measures the market’s expectation of future volatility. It is based on options of the S&P 500 Index (Source: www.cboe.com/vix, accessed on 18 January 2026). | DataStream |
| 1 | According to the Investment Company Institute Fact Book of 2024. |
References
- Aber, J. W., Li, D., & Can, L. (2009). Price volatility and tracking ability of ETFs. Journal of Asset Management, 10, 210–221. [Google Scholar] [CrossRef]
- Ang, A. (2014). Asset management: A systematic approach to factor investing. Oxford University Press. [Google Scholar]
- Bae, K., & Kim, D. (2020). Liquidity risk and exchange-traded fund returns, variances, and tracking errors. Journal of Financial Economics, 138(1), 222–253. [Google Scholar] [CrossRef]
- Carhart, M. M. (1997). On persistence in mutual fund performance. The Journal of Finance, 52, 57–82. [Google Scholar] [CrossRef]
- Chen, N.-F., Roll, R., & Ross, S. A. (1986). Economic forces and the stock market. Journal of Business, 59, 383–403. [Google Scholar] [CrossRef]
- Chiu, J., Chung, H., Ho, K. Y., & Wang, G. H. (2012). Funding liquidity and equity liquidity in the subprime crisis period: Evidence from the ETF market. Journal of Banking & Finance, 36(9), 2660–2671. [Google Scholar] [CrossRef]
- Chu, P. K. K. (2011). Study on the tracking errors and their determinants: Evidence from Hong Kong exchange traded funds. Applied Financial Economics, 21(5), 309–315. [Google Scholar] [CrossRef]
- Cremers, K. M., & Petajisto, A. (2009). How active is your fund manager? A new measure that predicts performance. The Review of Financial Studies, 22, 3329–3365. [Google Scholar] [CrossRef]
- Dorocáková, M. (2017). Comparison of ETF’s performance related to the tracking error. Journal of International Studies, 10(4), 154–165. [Google Scholar] [CrossRef]
- Fama, E. F., & French, K. R. (2015). Incremental variables and the investment opportunity set. Journal of Financial Economics, 117, 470–488. [Google Scholar] [CrossRef]
- Fraś, A., & Rogowski, W. (2016). The attractiveness of passive forms of investment in Poland. Journal of Management and Financial Sciences, 9(25), 43–60. [Google Scholar]
- Frino, A., & Gallagher, D. R. (2001). Tracking S&P 500 index funds. The Journal of Portfolio Management, 28, 44–55. [Google Scholar] [CrossRef]
- Grinold, R., & Kahn, R. (1999). Active portfolio management: A quantitative approach for providing superior returns and controlling risk. McGraw-Hill Professional. [Google Scholar]
- Hougan, M. (2015). Tracking difference, the perfect ETF metric. ETF.com. Available online: https://www.etf.com/sections/blog/tracking-difference-perfect-etf-metric?nopaging=1 (accessed on 23 August 2025).
- Kim, J., Cho, H., & Seok, S. (2023). Liquidity risk, return performance, and tracking error: Synthetic vs. physical ETFs. Journal of International Financial Markets, Institutions and Money, 89, 101885. [Google Scholar] [CrossRef]
- Kostovetsky, L. (2003). Index mutual funds and exchange-traded funds. The Journal of Portfolio Management, 29, 80–92. [Google Scholar] [CrossRef]
- Kozak, S., Nagel, S., & Santosh, S. (2018). Interpreting factor models. The Journal of Finance, 73, 1183–1223. [Google Scholar] [CrossRef]
- Lee, H. C., Tseng, Y. C., & Yang, C. J. (2014). Commonality in liquidity, liquidity distribution, and financial crisis: Evidence from country ETFs. Pacific-Basin Finance Journal, 29, 35–58. [Google Scholar] [CrossRef]
- Lettau, M., & Madhavan, A. (2018). Exchange-traded funds 101 for economists. Journal of Economic Perspectives, 32(1), 135–154. [Google Scholar] [CrossRef]
- Lintner, J. (1965). The valuation of risk assets and the selection of risky investments in stock portfolios and capital budgets. The Review of Economics and Statistics, 47, 13–37. [Google Scholar] [CrossRef]
- Madhavan, A. N. (2016). Exchange-traded funds and the new dynamics of investing. Oxford University Press. [Google Scholar]
- Mossin, J. (1966). Wages, profits, and the dynamics of growth. The Quarterly Journal of Economics, 80, 376–399. [Google Scholar] [CrossRef]
- Poterba, J. M., & Shoven, J. B. (2002). Exchange-traded funds: A new investment option for taxable investors. American Economic Review, 92, 422–427. [Google Scholar] [CrossRef]
- Pukthuanthong, K., Roll, R., & Subrahmanyam, A. (2018). A protocol for factor identification. The Review of Financial Studies, 32, 1573–1607. [Google Scholar] [CrossRef]
- Roll, R. (1992). Industrial structure and the comparative behavior of international stock market indices. The Journal of Finance, 47(1), 3–41. [Google Scholar] [CrossRef]
- Saunders, K. T. (2018). Analysis of international ETF tracking error in country-specific funds. Atlantic Economic Journal, 46(2), 151–160. [Google Scholar] [CrossRef]
- Sharpe, W. F. (1964). Capital asset prices: A theory of market equilibrium under conditions of risk. The Journal of Finance, 19, 425–442. [Google Scholar] [PubMed]
- Shin, S., & Soydemir, G. (2010). Exchange-traded funds, persistence in tracking errors and information dissemination. Journal of Multinational Financial Management, 20(4–5), 214–234. [Google Scholar] [CrossRef]
- Stambaugh, R. F. (2014). Investment noise and trends. The Journal of Finance, 69(4), 1415–1453. [Google Scholar] [CrossRef]
- Treynor, J. L. (1961). Market value, time, and risk (Working paper). Available online: https://papers.ssrn.com/sol3/papers.cfm?abstract_id=2600356 (accessed on 18 January 2026).
- Tzioumis, K., & Barbopoulos, L. G. (2025). Betas distribution and ETF tracking error. SSRN Electronic Journal. [Google Scholar] [CrossRef]
- Yadav, P. K., & Pope, P. F. (1994). Stock index futures mispricing: Profit opportunities or risk premia? Journal of Banking & Finance, 18(5), 921–953. [Google Scholar] [CrossRef]








| Industries | Number of ETFs |
|---|---|
| Financials | 84 |
| Technology | 52 |
| Non-Classified Equity * | 34 |
| Cyclical Consumer Goods and Services | 19 |
| Industrial | 17 |
| Energy | 15 |
| Healthcare | 15 |
| Basic Materials | 9 |
| Non-Cyclical Consumer Goods and Services | 7 |
| Utilities | 6 |
| Telecommunication Services | 1 |
| Total | 259 |
| Panel (A): Daily Sample | ||||||||||||
| ETFs Daily Returns | Indices Daily Returns | |||||||||||
| Year | ETFs | Mean | Median | St.Dev | Min | Max | Ind. | Mean | Median | St.Dev | Min | Max |
| 2013 | 182 | 0.311 | 0.307 | 0.146 | −0.596 | 0.884 | 164 | 0.301 | 0.305 | 0.138 | −0.597 | 0.851 |
| 2014 | 194 | 0.093 | 0.100 | 0.150 | −0.278 | 0.455 | 176 | 0.112 | 0.115 | 0.144 | −0.202 | 0.414 |
| 2015 | 203 | −0.034 | −0.021 | 0.179 | −0.439 | 0.208 | 185 | −0.028 | −0.018 | 0.180 | −0.399 | 0.216 |
| 2016 | 219 | 0.130 | 0.128 | 0.179 | −0.356 | 0.893 | 199 | 0.153 | 0.142 | 0.180 | −0.351 | 0.957 |
| 2017 | 237 | 0.153 | 0.154 | 0.111 | −0.204 | 0.568 | 217 | 0.175 | 0.181 | 0.109 | −0.210 | 0.578 |
| 2018 | 249 | −0.097 | −0.098 | 0.183 | −0.421 | 0.146 | 229 | −0.095 | −0.088 | 0.189 | −0.902 | 0.134 |
| Panel (B): Weekly Sample | ||||||||||||
| ETFs Weekly Returns | Indices Weekly Returns | |||||||||||
| Year | ETFs | Mean | Median | St.Dev | Min | Max | Ind. | Mean | Median | St.Dev | Min | Max |
| 2013 | 182 | 0.329 | 0.323 | 0.145 | −0.617 | 0.911 | 164 | 0.332 | 0.328 | 0.134 | −0.618 | 0.897 |
| 2014 | 194 | 0.107 | 0.117 | 0.149 | −0.284 | 0.445 | 176 | 0.120 | 0.123 | 0.143 | −0.268 | 0.480 |
| 2015 | 203 | −0.040 | −0.029 | 0.156 | −0.439 | 0.195 | 185 | −0.017 | −0.013 | 0.156 | −0.395 | 0.254 |
| 2016 | 219 | 0.141 | 0.138 | 0.191 | −0.368 | 0.968 | 199 | 0.159 | 0.153 | 0.192 | −0.361 | 0.905 |
| 2017 | 237 | 0.158 | 0.162 | 0.110 | −0.213 | 0.581 | 217 | 0.166 | 0.167 | 0.107 | −0.223 | 0.593 |
| 2018 | 249 | −0.112 | −0.114 | 0.193 | −0.436 | 0.121 | 229 | −0.099 | −0.100 | 0.193 | −0.420 | 0.133 |
| Panel (A): Daily Sample | ||||||
| Year | ETFs | Tracking Errors | ||||
| Mean | Median | St.Dev | Min | Max | ||
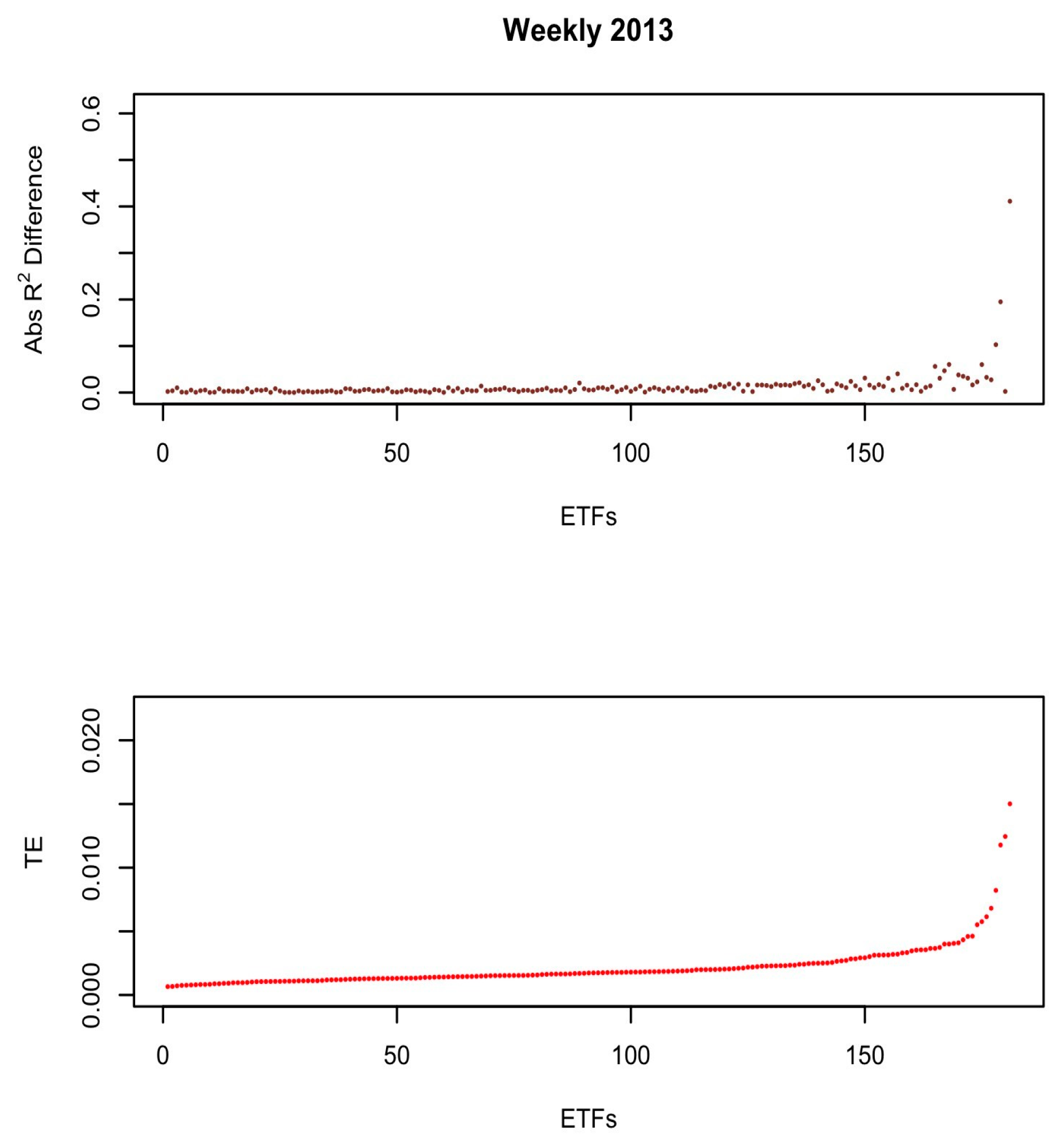
| 2013 | 182 | 0.0372 | 0.0169 | 0.1310 | 0.0082 | 1.7593 |
| 2014 | 194 | 0.0315 | 0.0163 | 0.1133 | 0.0071 | 1.5697 |
| 2015 | 203 | 0.0323 | 0.0184 | 0.0514 | 0.0062 | 0.6072 |
| 2016 | 219 | 0.0353 | 0.0168 | 0.0495 | 0.0065 | 0.4108 |
| 2017 | 237 | 0.0276 | 0.0146 | 0.0346 | 0.0056 | 0.2392 |
| 2018 | 249 | 0.0360 | 0.0162 | 0.0437 | 0.0065 | 0.3097 |
| Overall | 1284 | 0.0332 | 0.0165 | 0.0761 | 0.0056 | 1.7593 |
| Panel (B): Weekly Sample | ||||||
| Year | ETFs | Tracking Errors | ||||
| Mean | Median | St.Dev | Min | Max | ||
| 2013 | 182 | 0.0263 | 0.0122 | 0.1443 | 0.0051 | 1.9550 |
| 2014 | 194 | 0.0199 | 0.0093 | 0.1105 | 0.0021 | 1.5446 |
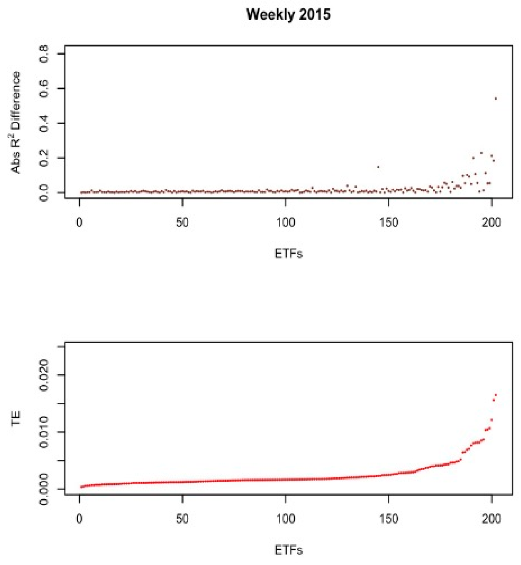
| 2015 | 203 | 0.0207 | 0.0118 | 0.0456 | 0.0029 | 0.6188 |
| 2016 | 219 | 0.0239 | 0.0122 | 0.0401 | 0.0032 | 0.3966 |
| 2017 | 237 | 0.0197 | 0.0105 | 0.0292 | 0.0028 | 0.2324 |
| 2018 | 249 | 0.0241 | 0.0119 | 0.0346 | 0.0027 | 0.2460 |
| Overall | 1284 | 0.0224 | 0.0113 | 0.0760 | 0.0021 | 1.9550 |
| Panel (A): Daily Sample | ||||||||||
| R2s for ETFs | R2s for Indices | |||||||||
| Year | Mean | Median | St.Dev | Min | Max | Mean | Median | St.Dev | Min | Max |
| 2013 | 89.083 | 92.753 | 12.198 | 3.610 | 98.860 | 93.152 | 96.008 | 8.265 | 41.149 | 99.844 |
| 2014 | 89.624 | 93.877 | 13.135 | 4.130 | 99.321 | 92.873 | 96.312 | 10.101 | 18.307 | 99.851 |
| 2015 | 90.091 | 94.679 | 14.589 | 7.179 | 99.382 | 93.802 | 97.008 | 9.087 | 32.091 | 99.887 |
| 2016 | 88.173 | 94.845 | 18.174 | 3.055 | 99.269 | 93.478 | 96.635 | 7.939 | 52.826 | 99.855 |
| 2017 | 80.954 | 89.281 | 21.974 | 2.718 | 98.989 | 88.313 | 92.466 | 12.836 | 16.989 | 99.626 |
| 2018 | 85.409 | 93.941 | 21.032 | 4.897 | 99.495 | 92.494 | 96.376 | 10.946 | 19.994 | 99.819 |
| Panel (B): Weekly Sample | ||||||||||
| R2s for ETFs | R2s for Indices | |||||||||
| Year | Mean | Median | St.Dev | Min | Max | Mean | Median | St.Dev | Min | Max |
| 2013 | 93.984 | 96.241 | 8.459 | 16.437 | 99.553 | 95.419 | 96.955 | 5.277 | 59.948 | 99.943 |
| 2014 | 94.335 | 97.261 | 9.405 | 22.670 | 99.794 | 95.099 | 96.988 | 7.149 | 34.498 | 99.938 |
| 2015 | 92.872 | 96.107 | 10.263 | 16.067 | 99.273 | 94.732 | 96.987 | 6.985 | 54.171 | 99.897 |
| 2016 | 93.455 | 97.014 | 11.012 | 22.726 | 99.541 | 95.891 | 97.875 | 5.044 | 67.315 | 99.860 |
| 2017 | 87.858 | 93.278 | 15.336 | 13.133 | 99.153 | 91.369 | 94.779 | 10.137 | 27.042 | 99.838 |
| 2018 | 92.527 | 97.082 | 12.653 | 28.117 | 99.818 | 95.554 | 97.889 | 6.450 | 40.535 | 99.921 |
| Panel (A): Daily Sample | ||||||||||
| R2 Differences | Absolute R2 Differences | |||||||||
| Year | Mean | Median | St.Dev | Min | Max | Mean | Median | St.Dev | Min | Max |
| 2013 | −3.995 | −1.589 | 6.582 | −51.763 | 3.781 | 4.099 | 1.687 | 6.517 | 0.053 | 51.763 |
| 2014 | −3.231 | −1.166 | 6.872 | −53.585 | 10.092 | 3.408 | 1.248 | 6.786 | 0.090 | 53.585 |
| 2015 | −3.633 | −1.010 | 9.626 | −80.365 | 6.910 | 3.807 | 1.079 | 9.558 | 0.003 | 80.365 |
| 2016 | −4.955 | −0.955 | 15.010 | −86.884 | 23.143 | 5.445 | 1.022 | 14.838 | 0.018 | 86.884 |
| 2017 | −6.973 | −1.885 | 16.375 | −89.288 | 36.001 | 7.337 | 1.923 | 16.215 | 0.053 | 89.288 |
| 2018 | −6.169 | −0.808 | 16.687 | −90.131 | 57.699 | 6.771 | 0.856 | 16.452 | 0.007 | 90.131 |
| Panel (B): Weekly Sample | ||||||||||
| R2 Differences | Absolute R2 Differences | |||||||||
| Year | Mean | Median | St.Dev | Min | Max | Mean | Median | St.Dev | Min | Max |
| 2013 | −1.254 | −0.596 | 3.545 | −41.121 | 1.599 | 1.351 | 0.621 | 3.509 | 0.008 | 41.121 |
| 2014 | −0.732 | −0.348 | 2.166 | −24.897 | 2.064 | 0.820 | 0.374 | 2.134 | 0.004 | 24.897 |
| 2015 | −1.760 | −0.601 | 5.113 | −54.230 | 3.911 | 1.977 | 0.673 | 5.032 | 0.011 | 54.230 |
| 2016 | −2.024 | −0.535 | 7.482 | −57.915 | 9.346 | 2.236 | 0.642 | 7.421 | 0.002 | 57.915 |
| 2017 | −3.126 | −0.853 | 9.424 | −56.899 | 43.110 | 3.687 | 0.933 | 9.218 | 0.006 | 56.899 |
| 2018 | −2.240 | −0.222 | 7.875 | −55.810 | 20.468 | 2.488 | 0.291 | 7.799 | 0.000 | 55.810 |
| Panel (A): Daily Sample | |||
| Year | Quartile | Tracking Errors * | Mean of Absolute R2 Difference |
| 2013 | 75% to 99% 50% to 75% | 0.1744 0.0138 | 46.732% 3.334% |
| 2014 | 75% to 99% 50% to 75% | 0.1503 0.0100 | 50.527% 1.792% |
| 2015 | 75% to 99% 50% to 75% | 0.1458 0.0132 | 56.345% 1.426% |
| 2016 | 75% to 99% 50% to 75% | 0.1726 0.0153 | 84.233% 1.561% |
| 2017 | 75% to 99% 50% to 75% | 0.1314 0.0100 | 83.431% 2.727% |
| 2018 | 75% to 99% 50% to 75% | 0.1483 0.0242 | 86.367% 2.881% |
| Panel (B): Weekly Sample | |||
| Year | Quartile | Tracking Errors * | Mean of Absolute R2 Difference |
| 2013 | 75% to 99% 50% to 75% | 0.0909 0.0049 | 39.732% 0.768% |
| 2014 | 75% to 99% 50% to 75% | 0.0611 0.0036 | 24.207% 0.314% |
| 2015 | 75% to 99% 50% to 75% | 0.0934 0.0071 | 21.517% 0.689% |
| 2016 | 75% to 99% 50% to 75% | 0.1417 0.0083 | 56.588% 0.677% |
| 2017 | 75% to 99% 50% to 75% | 0.1376 0.0067 | 61.464% 0.943% |
| 2018 | 75% to 99% 50% to 75% | 0.1462 0.0099 | 66.416% 0.678% |
| Model 1 | Model 2 | Model 3 | |
|---|---|---|---|
| TE | TE | TE | |
| Abs R2Diff | 0.01793 *** (47.88) | 0.01371 *** (35.71) | 0.01353 *** (35.11) |
| Premiums | 0.00040 *** (3.99) | 0.00042 *** (4.18) | |
| Turnover | 0.00237 *** (4.09) | 0.00239 *** (4.13) | |
| Spread | 5.31 × 10−8 (0.17) | −2.56 × 10−9 (−0.01) | |
| SPX Ret | 0.00155 ** (3.02) | 0.00156 ** (3.04) | |
| VIX | 0.00005 *** (11.59) | 0.00005 *** (11.93) | |
| Month FE | 0.00002 *** (4.63) | ||
| Constant | 0.00119 *** (72.51) | 0.00024 *** (3.64) | 0.00011 (1.59) |
| Obs. | 12,000 | 7594 | 7594 |
| R2 | 0.1618 | 0.1623 | 0.1647 |
| ETFs | 125 | 125 | 125 |
| Year | Average Changes in Return Difference |
|---|---|
| 2012 | −0.0513% ** |
| 2013 | 0.0085% |
| 2014 | −0.0742% * |
| 2015 | 0.0035% |
| 2016 | 0.0597% |
| 2017 | −0.0139% * |
| 2018 | 0.0034% |
| 2012–2018 | −0.0166% ** |
Disclaimer/Publisher’s Note: The statements, opinions and data contained in all publications are solely those of the individual author(s) and contributor(s) and not of MDPI and/or the editor(s). MDPI and/or the editor(s) disclaim responsibility for any injury to people or property resulting from any ideas, methods, instructions or products referred to in the content. |
© 2026 by the authors. Licensee MDPI, Basel, Switzerland. This article is an open access article distributed under the terms and conditions of the Creative Commons Attribution (CC BY) license.
Share and Cite
Alfnaisan, N.; Jebari, F.; Hassan, M.K. When Tracking Error Misleads: Risk Exposure Differences Between ETFs and Their Indices. J. Risk Financial Manag. 2026, 19, 86. https://doi.org/10.3390/jrfm19010086
Alfnaisan N, Jebari F, Hassan MK. When Tracking Error Misleads: Risk Exposure Differences Between ETFs and Their Indices. Journal of Risk and Financial Management. 2026; 19(1):86. https://doi.org/10.3390/jrfm19010086
Chicago/Turabian StyleAlfnaisan, Naif, Fatima Jebari, and Mohammad Kabir Hassan. 2026. "When Tracking Error Misleads: Risk Exposure Differences Between ETFs and Their Indices" Journal of Risk and Financial Management 19, no. 1: 86. https://doi.org/10.3390/jrfm19010086
APA StyleAlfnaisan, N., Jebari, F., & Hassan, M. K. (2026). When Tracking Error Misleads: Risk Exposure Differences Between ETFs and Their Indices. Journal of Risk and Financial Management, 19(1), 86. https://doi.org/10.3390/jrfm19010086

