Contrasting Cryptocurrencies with Other Assets: Full Distributions and the COVID Impact
Abstract
:1. Introduction
2. Data and Basic Characteristics
3. Entropy Profiles Method
3.1. Brief Introduction to Information Theory and Entropy
3.2. Using Entropy to Test Equality of Univariate Densities
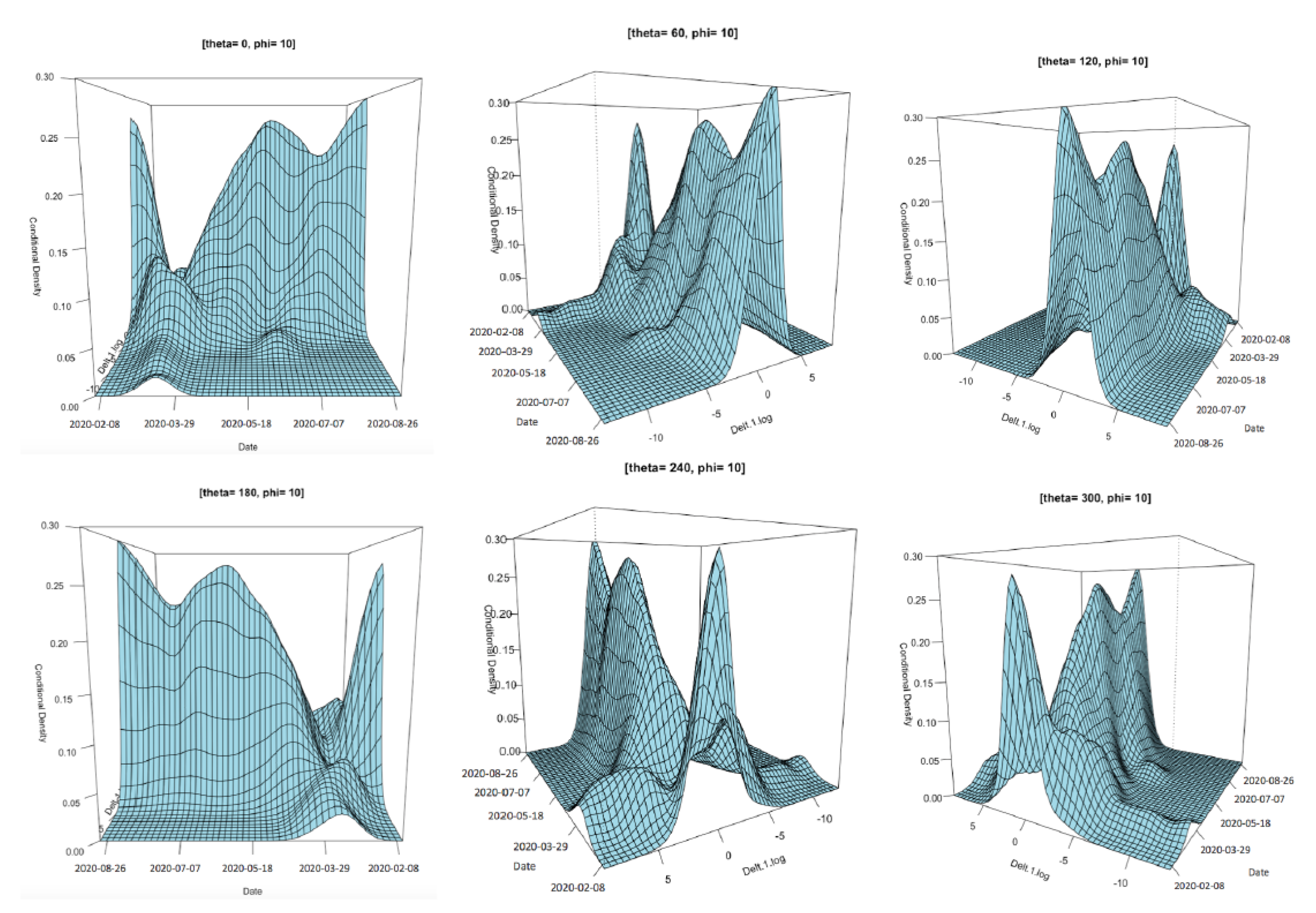
3.3. Similarity with Select Asset Classes
3.4. Testing General Nonlinear Co-Dependence
4. Difference-in-Differences Analysis
5. Conclusions
Author Contributions
Funding
Data Availability Statement
Conflicts of Interest
| 1 | https://finance.yahoo.com (accessed on 1 September 2020) |
| 2 | http://mba.tuck.dartmouth.edu/pages/faculty/ken.french/Data_Library/det_30_ind_port.html (accessed on 1 September 2020) |
References
- Al-Khazali, Osamah, Bouri Elie, and David Roubaud. 2018. The impact of positive and negative macroeconomic news surprises: Gold versus Bitcoin. Economics Bulletin 38: 373–82. [Google Scholar]
- Balcilar, Mehmet, Elie Bouri, Rangan Gupta, and David Roubaud. 2017. Can volume predict Bitcoin returns and volatility? A quantiles-based approach. Economic Modelling 64: 74–81. [Google Scholar] [CrossRef] [Green Version]
- Balcombe, Kelvin, and Iain Fraser. 2017. Do bubbles have an explosive signature in markov switching models? Economic Modelling 66: 81–100. [Google Scholar] [CrossRef]
- Bariviera, Aurelio F. 2017. The inefficiency of Bitcoin revisited: A dynamic approach. Economics Letters 161: 1–4. [Google Scholar] [CrossRef] [Green Version]
- Bariviera, Aurelio F., Basgall María José, Hasperué Waldo, and Marcelo Naiouf. 2017. Some stylized facts of the Bitcoin market. Physica A: Statistical Mechanics and its Applications 484: 82–90. [Google Scholar] [CrossRef] [Green Version]
- Baur, Dirk G., and Thomas Dimpfl. 2018. Asymmetric volatility in cryptocurrencies. Economics Letters 173: 148–51. [Google Scholar] [CrossRef]
- Begusic, Stjepan, Zvonko Kostanjčar, H. Eugene Stanley, and Boris Podobnik. 2018. Scaling properties of extreme price fluctuations in Bitcoin markets. Physica A: Statistical Mechanics and its Applications 510: 400–06. [Google Scholar] [CrossRef] [Green Version]
- Bouri, Elie, Peter Molnár, Georges Azzi, David Roubaud, and Lars Ivar Hagfors. 2017. On the hedge and safe haven properties of Bitcoin: Is it really more than a diversifier? Finance Research Letters 20: 192–98. [Google Scholar] [CrossRef]
- Card, David, and Alan B. Krueger. 1993. Minimum wages and employment: A case study of the fast-food industry in New Jersey and Pennsylvania: Reply. American Economic Review 90: 1397–420. [Google Scholar] [CrossRef]
- Dyhrberg, Anne Haubo. 2016. Bitcoin, gold and the dollar-A GARCH volatility analysis. Finance Research Letters 16: 85–92. [Google Scholar] [CrossRef] [Green Version]
- Giannerini, Simone, Esfandiar Maasoumi, and Estela Bee Dagum. 2015. Entropy testing for nonlinear serial dependence in time series. Biometrika 102: 661–75. [Google Scholar] [CrossRef]
- Granger, Clive WJ, and Namwon Hyung. 2004. Occasional structural breaks and long memory with an application to the S&P 500 absolute stock returns. Journal of Empirical Finance 11: 399–421. [Google Scholar]
- Granger, Clive WJ, Bwo-Nung Huangb, and Chin-Wei Yang. 2000. A bivariate causality between stock prices and exchange rates: Evidence from recent Asianflu. The Quarterly Review of Economics and Finance 40: 337–54. [Google Scholar] [CrossRef]
- Gulko, Les. 1999. The entropy theory of stock option pricing. International Journal of Theoretical and Applied Finance 2: 331–55. [Google Scholar] [CrossRef]
- Katsiampa, Paraskevi. 2017. Volatility estimation for Bitcoin: A comparison of GARCH models. Economics Letters 158: 3–6. [Google Scholar] [CrossRef] [Green Version]
- Kristoufek, Ladislav. 2015. What are the main drivers of the Bitcoin price? Evidence from wavelet coherence analysis. PLoS ONE 10: e0123923. [Google Scholar] [CrossRef] [PubMed]
- Kullback, Solomon, and Richard A. Leibler. 1951. On information and sufficiency. The Annals of Mathematical Statistics 22: 79–86. [Google Scholar] [CrossRef]
- Lahmiri, Salim, and Stelios Bekiros. 2019. Cryptocurrency forecasting with deep learning chaotic neural networks. Chaos, Solitons & Fractals 118: 35–40. [Google Scholar]
- Lahmiri, Salim, and Stelios Bekiros. 2018. randomness and multi-fractality in Bitcoin market. Chaos, Solitons & Fractals 106: 28–34. [Google Scholar]
- Li, Xin, and Chong Alex Wang. 2017. The technology and economic determinants of cryptocurrency exchange rates: The case of Bitcoin. Decision Support Systems 95: 49–60. [Google Scholar] [CrossRef]
- Maasoumi, Esfandiar, and Jeff Racine. 2002. Entropy and predictability of stock market returns. Journal of Econometrics 107: 291–312. [Google Scholar] [CrossRef]
- Naeem, Muhammad Abubakr, Saba Qureshi, Mobeen Ur Rehman, and Faruk Balli. 2021. COVID-19 and cryptocurrency market: Evidence from quantile connectedness. Applied Economics, 1–27. [Google Scholar] [CrossRef]
- Nakayama, Ken, and Gerald H. Silverman. 1986. Serial and parallel processing of visual feature conjunctions. Nature 320: 264–65. [Google Scholar] [CrossRef] [PubMed]
- Osterrieder, Joerg, and Julian Lorenz. 2017. A statistical risk assessment of Bitcoin and its extreme tail behavior. Annals of Financial Economics 12: 1750003. [Google Scholar] [CrossRef]
- Pichl, Lukas, and Taisei Kaizoji. 2017. Volatility analysis of bitcoin. Quantitative Finance and Economics 1: 474–85. [Google Scholar] [CrossRef]
- Renyi, Alfred. 1961. On measures of entropy and information. In Proceedings of the Fourth Berkeley Symposium on Mathematical Statistics and Probability. Volume 1: Contributions to the Theory of Statistics. Oakland: University of California Press, pp. 547–61. [Google Scholar]
- Renyi, Alfred. 1970. On the number of endpoints of a k-tree. Studia Scientiarum Mathematicarum Hungarica 5: 5–10. [Google Scholar]
- Sarkodie, Samuel Asumadu, Maruf Yakubu Ahmed, and Phebe Asantewaa Owusu. 2021. COVID-19 pandemic improves market signals of cryptocurrencies? evidence from Bitcoin, Bitcoin Cash, Ethereum, and Litecoin. Finance Research Letters, 102049. [Google Scholar] [CrossRef]
- Shannon, Claude Elwood. 1948. A mathematical theory of communication. The Bell System Technical Journal 27: 379–423. [Google Scholar] [CrossRef] [Green Version]
- Skaug, Hans Julius, and Dag Tjostheim. 1996. Testing for serial independence using measures of distance between densities. In Athens Conference on Applied Probability and Time Series Analysis. New York: Springer, pp. 363–77. [Google Scholar]
- Stavroyiannis, Stavros. 2018. Value-at-risk and related measures for the Bitcoin. The Journal of Risk Finance 19: 127–36. [Google Scholar] [CrossRef]
- Thies, Sven, and Peter Molnar. 2018. Bayesian change point analysis of Bitcoin returns. Finance Research Letters 27: 223–27. [Google Scholar] [CrossRef]
- Vukovic, Darko, Moinak Maiti, Zoran Grubisic, Elena M. Grigorieva, and Michael Frömmel. 2021. COVID-19 Pandemic: Is the Crypto Market a Safe Haven? The Impact of the First Wave. Sustainability 13: 8578. [Google Scholar] [CrossRef]






| Pre-COVID (Aug. 2015–Jan. 2020) | COVID Era (Feb. 2020.–Sep. 2020 | |||||||
|---|---|---|---|---|---|---|---|---|
| Daily Log-Return | S&P500 | Nasdaq | Bitcoin | Ethereum | S&P500 | Nasdaq | Bitcoin | Ethereum |
| Observations | 1129 | 1129 | 1640 | 1639 | 147 | 147 | 213 | 213 |
| Mean | 0.04 | 0.05 | 0.21 | 0.25 | 0.05 | 0.16 | 0.11 | 0.45 |
| Standard deviation | 0.86 | 1.04 | 3.89 | 7.09 | 2.72 | 2.71 | 4.61 | 5.92 |
| Skewness | −0.57 | −0.51 | −0.18 | −3.44 | −0.73 | −0.92 | −4.49 | −3.68 |
| Kurtosis | 4.12 | 3.15 | 4.72 | 72.46 | 5.13 | 5.27 | 48.02 | 35.51 |
| Augmented Dickey-Fuller (ADF) | −10.98 ** | −11.26 ** | −10.93 ** | −10.93 ** | −5.64 ** | −5.48 ** | −5.16 ** | −4.98 ** |
| Jarque–Bera | 862.50 *** | 518.27 *** | 1538.80 *** | 362,486 *** | 180.51 *** | 197.22 *** | 21,507 *** | 11,855 *** |
| Pre-COVID (Aug. 2015–Jan. 2020) | COVID Era (Feb. 2020–Sep. 2020) | Difference | |||
|---|---|---|---|---|---|
| Daily Log-Return | S_rho | p-Value | S_rho | p-Value | |
| S&P500 and Bitcoin | 0.20 | 2.22 × 10 *** | 0.04 | 0.1010 | −0.16 |
| S&P500 and Ethereum | 0.33 | 2.22 × 10 *** | 0.08 | 2.22 × 10 *** | −0.25 |
| NASDAQ and Bitcoin | 0.16 | 2.22 × 10 *** | 0.04 | 0.0404 * | −0.12 |
| NASDAQ and Ethereum | 0.28 | 2.22 × 10 *** | 0.08 | 2.22 × 10 *** | −0.20 |
| Daily Log-Return | S_rho | p-Value |
|---|---|---|
| S&P500 with itself pre-COVID and COVID era | 0.13 | <2.22 × 10 *** |
| NASDAQ with itself pre-COVID and COVID era | 0.10 | <2.22 × 10 *** |
| Bitcoin with itself pre-COVID and COVID era | 0.02 | 0.3737 |
| Ethereum with itself pre-COVID and COVID era | 0.02 | 0.0303 * |
| Pre-COVID and COVID Era with Itself | Pre-COVID with Bitcoin | COVID Era with Bitcoin | Difference | ||||
|---|---|---|---|---|---|---|---|
| Daily Log-Return | S_rho | p-Value | S_rho | p-Value | S_rho | p-Value | |
| Food | 0.16 | <2.22 × 10 *** | 0.22 | <2.22 × 10 *** | 0.04 | 0.0808 | −0.18 |
| Beer | 0.14 | <2.22 × 10 *** | 0.21 | <2.22 × 10 *** | 0.07 | 0.1010 | −0.14 |
| Smoke | 0.14 | <2.22 × 10 *** | 0.14 | <2.22 × 10 *** | 0.03 | 0.2121 | −0.11 |
| Games | 0.09 | <2.22 × 10 *** | 0.10 | <2.22 × 10 *** | 0.05 | 0.0202 * | −0.05 |
| Books | 0.19 | <2.22 × 10 *** | 0.15 | <2.22 × 10 *** | 0.04 | 0.0909 | −0.11 |
| Hshld | 0.14 | <2.22 × 10 *** | 0.21 | <2.22 × 10 *** | 0.04 | 0.4040 | −0.17 |
| Clths | 0.20 | <2.22 × 10 *** | 0.12 | <2.22 × 10 *** | 0.04 | 0.1212 | −0.08 |
| Hlth | 0.12 | <2.22 × 10 *** | 0.17 | <2.22 × 10 *** | 0.04 | 0.1717 | −0.13 |
| Chems | 0.21 | <2.22 × 10 *** | 0.15 | <2.22 × 10 *** | 0.04 | 0.1414 | −0.11 |
| Txtls | 0.26 | <2.22 × 10 *** | 0.11 | <2.22 × 10 *** | 0.07 | 0.0101 * | −0.04 |
| Cnstr | 0.23 | <2.22 × 10 *** | 0.14 | <2.22 × 10 *** | 0.04 | 0.2020 | −0.10 |
| Steel | 0.14 | <2.22 × 10 *** | 0.07 | <2.22 × 10 *** | 0.05 | 0.0202 * | −0.02 |
| Fabpr | 0.19 | <2.22 × 10 *** | 0.13 | <2.22 × 10 *** | 0.04 | 0.0808 | −0.09 |
| Elceq | 0.22 | <2.22 × 10 *** | 0.14 | <2.22 × 10 *** | 0.04 | 0.1111 | −0.10 |
| Autos | 0.21 | <2.22 × 10 *** | 0.12 | <2.22 × 10 *** | 0.04 | 0.1212 | −0.08 |
| Carry | 0.27 | <2.22 × 10 *** | 0.15 | <2.22 × 10 *** | 0.06 | 0.0202 * | −0.08 |
| Mines | 0.09 | <2.22 × 10 *** | 0.09 | <2.22 × 10 *** | 0.05 | 0.0505 | −0.05 |
| Coal | 0.09 | <2.22 × 10 *** | 0.02 | <2.22 × 10 *** | 0.09 | <2.22 × 10 *** | 0.07 |
| Oil | 0.22 | <2.22 × 10 *** | 0.11 | <2.22 × 10 *** | 0.05 | 0.0101 * | −0.05 |
| Util | 0.22 | <2.22 × 10 *** | 0.22 | <2.22 × 10 *** | 0.03 | 0.3939 | −0.18 |
| Telcm | 0.19 | <2.22 × 10 *** | 0.20 | <2.22 × 10 *** | 0.04 | 0.1313 | −0.16 |
| Servs | 0.14 | <2.22 × 10 *** | 0.16 | <2.22 × 10 *** | 0.05 | 0.1111 | −0.11 |
| Buseq | 0.13 | <2.22 × 10 *** | 0.14 | <2.22 × 10 *** | 0.04 | 0.1717 | −0.10 |
| Paper | 0.17 | <2.22 × 10 *** | 0.18 | <2.22 × 10 *** | 0.03 | 0.3535 | −0.15 |
| Trans | 0.18 | <2.22 × 10 *** | 0.15 | <2.22 × 10 *** | 0.04 | 0.1515 | −0.11 |
| Whlsl | 0.24 | <2.22 × 10 *** | 0.19 | <2.22 × 10 *** | 0.04 | 0.2020 | −0.15 |
| Rtail | 0.10 | <2.22 × 10 *** | 0.18 | <2.22 × 10 *** | 0.08 | <2.22 × 10 *** | −0.10 |
| Meals | 0.24 | <2.22 × 10 *** | 0.20 | <2.22 × 10 *** | 0.03 | 0.2626 | −0.17 |
| Fin | 0.25 | <2.22 × 10 *** | 0.16 | <2.22 × 10 *** | 0.05 | 0.1010 | −0.11 |
| Other | 0.20 | <2.22 × 10 *** | 0.20 | <2.22 × 10 *** | 0.04 | 0.1010 | −0.16 |
| Pre-COVID (Aug. 2015–Jan. 2020) | COVID Era (Feb. 2020–Sep. 2020) | Difference | |||
|---|---|---|---|---|---|
| Daily Log-Return | S_rho | p-Value | S_rho | p-Value | |
| S&P500 and Bitcoin | 0.0085 | 0.0303 * | 0.0148 | 2.22 × 10 *** | 0.0063 |
| S&P500 and Ethereum | 0.0076 | 0.5758 | 0.0172 | 2.22 × 10 *** | 0.0096 |
| NASDAQ and Bitcoin | 0.0072 | 0.0101 * | 0.0163 | 2.22 × 10 *** | 0.0091 |
| NASDAQ and Ethereum | 0.0061 | 0.6061 | 0.0178 | 2.22 × 10 *** | 0.0117 |
| Distribution | Stock | Crypto | Difference |
|---|---|---|---|
| pre-COVID | |||
| COVID era | |||
| Change |
Publisher’s Note: MDPI stays neutral with regard to jurisdictional claims in published maps and institutional affiliations. |
© 2021 by the authors. Licensee MDPI, Basel, Switzerland. This article is an open access article distributed under the terms and conditions of the Creative Commons Attribution (CC BY) license (https://creativecommons.org/licenses/by/4.0/).
Share and Cite
Maasoumi, E.; Wu, X. Contrasting Cryptocurrencies with Other Assets: Full Distributions and the COVID Impact. J. Risk Financial Manag. 2021, 14, 440. https://doi.org/10.3390/jrfm14090440
Maasoumi E, Wu X. Contrasting Cryptocurrencies with Other Assets: Full Distributions and the COVID Impact. Journal of Risk and Financial Management. 2021; 14(9):440. https://doi.org/10.3390/jrfm14090440
Chicago/Turabian StyleMaasoumi, Esfandiar, and Xi Wu. 2021. "Contrasting Cryptocurrencies with Other Assets: Full Distributions and the COVID Impact" Journal of Risk and Financial Management 14, no. 9: 440. https://doi.org/10.3390/jrfm14090440
APA StyleMaasoumi, E., & Wu, X. (2021). Contrasting Cryptocurrencies with Other Assets: Full Distributions and the COVID Impact. Journal of Risk and Financial Management, 14(9), 440. https://doi.org/10.3390/jrfm14090440
