American Option Pricing with Importance Sampling and Shifted Regressions
Abstract
:1. Introduction
2. Pricing Derivatives with Early-Exercise Features
2.1. The Valuation Problem
2.2. Least Squares Monte Carlo
2.3. Variance Reduction with Importance Sampling
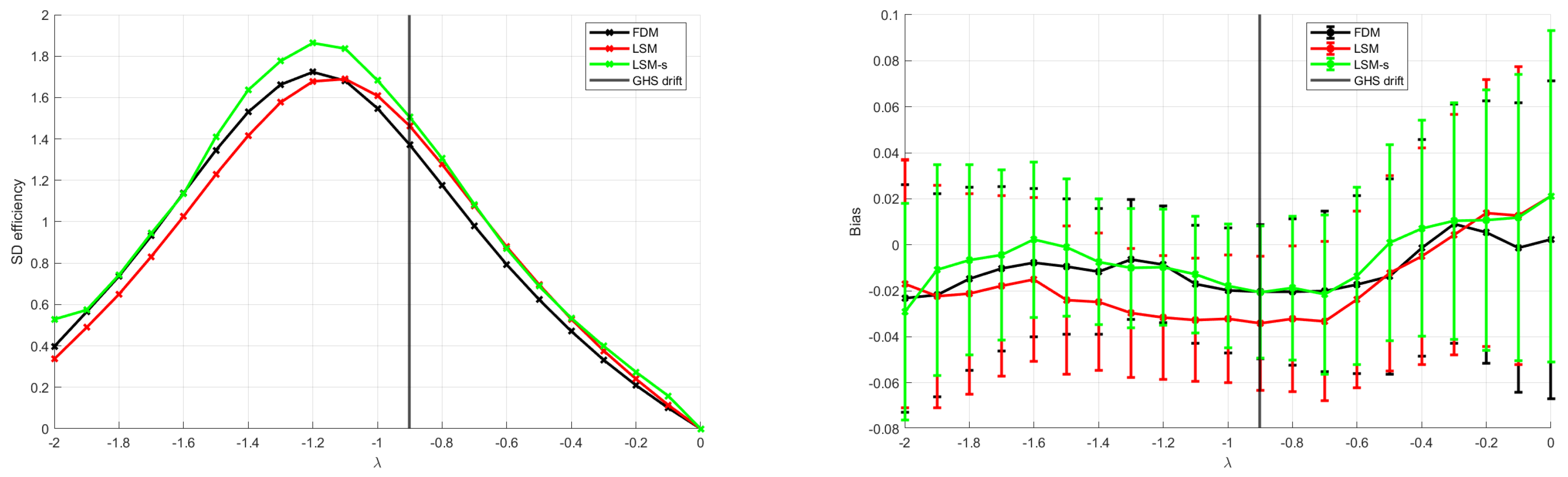
3. Numerical Results
3.1. Determination of the Optimal Drift
3.2. The Benefits of Using Shifted Regressions
3.2.1. Bias
3.2.2. Standard Deviation
3.2.3. RMSE Efficiency
3.3. Robustness
4. Extensions and Future Research
5. Conclusions
Author Contributions
Funding
Institutional Review Board Statement
Informed Consent Statement
Data Availability Statement
Acknowledgments
Conflicts of Interest
Appendix A. Tables with Detailed Results
| 0.5 | 34 | 117.1 | −73.3 | 28.5 | 17.6 | −18.9 | 1.7 | −2.3 | −4.6 | −2.0 |
| 0.5 | 36 | 110.1 | −62.7 | 24.1 | 15.8 | −17.8 | 1.5 | −3.1 | −3.8 | −1.4 |
| 0.5 | 38 | 104.2 | −52.1 | 21.5 | 14.4 | −15.5 | 3.0 | −1.2 | −5.8 | −0.9 |
| 0.5 | 40 | 95.0 | −42.1 | 17.6 | 15.9 | −12.8 | 2.1 | −0.0 | −3.9 | −1.5 |
| 0.5 | 42 | 90.9 | −33.8 | 15.3 | 14.1 | −11.0 | 2.1 | −1.0 | −3.3 | −0.7 |
| 0.5 | 44 | 81.4 | −30.0 | 12.2 | 15.4 | −7.8 | 1.1 | 0.6 | −3.9 | −0.4 |
| 0.5 | 46 | 75.4 | −30.2 | 9.1 | 12.0 | −6.6 | 0.5 | −1.2 | −2.3 | −1.1 |
| 1 | 34 | 138.5 | −91.5 | 30.1 | 21.3 | −19.6 | 0.1 | 4.6 | −3.9 | −2.3 |
| 1 | 36 | 138.6 | −81.6 | 26.6 | 17.8 | −18.8 | 2.4 | −2.4 | −6.4 | −0.8 |
| 1 | 38 | 132.0 | −74.2 | 25.4 | 15.1 | −16.6 | 2.4 | −3.3 | −4.1 | −1.1 |
| 1 | 40 | 128.1 | −66.4 | 22.0 | 15.4 | −15.5 | 1.5 | 1.6 | −4.7 | −1.0 |
| 1 | 42 | 124.4 | −60.4 | 19.7 | 20.5 | −17.0 | 2.4 | 2.7 | −4.3 | −0.9 |
| 1 | 44 | 118.7 | −54.2 | 17.1 | 17.9 | −12.6 | 1.5 | −2.4 | −3.8 | −0.8 |
| 1 | 46 | 114.6 | −54.9 | 15.8 | 18.4 | −11.9 | 2.0 | 3.5 | −4.3 | 0.3 |
| 1.5 | 34 | 141.5 | −99.5 | 31.5 | 20.0 | −20.7 | 3.4 | −1.3 | −4.4 | −0.1 |
| 1.5 | 36 | 141.2 | −93.2 | 29.2 | 22.5 | −19.4 | 0.9 | −0.1 | −5.2 | −1.8 |
| 1.5 | 38 | 141.9 | −89.7 | 27.1 | 18.7 | −18.6 | 3.6 | −0.2 | −5.3 | −1.9 |
| 1.5 | 40 | 138.3 | −82.4 | 24.8 | 13.7 | −18.2 | 2.1 | −0.1 | −4.0 | −0.3 |
| 1.5 | 42 | 134.2 | −76.1 | 23.4 | 15.5 | −15.8 | 2.4 | 0.9 | −4.8 | 0.3 |
| 1.5 | 44 | 131.7 | −72.6 | 20.0 | 15.2 | −16.4 | 2.4 | −0.5 | −3.4 | −1.7 |
| 1.5 | 46 | 129.2 | −74.3 | 18.9 | 15.6 | −14.3 | 1.7 | −1.0 | −4.0 | −1.3 |
| 2 | 34 | 141.8 | −104.3 | 30.6 | 16.7 | −20.9 | 1.7 | 0.7 | −4.5 | −2.2 |
| 2 | 36 | 144.0 | −98.8 | 29.0 | 13.1 | −20.4 | 1.9 | −1.0 | −4.2 | −2.1 |
| 2 | 38 | 142.0 | −95.7 | 26.0 | 17.2 | −17.5 | 2.4 | −0.1 | −4.1 | −0.8 |
| 2 | 40 | 141.0 | −91.8 | 24.8 | 14.5 | −18.3 | 1.8 | −1.1 | −5.6 | −1.7 |
| 2 | 42 | 139.4 | −87.1 | 27.0 | 18.7 | −17.9 | 2.3 | 5.3 | −4.4 | −1.4 |
| 2 | 44 | 141.6 | −84.5 | 23.2 | 17.0 | −18.5 | 3.1 | 3.2 | −4.2 | −1.2 |
| 2 | 46 | 137.6 | −87.9 | 21.8 | 19.2 | −16.8 | 1.1 | 1.3 | −2.9 | −0.7 |
| 0.5 | 34 | 117.1 | −3.0 | 26.7 | 17.6 | −5.8 | 1.3 | −2.3 | −3.1 | −2.2 |
| 0.5 | 36 | 110.1 | −11.8 | 21.8 | 15.8 | −7.2 | 2.1 | −3.1 | −3.5 | −2.4 |
| 0.5 | 38 | 104.2 | −20.3 | 18.7 | 14.4 | −8.1 | 0.6 | −1.2 | −1.5 | −2.0 |
| 0.5 | 40 | 95.0 | −25.2 | 15.4 | 15.9 | −8.9 | −0.2 | −0.0 | −2.0 | −1.5 |
| 0.5 | 42 | 90.9 | −26.4 | 13.2 | 14.1 | −8.5 | −0.2 | −1.0 | −3.1 | −2.2 |
| 0.5 | 44 | 81.4 | −28.6 | 10.2 | 15.4 | −8.0 | 0.6 | 0.6 | −3.0 | −1.4 |
| 0.5 | 46 | 75.4 | −32.2 | 8.9 | 12.0 | −7.4 | 0.4 | −1.2 | −2.8 | −0.9 |
| 1 | 34 | 138.5 | −56.7 | 23.8 | 21.3 | −14.5 | −0.2 | 4.6 | −2.3 | −0.6 |
| 1 | 36 | 138.6 | −59.7 | 22.2 | 17.8 | −13.2 | 0.5 | −2.4 | −1.9 | −0.7 |
| 1 | 38 | 132.0 | −59.7 | 21.2 | 15.1 | −13.5 | 1.6 | −3.3 | −5.0 | −1.0 |
| 1 | 40 | 128.1 | −61.3 | 18.9 | 15.4 | −14.7 | 0.2 | 1.6 | −3.7 | 0.1 |
| 1 | 42 | 124.4 | −58.5 | 17.1 | 20.5 | −12.5 | 0.7 | 2.7 | −2.3 | −1.4 |
| 1 | 44 | 118.7 | −54.8 | 14.7 | 17.9 | −14.0 | 0.1 | −2.4 | −2.5 | −1.8 |
| 1 | 46 | 114.6 | −57.2 | 14.8 | 18.4 | −13.4 | 1.5 | 3.5 | −3.8 | −0.4 |
| 1.5 | 34 | 141.5 | −81.4 | 23.1 | 20.0 | −15.6 | 0.5 | −1.3 | −4.6 | −0.6 |
| 1.5 | 36 | 141.2 | −85.0 | 23.5 | 22.5 | −16.4 | 1.4 | −0.1 | −3.6 | −1.5 |
| 1.5 | 38 | 141.9 | −83.5 | 22.0 | 18.7 | −16.7 | 3.7 | −0.2 | −4.0 | −2.6 |
| 1.5 | 40 | 138.3 | −80.4 | 21.6 | 13.7 | −19.0 | 1.0 | −0.1 | −4.1 | −2.1 |
| 1.5 | 42 | 134.2 | −76.1 | 19.1 | 15.5 | −17.0 | 1.7 | 0.9 | −6.1 | −1.8 |
| 1.5 | 44 | 131.7 | −73.0 | 18.3 | 15.2 | −15.7 | 3.1 | −0.5 | −4.3 | −1.7 |
| 1.5 | 46 | 129.2 | −75.4 | 17.8 | 15.6 | −15.2 | 2.0 | −1.0 | −2.7 | −1.6 |
| 2 | 34 | 141.8 | −95.2 | 27.0 | 16.7 | −21.4 | 1.8 | 0.7 | −0.4 | −2.9 |
| 2 | 36 | 144.0 | −96.1 | 27.3 | 13.1 | −18.8 | 3.6 | −1.0 | −6.6 | −1.5 |
| 2 | 38 | 142.0 | −94.0 | 27.0 | 17.2 | −17.7 | 1.7 | −0.1 | −4.4 | −4.8 |
| 2 | 40 | 141.0 | −91.1 | 24.7 | 14.5 | −17.2 | 3.5 | −1.1 | −5.3 | −1.4 |
| 2 | 42 | 139.4 | −87.7 | 25.5 | 18.7 | −18.3 | 2.1 | 5.3 | −3.9 | −1.1 |
| 2 | 44 | 141.6 | −84.6 | 23.8 | 17.0 | −16.1 | 3.7 | 3.2 | −3.3 | −0.7 |
| 2 | 46 | 137.6 | −89.2 | 21.7 | 19.2 | −15.7 | 2.5 | 1.3 | −3.6 | 0.4 |
| 0.5 | 34 | 18.2 | 8.1 | 8.1 | 5.7 | 2.5 | 2.5 | 1.7 | 0.8 | 0.9 |
| 0.5 | 36 | 17.6 | 7.5 | 7.7 | 5.6 | 2.2 | 2.4 | 1.5 | 0.7 | 0.8 |
| 0.5 | 38 | 16.8 | 7.0 | 7.2 | 5.5 | 2.2 | 2.1 | 1.7 | 0.6 | 0.7 |
| 0.5 | 40 | 15.9 | 6.3 | 6.5 | 4.9 | 1.9 | 2.0 | 1.4 | 0.7 | 0.7 |
| 0.5 | 42 | 14.7 | 5.7 | 5.9 | 4.8 | 1.8 | 1.9 | 1.3 | 0.5 | 0.6 |
| 0.5 | 44 | 13.4 | 4.9 | 5.1 | 4.4 | 1.6 | 1.5 | 1.4 | 0.5 | 0.4 |
| 0.5 | 46 | 12.2 | 4.3 | 4.5 | 3.9 | 1.3 | 1.3 | 1.4 | 0.4 | 0.4 |
| 1 | 34 | 21.6 | 10.0 | 9.9 | 6.6 | 3.0 | 3.0 | 2.3 | 0.8 | 1.0 |
| 1 | 36 | 21.2 | 9.4 | 9.4 | 6.6 | 2.9 | 2.9 | 2.0 | 0.9 | 0.9 |
| 1 | 38 | 21.1 | 8.9 | 9.1 | 6.6 | 2.9 | 2.9 | 2.2 | 0.9 | 0.9 |
| 1 | 40 | 20.4 | 8.4 | 8.7 | 6.4 | 2.6 | 2.5 | 1.8 | 0.9 | 0.8 |
| 1 | 42 | 19.4 | 7.9 | 8.1 | 6.3 | 2.5 | 2.5 | 1.8 | 0.8 | 0.8 |
| 1 | 44 | 18.3 | 7.3 | 7.5 | 6.0 | 2.2 | 2.3 | 1.9 | 0.6 | 0.7 |
| 1 | 46 | 17.4 | 6.7 | 6.9 | 5.6 | 2.1 | 2.1 | 1.8 | 0.6 | 0.7 |
| 1.5 | 34 | 23.6 | 10.8 | 10.9 | 7.8 | 3.2 | 3.3 | 2.2 | 1.0 | 1.1 |
| 1.5 | 36 | 23.6 | 10.6 | 10.5 | 7.8 | 3.2 | 3.3 | 2.2 | 1.1 | 1.1 |
| 1.5 | 38 | 23.1 | 10.1 | 10.1 | 7.6 | 3.1 | 3.1 | 2.1 | 1.0 | 1.0 |
| 1.5 | 40 | 22.5 | 9.7 | 9.8 | 7.1 | 2.9 | 3.1 | 2.3 | 0.9 | 0.9 |
| 1.5 | 42 | 22.0 | 9.3 | 9.4 | 6.9 | 2.9 | 2.9 | 2.2 | 0.8 | 0.9 |
| 1.5 | 44 | 21.3 | 8.8 | 9.0 | 6.8 | 2.6 | 2.7 | 2.1 | 0.7 | 0.9 |
| 1.5 | 46 | 20.7 | 8.3 | 8.5 | 6.5 | 2.5 | 2.5 | 2.1 | 0.8 | 0.7 |
| 2 | 34 | 25.2 | 11.4 | 11.4 | 8.0 | 3.5 | 3.5 | 2.6 | 1.0 | 1.2 |
| 2 | 36 | 25.1 | 11.3 | 11.3 | 8.1 | 3.5 | 3.5 | 2.3 | 1.0 | 1.1 |
| 2 | 38 | 24.7 | 10.9 | 11.1 | 7.4 | 3.4 | 3.4 | 2.4 | 1.0 | 1.1 |
| 2 | 40 | 24.5 | 10.5 | 10.6 | 7.6 | 3.3 | 3.2 | 2.3 | 1.1 | 1.0 |
| 2 | 42 | 24.2 | 10.2 | 10.2 | 7.6 | 3.0 | 3.1 | 2.2 | 0.9 | 1.1 |
| 2 | 44 | 23.2 | 9.7 | 9.9 | 7.2 | 2.9 | 3.0 | 2.3 | 0.9 | 0.9 |
| 2 | 46 | 22.6 | 9.3 | 9.4 | 7.1 | 2.8 | 2.8 | 2.1 | 0.9 | 0.9 |
| 0.5 | 34 | 18.2 | 10.9 | 10.9 | 5.7 | 3.6 | 3.6 | 1.7 | 1.2 | 1.1 |
| 0.5 | 36 | 17.6 | 10.4 | 10.3 | 5.6 | 3.2 | 3.2 | 1.5 | 1.0 | 1.0 |
| 0.5 | 38 | 16.8 | 9.4 | 9.5 | 5.5 | 2.9 | 3.0 | 1.7 | 0.8 | 0.9 |
| 0.5 | 40 | 15.9 | 8.7 | 8.6 | 4.9 | 2.7 | 2.7 | 1.4 | 0.8 | 0.9 |
| 0.5 | 42 | 14.7 | 7.7 | 7.7 | 4.8 | 2.4 | 2.3 | 1.3 | 0.8 | 0.8 |
| 0.5 | 44 | 13.4 | 6.7 | 6.7 | 4.4 | 2.1 | 2.1 | 1.4 | 0.6 | 0.7 |
| 0.5 | 46 | 12.2 | 5.9 | 5.8 | 3.9 | 1.8 | 1.9 | 1.4 | 0.6 | 0.6 |
| 1 | 34 | 21.6 | 11.5 | 11.2 | 6.6 | 3.4 | 3.7 | 2.3 | 1.1 | 1.1 |
| 1 | 36 | 21.2 | 10.9 | 10.8 | 6.6 | 3.3 | 3.5 | 2.0 | 0.9 | 0.9 |
| 1 | 38 | 21.1 | 10.2 | 10.1 | 6.6 | 3.2 | 3.1 | 2.2 | 0.9 | 0.8 |
| 1 | 40 | 20.4 | 9.5 | 9.3 | 6.4 | 3.0 | 2.9 | 1.8 | 1.0 | 1.0 |
| 1 | 42 | 19.4 | 8.7 | 8.6 | 6.3 | 2.7 | 2.8 | 1.8 | 0.7 | 0.8 |
| 1 | 44 | 18.3 | 8.0 | 8.0 | 6.0 | 2.5 | 2.6 | 1.9 | 0.8 | 0.8 |
| 1 | 46 | 17.4 | 7.3 | 7.3 | 5.6 | 2.3 | 2.3 | 1.8 | 0.7 | 0.7 |
| 1.5 | 34 | 23.6 | 11.6 | 11.2 | 7.8 | 3.7 | 3.7 | 2.2 | 1.1 | 1.0 |
| 1.5 | 36 | 23.6 | 11.2 | 10.8 | 7.8 | 3.3 | 3.3 | 2.2 | 1.1 | 1.0 |
| 1.5 | 38 | 23.1 | 10.5 | 10.4 | 7.6 | 3.2 | 3.3 | 2.1 | 1.0 | 0.9 |
| 1.5 | 40 | 22.5 | 9.9 | 9.7 | 7.1 | 3.1 | 3.1 | 2.3 | 1.0 | 0.9 |
| 1.5 | 42 | 22.0 | 9.5 | 9.4 | 6.9 | 2.9 | 2.9 | 2.2 | 1.0 | 0.9 |
| 1.5 | 44 | 21.3 | 8.9 | 8.9 | 6.8 | 2.6 | 2.7 | 2.1 | 1.0 | 0.8 |
| 1.5 | 46 | 20.7 | 8.5 | 8.3 | 6.5 | 2.6 | 2.6 | 2.1 | 0.9 | 0.8 |
| 2 | 34 | 25.2 | 11.6 | 11.3 | 8.0 | 3.6 | 3.7 | 2.6 | 1.0 | 1.1 |
| 2 | 36 | 25.1 | 11.2 | 11.0 | 8.1 | 3.4 | 3.4 | 2.3 | 1.2 | 1.1 |
| 2 | 38 | 24.7 | 11.0 | 10.7 | 7.4 | 3.5 | 3.4 | 2.4 | 1.2 | 1.1 |
| 2 | 40 | 24.5 | 10.5 | 10.5 | 7.6 | 3.3 | 3.2 | 2.3 | 1.0 | 0.9 |
| 2 | 42 | 24.2 | 10.1 | 10.2 | 7.6 | 3.1 | 3.2 | 2.2 | 0.9 | 1.0 |
| 2 | 44 | 23.2 | 9.8 | 10.1 | 7.2 | 3.1 | 2.9 | 2.3 | 0.8 | 1.0 |
| 2 | 46 | 22.6 | 9.5 | 9.5 | 7.1 | 3.0 | 2.7 | 2.1 | 0.9 | 0.9 |
| 0.5 | 34 | 0.98 | 1.52 | 0.90 | 1.43 | 0.81 | 0.95 |
| 0.5 | 36 | 1.12 | 1.56 | 1.05 | 1.42 | 0.99 | 1.05 |
| 0.5 | 38 | 1.28 | 1.64 | 1.13 | 1.63 | 0.94 | 1.39 |
| 0.5 | 40 | 1.43 | 1.73 | 1.22 | 1.55 | 0.86 | 1.10 |
| 0.5 | 42 | 1.61 | 1.85 | 1.39 | 1.64 | 1.29 | 1.29 |
| 0.5 | 44 | 1.71 | 1.98 | 1.63 | 2.13 | 1.18 | 2.10 |
| 0.5 | 46 | 1.72 | 2.13 | 1.71 | 2.13 | 2.03 | 2.34 |
| 1 | 34 | 0.89 | 1.48 | 0.94 | 1.30 | 1.50 | 1.33 |
| 1 | 36 | 1.03 | 1.59 | 0.97 | 1.34 | 0.80 | 1.21 |
| 1 | 38 | 1.15 | 1.63 | 1.05 | 1.36 | 1.18 | 1.41 |
| 1 | 40 | 1.25 | 1.68 | 1.15 | 1.57 | 0.77 | 1.13 |
| 1 | 42 | 1.32 | 1.76 | 1.17 | 1.66 | 0.94 | 1.33 |
| 1 | 44 | 1.40 | 1.83 | 1.49 | 1.69 | 1.55 | 1.83 |
| 1 | 46 | 1.40 | 1.94 | 1.46 | 1.83 | 1.41 | 1.72 |
| 1.5 | 34 | 0.87 | 1.43 | 1.09 | 1.42 | 0.97 | 1.09 |
| 1.5 | 36 | 0.95 | 1.53 | 1.16 | 1.46 | 0.89 | 0.94 |
| 1.5 | 38 | 1.00 | 1.58 | 1.17 | 1.49 | 0.86 | 0.99 |
| 1.5 | 40 | 1.07 | 1.61 | 1.12 | 1.31 | 1.23 | 1.44 |
| 1.5 | 42 | 1.14 | 1.67 | 1.13 | 1.48 | 1.24 | 1.33 |
| 1.5 | 44 | 1.19 | 1.72 | 1.25 | 1.56 | 1.58 | 1.29 |
| 1.5 | 46 | 1.19 | 1.79 | 1.37 | 1.69 | 1.39 | 1.98 |
| 2 | 34 | 0.88 | 1.46 | 1.01 | 1.34 | 1.36 | 1.06 |
| 2 | 36 | 0.93 | 1.48 | 1.04 | 1.35 | 1.13 | 0.94 |
| 2 | 38 | 0.96 | 1.50 | 0.99 | 1.27 | 1.17 | 1.29 |
| 2 | 40 | 1.02 | 1.59 | 1.06 | 1.44 | 0.88 | 1.31 |
| 2 | 42 | 1.08 | 1.64 | 1.26 | 1.55 | 1.27 | 1.08 |
| 2 | 44 | 1.12 | 1.68 | 1.16 | 1.44 | 1.39 | 1.46 |
| 2 | 46 | 1.07 | 1.75 | 1.27 | 1.63 | 1.31 | 1.40 |
| 0.5 | 34 | 0.98 | 0.93 | 0.65 | 0.66 | 0.35 | 0.53 |
| 0.5 | 36 | 0.99 | 0.97 | 0.78 | 0.81 | 0.54 | 0.57 |
| 0.5 | 38 | 1.05 | 1.04 | 0.88 | 0.91 | 0.96 | 0.92 |
| 0.5 | 40 | 1.05 | 1.11 | 0.77 | 0.86 | 0.65 | 0.48 |
| 0.5 | 42 | 1.12 | 1.22 | 0.96 | 1.13 | 0.66 | 0.69 |
| 0.5 | 44 | 1.16 | 1.33 | 1.05 | 1.20 | 0.99 | 0.94 |
| 0.5 | 46 | 1.14 | 1.45 | 1.08 | 1.16 | 1.22 | 1.18 |
| 1 | 34 | 1.00 | 1.25 | 0.84 | 0.88 | 1.01 | 1.02 |
| 1 | 36 | 1.04 | 1.30 | 0.91 | 0.95 | 1.22 | 1.17 |
| 1 | 38 | 1.11 | 1.41 | 0.96 | 1.18 | 1.05 | 1.62 |
| 1 | 40 | 1.13 | 1.52 | 0.97 | 1.25 | 0.73 | 0.80 |
| 1 | 42 | 1.19 | 1.63 | 1.22 | 1.37 | 1.33 | 1.10 |
| 1 | 44 | 1.25 | 1.68 | 1.17 | 1.44 | 1.24 | 1.24 |
| 1 | 46 | 1.25 | 1.81 | 1.20 | 1.60 | 1.23 | 1.61 |
| 1.5 | 34 | 0.95 | 1.42 | 0.99 | 1.16 | 0.84 | 1.21 |
| 1.5 | 36 | 0.96 | 1.49 | 1.18 | 1.46 | 1.00 | 1.12 |
| 1.5 | 38 | 1.01 | 1.55 | 1.19 | 1.33 | 0.96 | 1.25 |
| 1.5 | 40 | 1.07 | 1.65 | 1.01 | 1.36 | 1.06 | 1.47 |
| 1.5 | 42 | 1.12 | 1.68 | 1.11 | 1.48 | 0.90 | 1.43 |
| 1.5 | 44 | 1.17 | 1.75 | 1.28 | 1.60 | 0.92 | 1.57 |
| 1.5 | 46 | 1.15 | 1.88 | 1.23 | 1.60 | 1.22 | 1.42 |
| 2 | 34 | 0.93 | 1.48 | 0.93 | 1.20 | 1.62 | 1.27 |
| 2 | 36 | 0.96 | 1.54 | 1.09 | 1.38 | 0.64 | 0.96 |
| 2 | 38 | 0.97 | 1.58 | 0.96 | 1.25 | 0.93 | 1.06 |
| 2 | 40 | 1.03 | 1.61 | 1.09 | 1.41 | 1.02 | 1.48 |
| 2 | 42 | 1.08 | 1.65 | 1.17 | 1.47 | 1.33 | 1.29 |
| 2 | 44 | 1.10 | 1.63 | 1.14 | 1.54 | 1.67 | 1.38 |
| 2 | 46 | 1.04 | 1.70 | 1.19 | 1.67 | 1.29 | 1.29 |
| 1 | |
| 2 | |
| 3 | Note that Boire et al. (2021) show that this approach is not appropriate when importance sampling is combined with other variance reduction techniques. In this situation the variance is no longer convex in the change of drift and alternative methods like, e.g., a grid search is required. |
| 4 | Since there is no closed-form solution to the price of an American option, we use a very precise approximation of the price from a Cox et al. (1979) binomial tree with a large number of time steps as the benchmark. |
| 5 | Such a decomposition is easily computed with, for example, a Cholesky factorization. |
| 6 | They also present a more general framework for importance sampling in the Heath et al. (1990) model. |
| 7 | We thank one of the reviewers for suggesting this extension. |
References
- Black, Fischer, and Myron Scholes. 1973. The pricing of options and corporate liabilities. Journal of Political Economy 81: 637. [Google Scholar] [CrossRef] [Green Version]
- Boire, François-Michel, R. Mark Reesor, and Lars Stentoft. 2021. Efficient Variance Reduction with Least-Squares Monte Carlo Pricing. Available online: https://papers.ssrn.com/sol3/papers.cfm?abstract_id=3795621 (accessed on 21 June 2021).
- Boyle, Phelim, Mark Broadie, and Paul Glasserman. 1997. Monte Carlo methods for security pricing. Journal of Economic Dynamics and Control 21: 1267. [Google Scholar] [CrossRef]
- Cox, John C., Jonathan E. Ingersoll, and Stephen A. Ross. 1977. A theory of the term structure of interest rates and the valuation of interest-dependent claims. Journal of Financial and Quantitative Analysis 12: 661. [Google Scholar] [CrossRef]
- Cox, John C., Stephen A. Ross, and Mark Rubinstein. 1979. Option pricing: A simplified approach. Journal of Financial Economics 7: 229. [Google Scholar] [CrossRef]
- Glasserman, Paul. 2013. Monte Carlo Methods in Financial Engineering. Berlin/Heidelberg: Springer Science & Business Media, vol. 53. [Google Scholar]
- Glasserman, Paul, Philip Heidelberger, and Perwez Shahabuddin. 1999. Asymptotically optimal importance sampling and stratification for pricing path-dependent options. Mathematical Finance 9: 117. [Google Scholar] [CrossRef] [Green Version]
- Heath, David, Robert Jarrow, and Andrew Morton. 1990. Bond pricing and the term structure of interest rates: A discrete time approximation. Journal of Financial and Quantitative Analysis 25: 419. [Google Scholar] [CrossRef]
- Hull, John, and Alan White. 1987. The pricing of options on assets with stochastic volatilities. The Journal of Finance 42: 281. [Google Scholar] [CrossRef]
- Kan, Kin Hung, and R. Mark Reesor. 2012. Bias reduction for pricing American options by least-squares monte carlo. Applied Mathematical Finance 19: 195. [Google Scholar] [CrossRef]
- Lemieux, Christiane, and Jennie La. 2005. A study of variance reduction techniques for American option pricing. Paper presented at the Winter Simulation Conference, Orlando, FL, USA, December 5; p. 8. [Google Scholar]
- Létourneau, Pascal, and Lars Stentoft. 2019. Bootstrapping the early exercise boundary in the least-squares monte carlo method. Journal of Risk and Financial Management 12: 190. [Google Scholar] [CrossRef] [Green Version]
- Longstaff, Francis A., and Eduardo S. Schwartz. 2001. Valuing Aamerican options by simulation: A simple least-squares approach. The Review of Financial Studies 14: 113. [Google Scholar] [CrossRef] [Green Version]
- Morales, Manuel. 2006. Implementing Importance Sampling in the Least-Squares Monte Carlo Approach for American Options. Working Paper. Montreal, QC, Canada: University of Montreal. [Google Scholar]
- Moreni, Nicola. 2003. Pricing American Options: A Variance Reduction Technique for the Longstaff-Schwartz Algorithm. Research Report 2003-256. Marne la Vallée: CERMICS. [Google Scholar]
- Moreni, Nicola. 2004. A variance reduction technique for American option pricing. Physica A: Statistical Mechanics and Its Applications 338: 292. [Google Scholar] [CrossRef]
- Rasmussen, Nicki S. 2005. Control variates for monte carlo valuation of American options. Journal of Computational Finance 9: 83. [Google Scholar] [CrossRef]
- Su, Yi, and Michael C. Fu. 2000. Importance sampling in derivative securities pricing. Paper presented at the 2000 Winter Simulation Conference Proceedings (Cat. No. 00CH37165), Orlando, FL, USA, December 10–13; vol. 1, p. 587. [Google Scholar]
- Whitehead, Tyson, R. Mark Reesor, and Matt Davison. 2012. A bias-reduction technique for monte carlo pricing of early-exercise options. Journal of Computational Finance 15: 33. [Google Scholar] [CrossRef] [Green Version]









Publisher’s Note: MDPI stays neutral with regard to jurisdictional claims in published maps and institutional affiliations. |
© 2021 by the authors. Licensee MDPI, Basel, Switzerland. This article is an open access article distributed under the terms and conditions of the Creative Commons Attribution (CC BY) license (https://creativecommons.org/licenses/by/4.0/).
Share and Cite
Boire, F.-M.; Reesor, R.M.; Stentoft, L. American Option Pricing with Importance Sampling and Shifted Regressions. J. Risk Financial Manag. 2021, 14, 340. https://doi.org/10.3390/jrfm14080340
Boire F-M, Reesor RM, Stentoft L. American Option Pricing with Importance Sampling and Shifted Regressions. Journal of Risk and Financial Management. 2021; 14(8):340. https://doi.org/10.3390/jrfm14080340
Chicago/Turabian StyleBoire, Francois-Michel, R. Mark Reesor, and Lars Stentoft. 2021. "American Option Pricing with Importance Sampling and Shifted Regressions" Journal of Risk and Financial Management 14, no. 8: 340. https://doi.org/10.3390/jrfm14080340
APA StyleBoire, F.-M., Reesor, R. M., & Stentoft, L. (2021). American Option Pricing with Importance Sampling and Shifted Regressions. Journal of Risk and Financial Management, 14(8), 340. https://doi.org/10.3390/jrfm14080340

