Outcomes and Predictors of Recurrence and Survival in Surgically Resected Localized Chromophobe Renal Cell Carcinoma: Results from the Canadian Kidney Cancer Information System (CKCis)
Simple Summary
Abstract
1. Introduction
2. Methods
2.1. Study Design
2.2. Outcomes
2.3. Statistical Analysis
3. Results
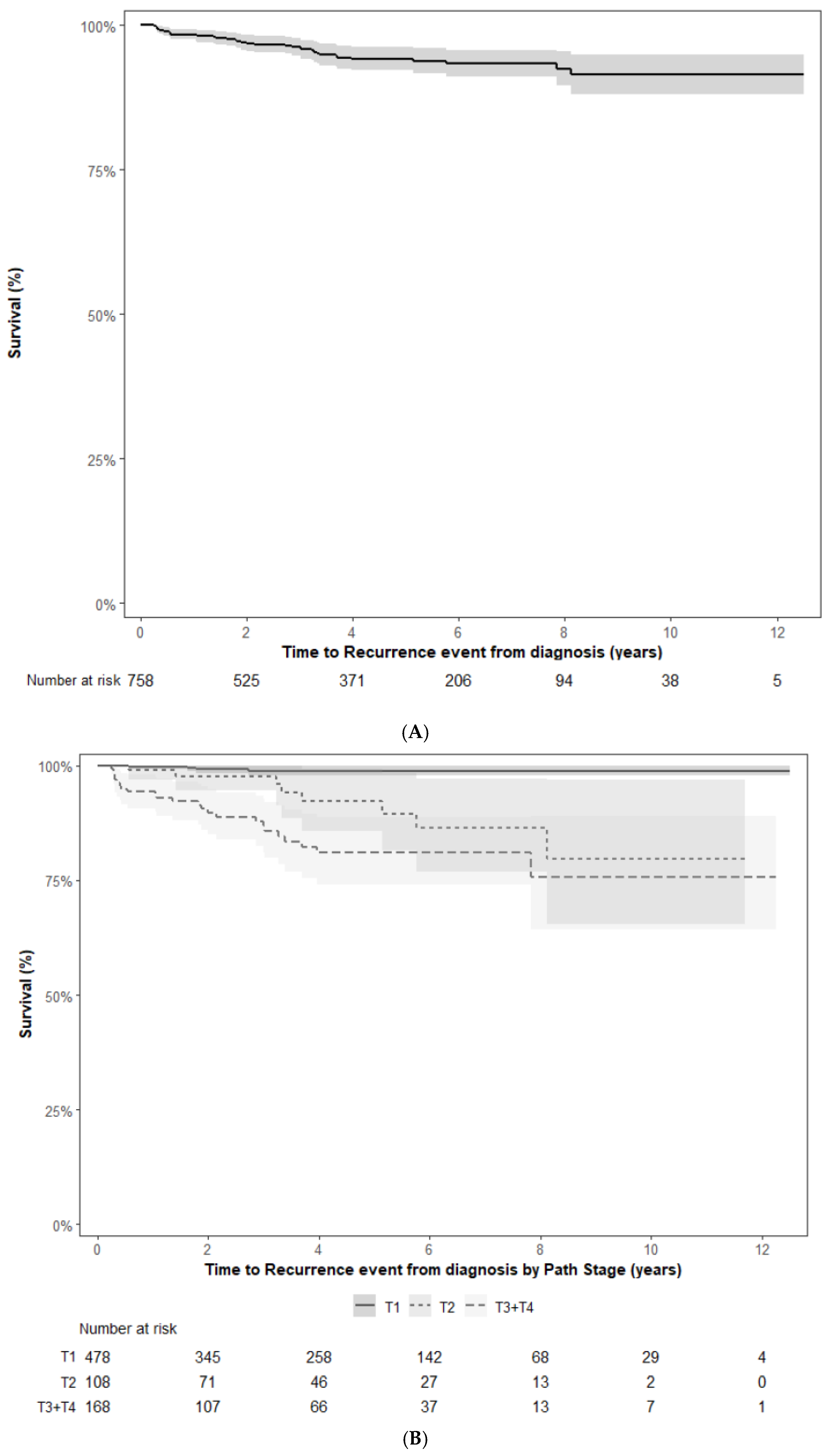
3.1. Recurrence
3.2. Predictors of Recurrence
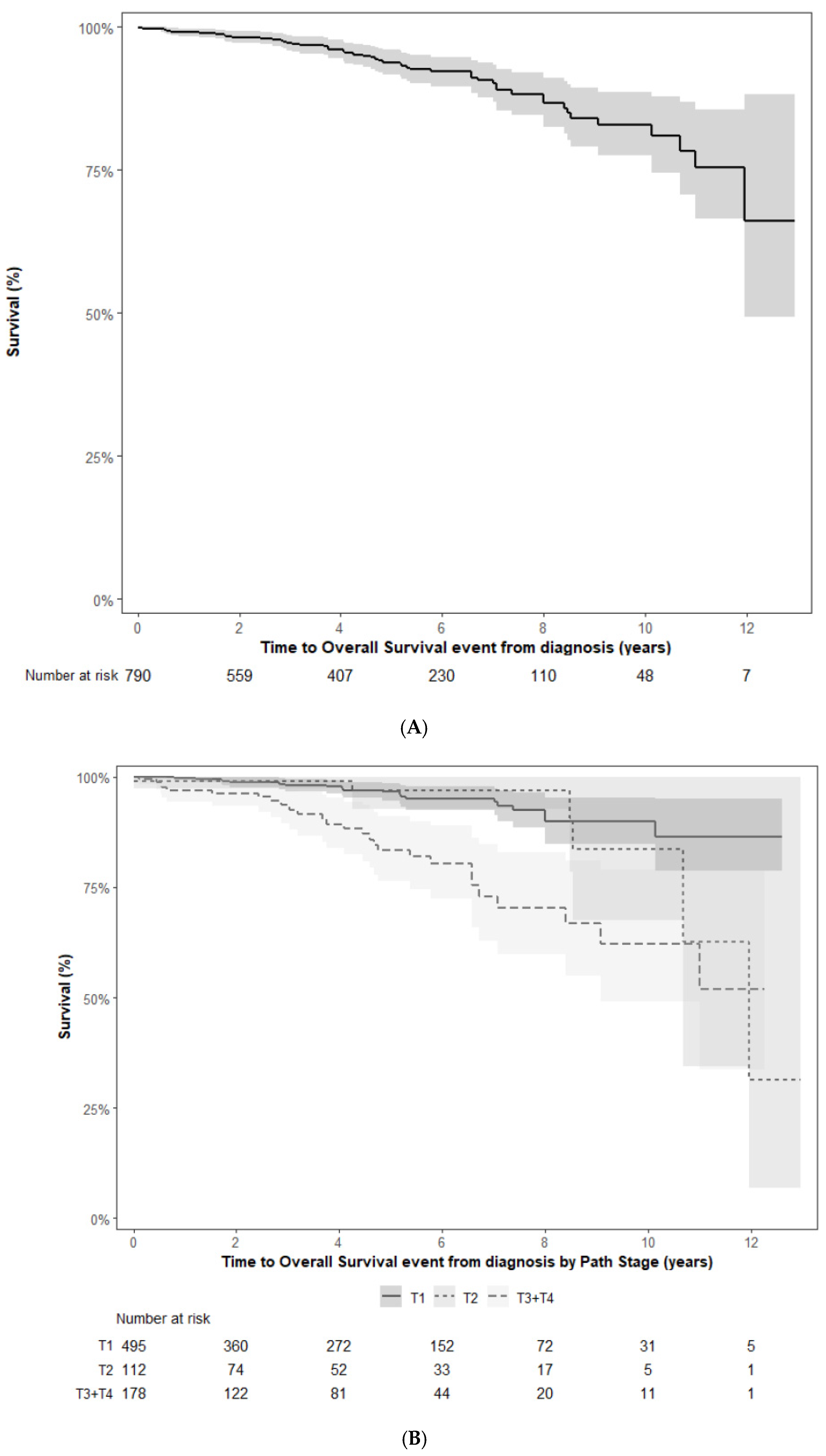
3.3. Survival
3.4. Predictors of Overall Survival
4. Discussion
5. Conclusions
Author Contributions
Funding
Institutional Review Board Statement
Informed Consent Statement
Data Availability Statement
Acknowledgments
Conflicts of Interest
References
- Atkins, M.B.; El Bakouny, Z.; Choueiri, T.K. UpToDate. Epidemiology, Pathology, and Pathogenesis of Renal Cell Carcinoma. Available online: https://www.uptodate.com/contents/epidemiology-pathology-and-pathogenesis-of-renal-cell-carcinoma (accessed on 19 August 2025).
- Roldan-Romero, J.M.; Santos, M.; Lanillos, J.; Caleiras, E.; Anguera, G.; Maroto, P.; Garcia-Donas, J.; de Velasco, G.; Martinez-Montes, A.M.; Calsina, B.; et al. Molecular characterization of chromophobe renal cell carcinoma reveals mTOR pathway alterations in patients with poor outcome. Mod. Pathol. 2020, 33, 2580–2590. [Google Scholar] [CrossRef] [PubMed]
- An, J.; Packiam, V.T.; Chennamadhavuni, A.; Richards, J.; Jain, J.; Mott, S.L.; Garje, R. Patient Characteristics and Survival Outcomes of Non-Metastatic, Non-Clear Cell Renal Cell Carcinoma. Front. Oncol. 2021, 11, 786307. [Google Scholar] [CrossRef] [PubMed]
- Neves, J.B.; Vanaclocha Saiz, L.; Abu-Ghanem, Y.; Marchetti, M.; Tran-Dang, M.A.; El-Sheikh, S.; Barod, R.; Beisland, C.; Capitanio, U.; Cullen, D.; et al. Pattern, timing and predictors of recurrence after surgical resection of chromophobe renal cell carcinoma. World J. Urol. 2021, 39, 3823–3831. [Google Scholar] [CrossRef] [PubMed]
- Rosiello, G.; Larcher, A.; Fallara, G.; Giancristofaro, C.; Martini, A.; Re, C.; Cei, F.; Musso, G.; Tian, Z.; Karakiewicz, P.I.; et al. Head-to-head comparison of all the prognostic models recommended by the European Association of Urology Guidelines to predict oncologic outcomes in patients with renal cell carcinoma. Urol. Oncol. 2022, 40, 271.e19–271.e27. [Google Scholar] [CrossRef]
- Xie, Y.; Ma, X.; Li, H.; Gao, Y.; Gu, L.; Chen, L.; Zhang, X. Prognostic Value of Clinical and Pathological Features in Chinese Patients with Chromophobe Renal Cell Carcinoma: A 10-Year Single-Center Study. J. Cancer 2017, 8, 3474–3479. [Google Scholar] [CrossRef]
- Bigot, P.; Bernhard, J.C.; Flamand, V.; Gill, I.; Verhoest, G.; Beauval, J.B.; Nouhaud, F.X.; Suer, E.; Ploussard, G.; Hetet, J.F.; et al. Localized chromophobe carcinomas treated by nephron-sparing surgery have excellent oncologic outcomes. Urol. Oncol. 2017, 35, 35.e15–35.e19. [Google Scholar] [CrossRef]
- Nguyen, D.P.; Vertosick, E.A.; Corradi, R.B.; Vilaseca, A.; Benfante, N.E.; Touijer, K.A.; Sjoberg, D.D.; Russo, P. Histological subtype of renal cell carcinoma significantly affects survival in the era of partial nephrectomy. Urol. Oncol. 2016, 34, 259.e1–259.e8. [Google Scholar] [CrossRef]
- Tajzler, C.; Tanguay, S.; Mallick, R.; Ahrens, B.; Ly, T.L.; Breau, R.H.; Basappa, N.S.; Kapoor, A.; Heng, D.Y.C.; Pouliot, F.; et al. Determining generalizability of the Canadian Kidney Cancer information system (CKCis) to the entire Canadian kidney cancer population. Can. Urol. Assoc. J. 2020, 14, e499–e506. [Google Scholar] [CrossRef]
- Kassouf, W.; Monteiro, L.L.; Drachenberg, D.E.; Fairey, A.S.; Finelli, A.; Kapoor, A.; Lattouf, J.B.; Leveridge, M.J.; Power, N.E.; Pouliot, F.; et al. Canadian Urological Association guideline for followup of patients after treatment of non-metastatic renal cell carcinoma. Can. Urol. Assoc. J. 2018, 12, 231–238. [Google Scholar] [CrossRef]
- Cindolo, L.; Patard, J.J.; Chiodini, P.; Schips, L.; Ficarra, V.; Tostain, J.; de La Taille, A.; Altieri, V.; Lobel, B.; Zigeuner, R.E.; et al. Comparison of predictive accuracy of four prognostic models for nonmetastatic renal cell carcinoma after nephrectomy: A multicenter European study. Cancer 2005, 104, 1362–1371. [Google Scholar] [CrossRef]
- Marko, J.; Craig, R.; Nguyen, A.; Udager, A.M.; Wolfman, D.J. Chromophobe Renal Cell Carcinoma with Radiologic-Pathologic Correlation. Radiographics 2021, 41, 1408–1419. [Google Scholar] [CrossRef]
- Casuscelli, J.; Becerra, M.F.; Seier, K.; Manley, B.J.; Benfante, N.; Redzematovic, A.; Stief, C.G.; Hsieh, J.J.; Tickoo, S.K.; Reuter, V.E.; et al. Chromophobe Renal Cell Carcinoma: Results from a Large Single-Institution Series. Clin. Genitourin. Cancer 2019, 17, 373–379.e4. [Google Scholar] [CrossRef] [PubMed]
- Karakiewicz, P.I.; Suardi, N.; Capitanio, U.; Jeldres, C.; Ficarra, V.; Cindolo, L.; de la Taille, A.; Tostain, J.; Mulders, P.F.; Bensalah, K.; et al. A preoperative prognostic model for patients treated with nephrectomy for renal cell carcinoma. Eur. Urol. 2009, 55, 287–295. [Google Scholar] [CrossRef] [PubMed]
- Yaycioglu, O.; Roberts, W.W.; Chan, T.; Epstein, J.I.; Marshall, F.F.; Kavoussi, L.R. Prognostic assessment of nonmetastatic renal cell carcinoma: A clinically based model. Urology 2001, 58, 141–145. [Google Scholar] [CrossRef] [PubMed]
- Cindolo, L.; de la Taille, A.; Messina, G.; Romis, L.; Abbou, C.C.; Altieri, V.; Rodriguez, A.; Patard, J.J. A preoperative clinical prognostic model for non-metastatic renal cell carcinoma. BJU Int. 2003, 92, 901–905. [Google Scholar] [CrossRef]
- Sorbellini, M.; Kattan, M.W.; Snyder, M.E.; Reuter, V.; Motzer, R.; Goetzl, M.; McKiernan, J.; Russo, P. A postoperative prognostic nomogram predicting recurrence for patients with conventional clear cell renal cell carcinoma. J. Urol. 2005, 173, 48–51. [Google Scholar] [CrossRef]
- Kattan, M.W.; Reuter, V.; Motzer, R.J.; Katz, J.; Russo, P. A postoperative prognostic nomogram for renal cell carcinoma. J. Urol. 2001, 166, 63–67. [Google Scholar] [CrossRef]
- Zisman, A.; Pantuck, A.J.; Dorey, F.; Said, J.W.; Shvarts, O.; Quintana, D.; Gitlitz, B.J.; deKernion, J.B.; Figlin, R.A.; Belldegrun, A.S. Improved prognostication of renal cell carcinoma using an integrated staging system. J. Clin. Oncol. 2001, 19, 1649–1657. [Google Scholar] [CrossRef]
- Frank, I.; Blute, M.L.; Cheville, J.C.; Lohse, C.M.; Weaver, A.L.; Zincke, H. An outcome prediction model for patients with clear cell renal cell carcinoma treated with radical nephrectomy based on tumor stage, size, grade and necrosis: The SSIGN score. J. Urol. 2002, 168, 2395–2400. [Google Scholar] [CrossRef]
- Leibovich, B.C.; Blute, M.L.; Cheville, J.C.; Lohse, C.M.; Frank, I.; Kwon, E.D.; Weaver, A.L.; Parker, A.S.; Zincke, H. Prediction of progression after radical nephrectomy for patients with clear cell renal cell carcinoma: A stratification tool for prospective clinical trials. Cancer 2003, 97, 1663–1671. [Google Scholar] [CrossRef]
- Correa, A.F.; Jegede, O.A.; Haas, N.B.; Flaherty, K.T.; Pins, M.R.; Adeniran, A.; Messing, E.M.; Manola, J.; Wood, C.G.; Kane, C.J.; et al. Predicting Disease Recurrence, Early Progression, and Overall Survival Following Surgical Resection for High-risk Localized and Locally Advanced Renal Cell Carcinoma. Eur. Urol. 2021, 80, 20–31. [Google Scholar] [CrossRef]
- Volpe, A.; Novara, G.; Antonelli, A.; Bertini, R.; Billia, M.; Carmignani, G.; Cunico, S.C.; Longo, N.; Martignoni, G.; Minervini, A.; et al. Chromophobe renal cell carcinoma (RCC): Oncological outcomes and prognostic factors in a large multicentre series. BJU Int. 2012, 110, 76–83. [Google Scholar] [CrossRef] [PubMed]
- de Peralta-Venturina, M.; Moch, H.; Amin, M.; Tamboli, P.; Hailemariam, S.; Mihatsch, M.; Javidan, J.; Stricker, H.; Ro, J.Y.; Amin, M.B. Sarcomatoid differentiation in renal cell carcinoma: A study of 101 cases. Am. J. Surg. Pathol. 2001, 25, 275–284. [Google Scholar] [CrossRef] [PubMed]
- Sengupta, S.; Lohse, C.M.; Leibovich, B.C.; Frank, I.; Thompson, R.H.; Webster, W.S.; Zincke, H.; Blute, M.L.; Cheville, J.C.; Kwon, E.D. Histologic coagulative tumor necrosis as a prognostic indicator of renal cell carcinoma aggressiveness. Cancer 2005, 104, 511–520. [Google Scholar] [CrossRef] [PubMed]
- Peyromaure, M.; Misrai, V.; Thiounn, N.; Vieillefond, A.; Zerbib, M.; Flam, T.A.; Debré, B. Chromophobe renal cell carcinoma. Cancer 2004, 100, 1406–1410. [Google Scholar] [CrossRef]
- Campbell, S.C.; Clark, P.E.; Chang, S.S.; Karam, J.A.; Souter, L.; Uzzo, R.G. Renal Mass and Localized Renal Cancer: Evaluation, Management, and Follow-Up: AUA Guideline: Part I. J. Urol. 2021, 206, 199–208. [Google Scholar] [CrossRef]
- Campbell, S.C.; Uzzo, R.G.; Karam, J.A.; Chang, S.S.; Clark, P.E.; Souter, L. Renal Mass and Localized Renal Cancer: Evaluation, Management, and Follow-up: AUA Guideline: Part II. J. Urol. 2021, 206, 209–218. [Google Scholar] [CrossRef]
- National Comprehensive Cancer Network. NCCN Guidelines for Patients: Kidney Cancer. Available online: https://www.nccn.org/patientresources/patient-resources/guidelines-for-patients/guidelines-for-patients-details?patientGuidelineId=17 (accessed on 28 January 2026).
- Bex, A.; Albiges, L.; Bedke, J.; Capitanio, U.; Dabestani, S.; Hora, M.; Klatte, T.; Kuusk, T.; Lund, L.; Marconi, l.; et al. European Association of Urology Guidelines on Renal Cell Carcinoma. Edn. Presented at the EAU Congress, Madrid, Spain 2025. EAU Guidelines Office, Arnhem, the Netherlands. Available online: https://uroweb.org/guidelines/renal-cell-carcinoma/chapter/followup-in-rcc (accessed on 15 January 2026).
- Lam, J.S.; Shvarts, O.; Leppert, J.T.; Pantuck, A.J.; Figlin, R.A.; Belldegrun, A.S. Postoperative surveillance protocol for patients with localized and locally advanced renal cell carcinoma based on a validated prognostic nomogram and risk group stratification system. J. Urol. 2005, 174, 466–472, discussion 472; quiz 801. [Google Scholar] [CrossRef]
- Larroquette, M.; Peyraud, F.; Domblides, C.; Lefort, F.; Bernhard, J.C.; Ravaud, A.; Gross-Goupil, M. Adjuvant therapy in renal cell carcinoma: Current knowledges and future perspectives. Cancer Treat. Rev. 2021, 97, 102207. [Google Scholar] [CrossRef]
- Haas, N.B.; Manola, J.; Uzzo, R.G.; Flaherty, K.T.; Wood, C.G.; Kane, C.; Jewett, M.; Dutcher, J.P.; Atkins, M.B.; Pins, M.; et al. Adjuvant sunitinib or sorafenib for high-risk, non-metastatic renal-cell carcinoma (ECOG-ACRIN E2805): A double-blind, placebo-controlled, randomised, phase 3 trial. Lancet 2016, 387, 2008–2016. [Google Scholar] [CrossRef]
- Gulati, S.; Tangen, C.; Ryan, C.W.; Vaishampayan, U.N.; Shuch, B.M.; Barata, P.C.; Pruthi, D.K.; Bergerot, C.D.; Tripathi, A.; Lerner, S.P.; et al. Adjuvant Everolimus in Non-Clear Cell Renal Cell Carcinoma: A Secondary Analysis of a Randomized Clinical Trial. JAMA Netw. Open 2024, 7, e2425288. [Google Scholar] [CrossRef]
- Choueiri, T.K.; Tomczak, P.; Park, S.H.; Venugopal, B.; Ferguson, T.; Chang, Y.H.; Hajek, J.; Symeonides, S.N.; Lee, J.L.; Sarwar, N.; et al. Adjuvant Pembrolizumab after Nephrectomy in Renal-Cell Carcinoma. N. Engl. J. Med. 2021, 385, 683–694. [Google Scholar] [CrossRef]
- Larkin, J.; Powles, T.B.; Frangou, E.; Stewart, G.D.; Albiges, L.; Davis, I.D.; Stockler, M.R.; Rodriguez, C.S.; Venugopal, B.; Nathan, P.; et al. LBA93 First results from RAMPART: An international phase III randomised-controlled trial of adjuvant durvalumab monotherapy or combined with tremelimumab for resected primary renal cell carcinoma (RCC) led by MRC CTU at UCL. Ann. Oncol. 2025, 36, S1750. [Google Scholar] [CrossRef]



| n = 790 | |
|---|---|
| Age at Diagnosis, Years, Mean and SD | 57.8 (12.9) |
| Sex, n (%) | |
| Male | 454 (57.5) |
| Female | 336 (42.5) |
| Imaging Size, Mean (Range in cm) | 5.7 (0.7–30) |
| CCI, n (%) | (n = 742) * |
| 2 | 130 (17.5) |
| 3–4 | 353 (47.6) |
| ≥5 | 259 (34.9) |
| Clinical T Stage, n (%) | (n = 752) # |
| cT1 | 528 (70.2) |
| cT2 | 155 (20.6) |
| cT3 | 66 (8.8) |
| cT4 | 3 (0.4) |
| Clinical N Stage, n (%) | (n = 753) ^ |
| N1 | 15 (2.0) |
| Pathological Stage, n (%) | (n = 785) ! |
| pT1 | 495 (63.1) |
| pT2 | 112 (14.3) |
| pT3 | 175 (22.3) |
| pT4 | 3 (0.4) |
| pN1 | 8 (1.0) |
| Pathological Findings, n (%) | |
| Necrosis | 155 (20.1) ** |
| Sarcomatoid Features | 12 (1.6) ## |
| Positive Margins | 58 (7.7) ^^ |
| Hazard Ratio for RFS (95% CI) | p-Value | Hazard Ratio for OS (95% CI) | p-Value | |
|---|---|---|---|---|
| Increase in Pathological Size (cm) | 1.03 (0.94–1.14) | 0.5 | 1.12 (1.01–1.24) | 0.040 |
| pT2 vs. pT1 | 5.36 (1.12–25.60) | 0.035 | 0.94 (0.29–3.01) | 0.92 |
| pT3/T4 vs. pT1 | 12.20 (2.66–56.07) | 0.0013 | 3.14 (1.58–6.23) | 0.0011 |
| Presence of Necrosis | 3.69 (1.65–8.23) | 0.0014 | 0.98 (0.49–1.97) | 0.96 |
| Presence of Sarcomatoid | 7.08 (1.94–25.77) | 0.003 | 2.93 (0.62–13.83) | 0.17 |
| Presence of Positive Margin | 4.21 (1.79–9.88) | 0.001 | 2.01 (0.71–5.73) | 0.19 |
| Increase in Age by 1 year | 1.09 (1.04–1.15) | 0.0001 | ||
| Increase in CCI by 1 point | 1.16 (0.99–1.35) | 0.061 |
Disclaimer/Publisher’s Note: The statements, opinions and data contained in all publications are solely those of the individual author(s) and contributor(s) and not of MDPI and/or the editor(s). MDPI and/or the editor(s) disclaim responsibility for any injury to people or property resulting from any ideas, methods, instructions or products referred to in the content. |
© 2026 by the authors. Licensee MDPI, Basel, Switzerland. This article is an open access article distributed under the terms and conditions of the Creative Commons Attribution (CC BY) license.
Share and Cite
Arenovich, E.; Breau, R.; Rendon, R.; Mallick, R.; Tanguay, S.; Pouliot, F.; Lavallee, L.; Feifer, A.; Finelli, A.; Bansal, R.; et al. Outcomes and Predictors of Recurrence and Survival in Surgically Resected Localized Chromophobe Renal Cell Carcinoma: Results from the Canadian Kidney Cancer Information System (CKCis). Curr. Oncol. 2026, 33, 175. https://doi.org/10.3390/curroncol33030175
Arenovich E, Breau R, Rendon R, Mallick R, Tanguay S, Pouliot F, Lavallee L, Feifer A, Finelli A, Bansal R, et al. Outcomes and Predictors of Recurrence and Survival in Surgically Resected Localized Chromophobe Renal Cell Carcinoma: Results from the Canadian Kidney Cancer Information System (CKCis). Current Oncology. 2026; 33(3):175. https://doi.org/10.3390/curroncol33030175
Chicago/Turabian StyleArenovich, Erica, Rodney Breau, Ricardo Rendon, Ranjeeta Mallick, Simon Tanguay, Frederic Pouliot, Luke Lavallee, Andrew Feifer, Antonio Finelli, Rahul Bansal, and et al. 2026. "Outcomes and Predictors of Recurrence and Survival in Surgically Resected Localized Chromophobe Renal Cell Carcinoma: Results from the Canadian Kidney Cancer Information System (CKCis)" Current Oncology 33, no. 3: 175. https://doi.org/10.3390/curroncol33030175
APA StyleArenovich, E., Breau, R., Rendon, R., Mallick, R., Tanguay, S., Pouliot, F., Lavallee, L., Feifer, A., Finelli, A., Bansal, R., Lattouf, J.-B., Mannas, M., Bhindi, B., Nayak, J. G., Basappa, N., Heng, D. Y. C., Lalani, A.-K. A., Bjarnason, G., & Wood, L. (2026). Outcomes and Predictors of Recurrence and Survival in Surgically Resected Localized Chromophobe Renal Cell Carcinoma: Results from the Canadian Kidney Cancer Information System (CKCis). Current Oncology, 33(3), 175. https://doi.org/10.3390/curroncol33030175

