Bridging Perspectives: How Canadian Patients and Caregivers View Quality of Life in Multiple Myeloma Compared to Validated Instruments
Simple Summary
Abstract
1. Introduction
2. Methods
2.1. Study Design and Population
2.2. Data Collection
2.3. PRO Measures
2.4. CRO Measures
2.5. Data Analysis
3. Results
3.1. Demographics and Disease Characteristics
3.2. PRO Results
3.3. CRO Results
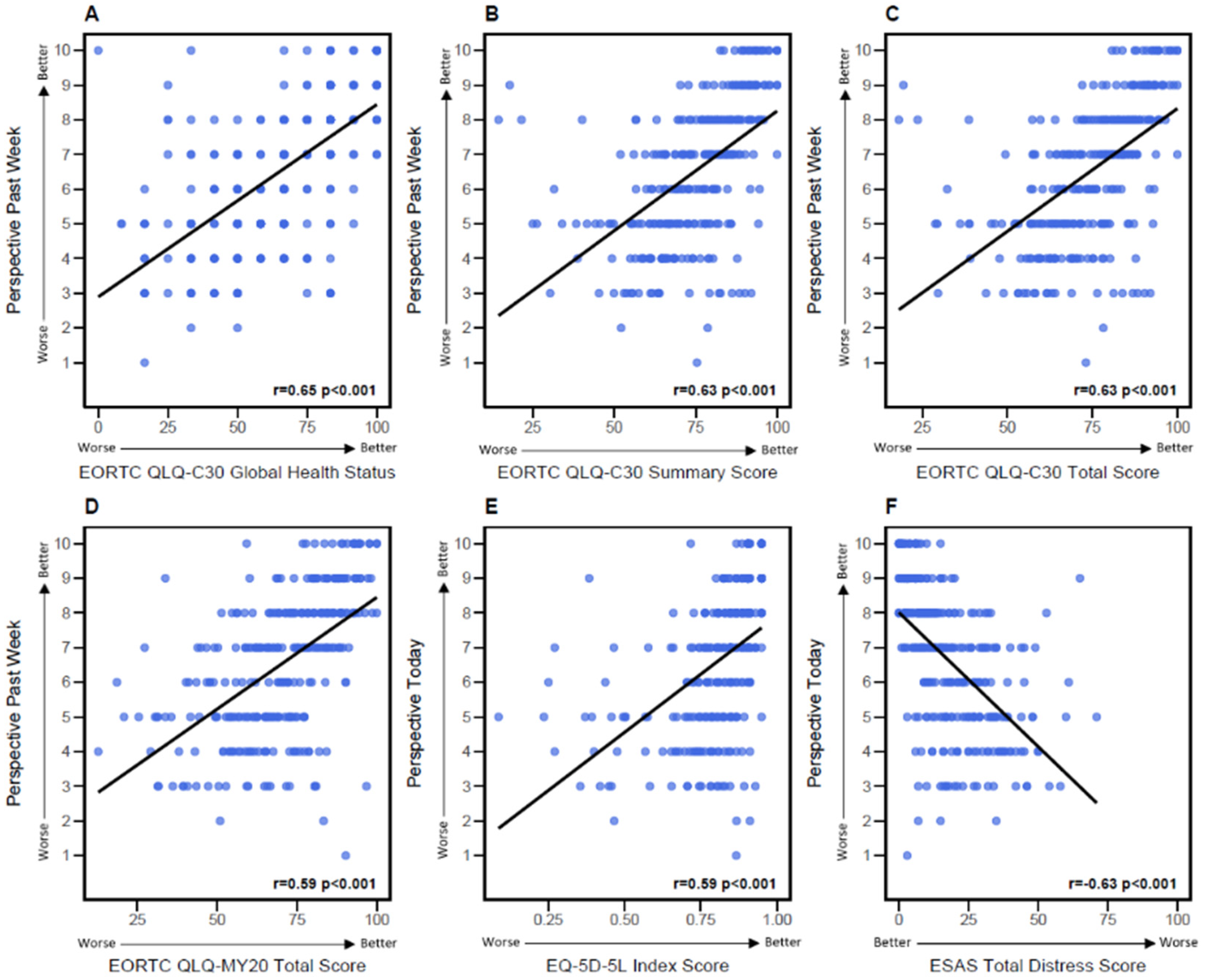
4. Correlation Results
4.1. Patients
4.2. Caregivers
4.3. Qualitative Analysis Results
5. Discussion
6. Conclusions
Supplementary Materials
Author Contributions
Funding
Institutional Review Board Statement
Informed Consent Statement
Data Availability Statement
Acknowledgments
Conflicts of Interest
References
- van de Donk, N.W.C.J.; Pawlyn, C.; Yong, K.L. Multiple myeloma. Lancet 2021, 397, 410–427. [Google Scholar] [CrossRef] [PubMed]
- Myeloma Canada. Myeloma Canada, Making Myeloma Matter. Available online: https://myeloma.ca/ (accessed on 10 May 2025).
- Tsang, M.; Le, M.; Ghazawi, F.M.; Cyr, J.; Alakel, A.; Rahme, E.; Lagacé, F.; Netchiporouk, E.; Moreau, L.; Zubarev, A.; et al. Multiple myeloma epidemiology and patient geographic distribution in Canada: A population study. Cancer 2019, 125, 2435–2444. [Google Scholar] [CrossRef] [PubMed]
- Canadian Cancer Society. GoC. Canadian Cancer Statistics 2025. Available online: http://cancer.ca/Canadian-Cancer-Statistics-2025-EN (accessed on 16 December 2025).
- Canadian Cancer Society. What Is Multiple Myeloma? Available online: https://cancer.ca/en/cancer-information/cancer-types/multiple-myeloma/what-is-multiple-myeloma (accessed on 18 September 2023).
- Centers for Disease Control and Prevention. Myeloma. Available online: https://www.cdc.gov/myeloma/about/?CDC_AAref_Val=https://www.cdc.gov/cancer/myeloma/index.htm (accessed on 10 May 2025).
- Canadian Cancer Society. Symptoms of Multiple Myeloma. Available online: https://cancer.ca/en/cancer-information/cancer-types/multiple-myeloma/signs-and-symptoms (accessed on 18 September 2023).
- Canadian Cancer Society. Treatments for Multiple Myeloma. Available online: https://cancer.ca/en/cancer-information/cancer-types/multiple-myeloma/treatment (accessed on 18 September 2023).
- Efficace, F.; Cottone, F.; Sparano, F.; Caocci, G.; Vignetti, M.; Chakraborty, R. Patient-Reported Outcomes in Randomized Controlled Trials of Patients with Multiple Myeloma: A Systematic Literature Review of Studies Published Between 2014 and 2021. Clin. Lymphoma Myeloma Leuk. 2022, 22, 442–459. [Google Scholar] [CrossRef] [PubMed]
- Johnsen, A.T.; Tholstrup, D.; Petersen, M.A.; Pedersen, L.; Groenvold, M. Health related quality of life in a nationally representative sample of haematological patients. Eur. J. Haematol. 2009, 83, 139–148. [Google Scholar] [CrossRef]
- Molassiotis, A.; Wilson, B.; Blair, S.; Howe, T.; Cavet, J. Unmet supportive care needs, psychological well-being and quality of life in patients living with multiple myeloma and their partners. Psycho-Oncology 2011, 20, 88–97. [Google Scholar] [CrossRef]
- O’Donnell, E.K.; Shapiro, Y.N.; Yee, A.J.; Nadeem, O.; Laubach, J.P.; Branagan, A.R.; Anderson, K.C.; Mo, C.C.; Munshi, N.C.; Ghobrial, I.M.; et al. Quality of life, psychological distress, and prognostic perceptions in caregivers of patients with multiple myeloma. Blood Adv. 2022, 6, 4967–4974. [Google Scholar] [CrossRef]
- Kirkpatrick, S.; Campbell, K.; Harding, S. A survey of quality-of-life tools used in the routine care of patients with multiple myeloma. Br. J. Nurs. 2023, 32, S10–S14. [Google Scholar] [CrossRef]
- Fonseca, R.; Tran, D.; Laidlaw, A.; Rosta, E.; Rai, M.; Duran, J.; Ammann, E.M. Impact of Disease Progression, Line of Therapy, and Response on Health-Related Quality of Life in Multiple Myeloma: A Systematic Literature Review. Clin. Lymphoma Myeloma Leuk. 2023, 23, 426–437.e11. [Google Scholar] [CrossRef]
- Bristogiannis, S.; Lwin, Y.; Lecat, C.S.; Sowter, J.; McCourt, O.; Dowling, E.; Correia, N.; Rabin, N.K.; Xu, K.; Sive, J.; et al. Survey of the Relevance of Quality of Life (QoL) Questionnaires (QoLQs) Currently Used to Evaluate Multiple Myeloma (MM) Patients’ Qol in Real-World MM Patients and Healthcare Professionals (HCPs). Blood 2022, 140, 12506–12507. [Google Scholar] [CrossRef]
- Fernandes, L.L.; Zhou, J.; Kanapuru, B.; Horodniceanu, E.; Gwise, T.; Kluetz, P.G.; Bhatnagar, V. Review of patient-reported outcomes in multiple myeloma registrational trials: Highlighting areas for improvement. Blood Cancer J. 2021, 11, 148. [Google Scholar] [CrossRef]
- Wang, T.; Lu, Q.; Tang, L. Assessment tools for patient-reported outcomes in multiple myeloma. Support. Care Cancer 2023, 31, 431. [Google Scholar] [CrossRef] [PubMed]
- Fayers, P.M.A.N.; Bjordal, K.; Groenvold, M.; Curran, D.; Bottomley, A.; on behalf of the EORTC Quality of Life Group. The EORTC QLQ-C30 Scoring Manual (3rd Edition). European Organisation for Research and Treatment of Cancer. Updated 2018. Available online: https://www.eortc.org/app/uploads/sites/2/2018/02/SCmanual.pdf (accessed on 25 September 2023).
- EORTC Quality of Life. Multiple Myeloma (Update of MY20). Available online: https://qol.eortc.org/questionnaire/multiple-myeloma-update-of-my20/ (accessed on 25 September 2023).
- Janssen, M.F.; Pickard, A.S.; Golicki, D.; Gudex, C.; Niewada, M.; Scalone, L.; Swinburn, P.; Busschbach, J. Measurement properties of the EQ-5D-5L compared to the EQ-5D-3L across eight patient groups: A multi-country study. Qual. Life Res. 2013, 22, 1717–1727. [Google Scholar] [CrossRef] [PubMed]
- Reenen, M.V. EQ-5D-5L User Guide—Basic Information on How to Use the EQ-5D-5L Instrument. Available online: http://www.euroqol.org/fileadmin/user_upload/Documenten/PDF/Folders_Flyers/EQ-5D-5L_UserGuide_2015.pdf (accessed on 25 September 2023).
- Xie, F.; Pullenayegum, E.; Gaebel, K.; Bansback, N.; Bryan, S.; Ohinmaa, A.; Poissant, L.; Johnson, J.A.; on behalf of the Canadian EQ-5D-5L Valuation Study Group. A time trade-off-derived value set of the EQ-5D-5L for Canada. Med. Care 2016, 54, 98–105. [Google Scholar] [CrossRef] [PubMed]
- Alberta Health Services (AHS). Edmonton Symptom Assessment System—Revised (ESAS-r)—Administration Manual; Alberta Health Services (AHS): Edmonton, AB, Canada, 2019. [Google Scholar]
- Hui, D.; Bruera, E. The Edmonton Symptom Assessment System 25 Years Later: Past, Present, and Future Developments. J. Pain Symptom Manag. 2017, 53, 630–643. [Google Scholar] [CrossRef]
- Minaya, P.; Baumstarck, K.; Berbis, J.; Goncalves, A.; Barlesi, F.; Michel, G.; Salas, S.; Chinot, O.; Grob, J.-J.; Seitz, J.F. The CareGiver Oncology Quality of Life questionnaire (CarGOQoL): Development and validation of an instrument to measure the quality of life of the caregivers of patients with cancer. Eur. J. Cancer 2012, 48, 904–911. [Google Scholar] [CrossRef]
- Dcipher Analytics. Dcipher Studio. Available online: https://www.dcipheranalytics.com/products/dcipher-studio (accessed on 10 May 2025).
- Lyall, M.; Crawford, R.; Bell, T.; Mamolo, C.; Neuhof, A.; Levy, C.; Heyes, A. Characterizing the Patient Journey in Multiple Myeloma: Qualitative Review. JMIR Cancer 2022, 8, e39068. [Google Scholar] [CrossRef]
- Manivannan, M.; Karunanithi, G.; Lakshminarayanan, S. Correlation between Quality of Life and Burden in Caregivers of Advanced Stage Cancer Patients on Best Supportive Care. Indian J. Palliat. Care 2023, 29, 89–93. [Google Scholar] [CrossRef] [PubMed] [PubMed Central]
- Zaleta, A.K.; Miller, M.F.; Olson, J.S.; Yuen, E.Y.N.; LeBlanc, T.W.; Cole, C.E.; McManus, S.; Buzaglo, J.S. Symptom Burden, Perceived Control, and Quality of Life Among Patients Living With Multiple Myeloma. J. Natl. Compr. Cancer Netw. 2020, 18, 1087–1095. [Google Scholar] [CrossRef] [PubMed]
- Mortensen, G.; Salomo, M. Quality of Life in Patients with Multiple Myeloma: A Qualitative Study. J. Cancer Sci. Ther. 2016, 8, 12. [Google Scholar] [CrossRef]
- Proskorovsky, I.; Lewis, P.; Williams, C.D.; Jordan, K.; Kyriakou, C.; Ishak, J.; Davies, F.E. Mapping EORTC QLQ-C30 and QLQ-MY20 to EQ-5D in patients with multiple myeloma. Health Qual. Life Outcomes 2014, 12, 35. [Google Scholar] [CrossRef]
- Statistics Canada. Highest Level of Education by Census Year, Visible Minority and Generation Status: Canada, Provinces and Territories, Census Metropolitan Areas and Census Agglomerations; Table 98-10-0429-01; Statistics Canada: Ottawa, ON, Canada, 2022. [Google Scholar] [CrossRef]
- Paul-Dauphin, A.; Guillemin, F.; Virion, J.M.; Briançon, S. Bias and precision in visual analogue scales: A randomized controlled trial. Am. J. Epidemiol. 1999, 150, 1117–1127. [Google Scholar] [CrossRef]
- Ly, A.; Marsman, M.; Wagenmakers, E.-J. Analytic posteriors for Pearson’s correlation coefficient. Stat. Neerl. 2018, 72, 4–13. [Google Scholar] [CrossRef]


| Characteristics | Patients N = 305 | Caregivers N = 104 |
|---|---|---|
| Gender, n (%) | ||
| Female | 152 (49.4) | 77 (74.0) |
| Male | 152 (49.8) | 27 (26.0) |
| Prefer not to answer | 1 (0.3) | 0 (0) |
| Age, mean (SD) | 65.6 (9.0) | 61.61 (12.4) |
| Age, n (%) | ||
| <40 years | 3 (0.98) | 5 (4.8) |
| 40–49 years | 17 (5.6) | 13 (12.5) |
| 50–59 years | 47 (15.4) | 20 (19.2) |
| 60–69 years | 123 (40.3) | 39 (37.5) |
| 70–79 years | 107 (35.1) | 24 (23.1) |
| ≥80 years | 8 (2.6) | 3 (2.9) |
| Highest Education Level, n (%) | ||
| Elementary | 3 (0.98) | 1 (0.96) |
| High School | 51 (16.7) | 15 (14.4) |
| College | 60 (19.7) | 38 (36.5) |
| University | 191 (62.6) | 50 (48.1) |
| Employment Status, n (%) | ||
| Employed full-time | 39 (12.8) | 33 (31.7) |
| Employed part-time | 13 (4.3) | 5 (4.8) |
| Retired | 195 (63.9) | 49 (47.1) |
| Unemployed | 2 (0.66) | 5 (4.8) |
| Self-employed | 15 (4.9) | 9 (8.7) |
| Invalid/Sick Leave | 41 (13.4) | 3 (13.4) |
| Type of Medical Insurance, n (%) | ||
| Private | 127 (41.6) | - |
| Public | 75 (24.6) | - |
| Private and Public | 96 (31.5) | - |
| Unknown | 7 (2.3) | - |
| Province of Residence, n (%) | ||
| British Columbia | 49 (16.1) | 16 (15.4) |
| Alberta | 30 (9.8) | 9 (8.7) |
| Saskatchewan | 9 (3.0) | 5 (4.8) |
| Manitoba | 9 (3.0) | 5 (4.8) |
| Ontario | 121 (39.7) | 43 (41.4) |
| Quebec | 68 (22.3) | 19 (18.3) |
| Other provinces & territories a | 19 (6.2) | 6 (6.7) |
| Comorbidities, n (%) | ||
| No | 107 (35.1) | - |
| Unknown | 3 (0.98) | - |
| Yes b | 195 (63.9) | - |
| High Blood Pressure | 69 (34.8) | - |
| Cancer | 45 (22.7) | - |
| Osteoarthritis, Degenerative Arthritis | 41 (20.7 | - |
| Heart disease | 36 (18.2) | - |
| Anxiety | 29 (14.6) | - |
| Depression | 27 (13.6) | - |
| Kidney disease | 25 (12.6) | - |
| Diabetes | 24 (12.1) | - |
| Anemia | 19 (9.6) | - |
| Lung disease | 15 (7.6) | - |
| Stomach disease | 11 (5.6) | - |
| Other c | 42 (21.5) | - |
| Number of years since diagnosis, n (%) | ||
| <1 year | 42 (13.8) | - |
| Between ≥1 and <3 years | 101 (33.1) | - |
| Between ≥3 and <5 years | 69 (22.6) | - |
| ≥5 years | 93 (30.5) | - |
| Myeloma Setting, n (%) | ||
| Relapse | 83 (27.2) | - |
| No relapse | 206 (67.5) | - |
| Unknown | 16 (5.3) | - |
| Currently treated for myeloma, n (%) | 268 (87.9) | - |
| Presence of a Caregiver, n (%) | 240 (78.7) | - |
| Number of years since being a caregiver, n (%) | ||
| <1 year | - | 24 (23.1) |
| Between ≥1 and <3 years | - | 33 (31.7) |
| Between ≥3 and <5 years | - | 11 (10.6) |
| ≥5 years | - | 36 (34.6) |
| Caregiver Relationship with Patient, n (%) | ||
| Partner/spouse/family member | - | 102 (98.1) |
| Friend/neighbor | - | 2 (1.9) |
| Scores N = 305 | |
|---|---|
| QoL Assessed by Validated Questionnaires | |
| EORTC QLQ-C30 a | |
| Global health status, mean (SD) | 65.7 (22.1) |
| Summary score, mean (SD) | 75.1 (15.6) |
| Total score, mean (SD) | 75.0 (15.5) |
| EORTC QLQ-MY20 b | |
| Total score, mean (SD) | 70.3 (17.2) |
| EQ-5D-5L c | |
| Index value, mean (SD) | 0.80 (0.14) |
| ESAS-R d | |
| Total distress score, mean (SD) | 18.3 (14.0) |
| Patients’ Perspective e | |
| Today | |
| Mean (SD) | 6.6 (2.0) |
| Median (IQR) | 7 (5–8) |
| Past week | |
| Mean (SD) | 6.5 (2.0) |
| Median (IQR) | 7 (5–8) |
| Caregivers N = 104 | |
|---|---|
| QoL Assessed by Validated Questionnaires | |
| CarGOQoL a | |
| CarGOQoL Index, mean (SD) | 62.1 (15.1) |
| Caregivers’ Perspective b | |
| Past 4 weeks | |
| Mean (SD) | 6.1 (1.9) |
| Median (IQR) | 6 (5–7) |
| Theme | Quote |
|---|---|
| Loss of autonomy | “Pain is excruciating making hard to sleep or get comfortable anywhere. I have trouble finding words. I am losing strength in my hands which makes doing anything extremely hard. I feel guilty not being able to do things… or having my wife do more.”—P1 “I am unable to do the regular things prior to myeloma like taking long walks at a good pace, cleaning my apartment without having to sit down and rest very often, having shortness of breath after I get out of the shower for example and I would say the worst is the lack of sleep at night and having to take a nap during the day.”—P2 |
| Social Isolation Due to Immunosuppression | “No large group activities i.e. indoor sporting events, concerts, church (because of low immunity I don’t participate in anything that involves large groups). We go to restaurants at the least busy times to avoid crowds and always sit in a booth.”—P3 “I have very low immunity because of my current Multiple Myeloma treatment, therefore I am not able to join many social activities. A year ago I spent a month in the hospital with Influenza A and life-threatening pneumonia, which I had trouble fighting due to my low immunity. My lungs are still badly scarred, and I am very concerned that if I contract a virus that includes lung disease again, my lungs will not be able to get through it. My closest family members include children, teachers, and a nursing home worker. I do not see them in person over the winter unless it is outdoors at a distance.”—P4 |
| Emotional Stress | “Fear and worry of dying young and not being able to raise my child. Being a burden on my family financially, emotionally and physically. Lack of enjoyment from life, such as travelling, playing sports. Constant fear of falling ill during travel and injuries from participating in sports or recreational activities.”—P5 “A feeling of Anxiety with what my life might become.”—P6 |
| Theme | Quote |
|---|---|
| Caregiver Burden and Impact on Daily Life | “Being very tired and experiencing role conflict with school, work, and caregiving. Leaves little time for myself or other tasks related to myself. It is difficult for me to connect with others my age due to being the first person in my friend group to experience caregiving.”—C1 “Feeling guilty and limiting my time doing things on my own or with a friend. Depression is setting in, and I feel down about myself and not keeping up with my physical health ie exercising and healthy foods. Too many thoughts about the “what ifs” and being alone eventually in the future.”—C2 |
| Emotional and Physical Strain | “Caring for my mom has been extremely difficult, mentally more than physically. The thought that one day she will succumb to her disease is a thought that enters my mind multiple times a week and is very exhausting. I will sometimes hear about individuals getting married or having kids, and I have an urge to cry because I am scared my mom will not be there to experience those things with me. It is painful to watch the stress it has put on my father physically and mentally, and watch him develop stress-induced cardiac events as a result of it.”—C3 “It is stressful knowing that at any time it could turn for the worse, and as much as we can do to help him feel comfortable, there’s really nothing we can do. its stressful to not know what is going through his mind, because as much as it is hard for us I can’t imagine the stress of that knowledge on him.”—C4 |
| Social Isolation | “My wife is post ASCT and has been in the maintenance phase for 5.5 years and the only significant impact is in our risk assessment of indoor group activities. We do not participate in activities where we feel our ability to be comfortable with our/her vulnerabilities to viral infection is questionable due to such things as quantity of people, size of facility, air flows, etc.”—C5 “Unable to attend any Christmas concerts, craft fairs or gatherings (other than immediate family) because of the constant fear of contracting an infection of some kind. Even attending such events on my own doesn’t seem wise as I might bring an infection home.”—C6 |
Disclaimer/Publisher’s Note: The statements, opinions and data contained in all publications are solely those of the individual author(s) and contributor(s) and not of MDPI and/or the editor(s). MDPI and/or the editor(s) disclaim responsibility for any injury to people or property resulting from any ideas, methods, instructions or products referred to in the content. |
© 2026 by the authors. Licensee MDPI, Basel, Switzerland. This article is an open access article distributed under the terms and conditions of the Creative Commons Attribution (CC BY) license.
Share and Cite
Patenaude, J.; Légaré, A.; Dupont, F.; Colasurdo, G.; Elias, M.; Beauchemin, C.; Lachaine, J. Bridging Perspectives: How Canadian Patients and Caregivers View Quality of Life in Multiple Myeloma Compared to Validated Instruments. Curr. Oncol. 2026, 33, 174. https://doi.org/10.3390/curroncol33030174
Patenaude J, Légaré A, Dupont F, Colasurdo G, Elias M, Beauchemin C, Lachaine J. Bridging Perspectives: How Canadian Patients and Caregivers View Quality of Life in Multiple Myeloma Compared to Validated Instruments. Current Oncology. 2026; 33(3):174. https://doi.org/10.3390/curroncol33030174
Chicago/Turabian StylePatenaude, Julie, Ariane Légaré, Florence Dupont, Gabriele Colasurdo, Martine Elias, Catherine Beauchemin, and Jean Lachaine. 2026. "Bridging Perspectives: How Canadian Patients and Caregivers View Quality of Life in Multiple Myeloma Compared to Validated Instruments" Current Oncology 33, no. 3: 174. https://doi.org/10.3390/curroncol33030174
APA StylePatenaude, J., Légaré, A., Dupont, F., Colasurdo, G., Elias, M., Beauchemin, C., & Lachaine, J. (2026). Bridging Perspectives: How Canadian Patients and Caregivers View Quality of Life in Multiple Myeloma Compared to Validated Instruments. Current Oncology, 33(3), 174. https://doi.org/10.3390/curroncol33030174

