Construction and Verification of a Predictive Nomogram for Overall Survival in Patients with Large Retroperitoneal Liposarcoma: A Population-Based Cohort Study
Simple Summary
Abstract
1. Introduction
2. Materials and Methods
2.1. Patient Selection
2.2. Important Definitions
2.3. Statistical Analysis
3. Results
3.1. Clinicopathological Features and Survival Outcomes
3.2. Survival Predictive Factor Screening and Nomogram Model Establishment
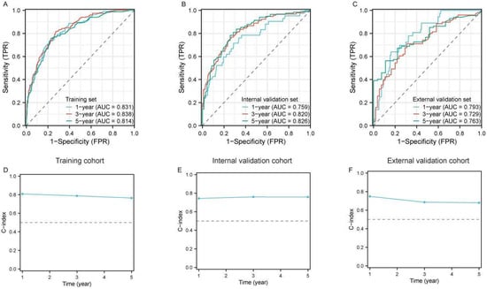
3.3. Multidimensional Validation of the Predictive Model’s Performance
3.4. Survival Analysis Based on Risk Stratification
4. Discussion
Study Limitations
5. Conclusions
Supplementary Materials
Author Contributions
Funding
Institutional Review Board Statement
Informed Consent Statement
Data Availability Statement
Acknowledgments
Conflicts of Interest
References
- Xiao, M.; Qin, D.; Li, X.; Bu, F.; Ma, S.; Chen, X.; Zhao, Y.; Luo, C.; Min, L. Prognosis-oriented molecular subtypes of retroperitoneal liposarcoma. Clin. Transl. Med. 2024, 14, e70050. [Google Scholar] [CrossRef]
- Santangelo, A.; Fernicola, A.; Santangelo, D.; Peluso, G.; Calogero, A.; Crocetto, F.; Jamshidi, A.; Pelosio, L.; Scotti, A.; Tammaro, V.; et al. Dark Topics on Giant Retroperitoneal Liposarcoma: A Systematic Review of 157 Cases. Cancers 2025, 17, 740. [Google Scholar] [CrossRef]
- Deng, H.; Xu, X.; Gao, J.; Huang, J.; Liu, G.; Song, L.; Wei, B. Predictors and outcomes of recurrent retroperitoneal liposarcoma with multiple tumors. Front. Med.-Lausanne 2023, 10, 1161494. [Google Scholar] [CrossRef]
- de Faria, F.; Khurshid, S.; Sarchet, P.; Tahara, S.; Casadei, L.; Grignol, V.; Karna, R.; Rentsch, S.; Sp, N.; Beane, J.D.; et al. Oncogenic Functions of Alternatively Spliced MDM2-ALT2 Isoform in Retroperitoneal Liposarcoma. Int. J. Mol. Sci. 2024, 25, 13516. [Google Scholar] [CrossRef]
- Tyler, R.; Wanigasooriya, K.; Taniere, P.; Almond, M.; Ford, S.; Desai, A.; Beggs, A. A review of retroperitoneal liposarcoma genomics. Cancer Treat. Rev. 2020, 86, 102013. [Google Scholar] [CrossRef]
- Trans-Atlantic, R.S.W.G. Management of metastatic retroperitoneal sarcoma: A consensus approach from the Trans-Atlantic Retroperitoneal Sarcoma Working Group (TARPSWG). Ann. Oncol. 2018, 29, 857. [Google Scholar] [CrossRef]
- Tan, M.C.B.; Brennan, M.F.; Kuk, D.; Agaram, N.P.; Antonescu, C.R.; Qin, L.; Moraco, N.; Crago, A.M.; Singer, S. Histology-based Classification Predicts Pattern of Recurrence and Improves Risk Stratification in Primary Retroperitoneal Sarcoma. Ann. Surg. 2016, 263, 593–600. [Google Scholar] [CrossRef] [PubMed]
- Fan, P.; Tao, P.; Wang, Z.; Wang, J.; Hou, Y.; Lu, W.; Ma, L.; Zhang, Y.; Tong, H. Evaluation of AJCC staging system and proposal of a novel stage grouping system in retroperitoneal liposarcoma: The Fudan Zhongshan experience. Front. Oncol. 2024, 14, 1373762. [Google Scholar] [CrossRef] [PubMed]
- Masaki, N.; Onozawa, M.; Inoue, T.; Kurobe, M.; Kawai, K.; Miyazaki, J. Clinical features of multiply recurrent retroperitoneal liposarcoma: A single-center experience. Asian J. Surg. 2021, 44, 380–385. [Google Scholar] [CrossRef] [PubMed]
- Ishii, K.; Yokoyama, Y.; Nishida, Y.; Koike, H.; Yamada, S.; Kodera, Y.; Sassa, N.; Gotoh, M.; Nagino, M. Characteristics of primary and repeated recurrent retroperitoneal liposarcoma: Outcomes after aggressive surgeries at a single institution. Jpn. J. Clin. Oncol. 2020, 50, 1412–1418. [Google Scholar] [CrossRef]
- Yu, Z.; Li, R.; Yuan, Z.; Ye, J.; He, P.; Li, P.; Sun, Y.; Zhao, X. Identification of predictors for short-term recurrence: Comprehensive analysis of 296 retroperitoneal liposarcoma cases. World J. Surg. Oncol. 2024, 22, 46. [Google Scholar] [CrossRef] [PubMed]
- Deng, H.; Gao, J.; Xu, X.; Liu, G.; Song, L.; Pan, Y.; Wei, B. Predictors and outcomes of recurrent retroperitoneal liposarcoma: New insights into its recurrence patterns. BMC Cancer 2023, 23, 1076. [Google Scholar] [CrossRef]
- Deng, H.; Cao, B.; Cui, H.; Chen, R.; Li, H.; Zhao, R.; Chen, L.; Wei, B. Clinical analysis of 5-year survival and recurrence in giant retroperitoneal liposarcoma after surgery. Chin. Med. J.-Peking 2023, 136, 373–375. [Google Scholar] [CrossRef]
- Bachmann, R.; Eckert, F.; Gelfert, D.; Strohäker, J.; Beltzer, C.; Ladurner, R. Perioperative strategy and outcome in giant retroperitoneal dedifferentiated liposarcoma—Results of a retrospective cohort study. World J. Surg. Oncol. 2020, 18, 296. [Google Scholar] [CrossRef]
- Wu, Y.; Liu, J.; Liu, J.; Yan, P.; Tang, B.; Cui, Y.; Zhao, Y.; Shi, Y.; Hao, Y.; Yu, P.; et al. A retrospective, single-center cohort study on 65 patients with primary retroperitoneal liposarcoma. Oncol. Lett. 2018, 15, 1799–1810. [Google Scholar]
- Huggett, B.D.; Cates, J. The Vanderbilt staging system for retroperitoneal sarcoma: A validation study of 6857 patients from the National Cancer Database. Mod. Pathol. 2019, 32, 539–545. [Google Scholar] [CrossRef]
- Huang, Y.; Liu, Z.; He, L.; Chen, X.; Pan, D.; Ma, Z.; Liang, C.; Tian, J.; Liang, C. Radiomics Signature: A Potential Biomarker for the Prediction of Disease-Free Survival in Early-Stage (I or II) Non-Small Cell Lung Cancer. Radiology 2016, 281, 947–957. [Google Scholar] [CrossRef]
- Yang, L.; Yang, J.; Zhou, X.; Huang, L.; Zhao, W.; Wang, T.; Zhuang, J.; Tian, J. Development of a radiomics nomogram based on the 2D and 3D CT features to predict the survival of non-small cell lung cancer patients. Eur. Radiol. 2019, 29, 2196–2206. [Google Scholar] [CrossRef]
- Herzberg, J.; Niehaus, K.; Holl-Ulrich, K.; Honarpisheh, H.; Guraya, S.Y.; Strate, T. Giant retroperitoneal liposarcoma: A case report and literature review. J. Taibah Univ. Med. Sci. 2019, 14, 466–471. [Google Scholar] [CrossRef] [PubMed]
- Gronchi, A.; Collini, P.; Miceli, R.; Valeri, B.; Renne, S.L.; Dagrada, G.; Fiore, M.; Sanfilippo, R.; Barisella, M.; Colombo, C.; et al. Myogenic differentiation and histologic grading are major prognostic determinants in retroperitoneal liposarcoma. Am. J. Surg. Pathol. 2015, 39, 383–393. [Google Scholar] [CrossRef] [PubMed]
- Tjeertes, E.K.M.; Ultee, K.H.J.; Stolker, R.J.; Verhagen, H.J.M.; Bastos Gonçalves, F.M.; Hoofwijk, A.G.M.; Hoeks, S.E. Perioperative Complications are Associated with Adverse Long-Term Prognosis and Affect the Cause of Death After General Surgery. World J. Surg. 2016, 40, 2581–2590. [Google Scholar] [CrossRef]
- Yonezawa, N.; Murakami, H.; Demura, S.; Kato, S.; Yoshioka, K.; Shinmura, K.; Yokogawa, N.; Shimizu, T.; Oku, N.; Kitagawa, R.; et al. Perioperative Complications and Prognosis of Curative Surgical Resection for Spinal Metastases in Elderly Patients. World Neurosurg. 2020, 137, e144–e151. [Google Scholar] [CrossRef]
- Beck, C.; Weber, K.; Brunner, M.; Agaimy, A.; Semrau, S.; Grützmann, R.; Schellerer, V.; Merkel, S. The influence of postoperative complications on long-term prognosis in patients with colorectal carcinoma. Int. J. Color. Dis. 2020, 35, 1055–1066. [Google Scholar] [CrossRef]
- Harimoto, N.; Shirabe, K.; Ikegami, T.; Yoshizumi, T.; Maeda, T.; Kajiyama, K.; Yamanaka, T.; Maehara, Y. Postoperative complications are predictive of poor prognosis in hepatocellular carcinoma. J. Surg. Res. 2015, 199, 470–477. [Google Scholar] [CrossRef] [PubMed]
- Bartlett, E.K.; Curtin, C.E.; Seier, K.; Qin, L.; Hameed, M.; Yoon, S.S.; Crago, A.M.; Brennan, M.F.; Singer, S. Histologic Subtype Defines the Risk and Kinetics of Recurrence and Death for Primary Extremity/Truncal Liposarcoma. Ann. Surg. 2021, 273, 1189–1196. [Google Scholar] [CrossRef] [PubMed]
- Gronchi, A.; Strauss, D.C.; Miceli, R.; Bonvalot, S.; Swallow, C.J.; Hohenberger, P.; Van Coevorden, F.; Rutkowski, P.; Callegaro, D.; Hayes, A.J.; et al. Variability in Patterns of Recurrence After Resection of Primary Retroperitoneal Sarcoma (RPS). Ann. Surg. 2016, 263, 1002–1009. [Google Scholar] [CrossRef]
- Zhuang, A.; Wu, Q.; Tong, H.; Zhang, Y.; Lu, W. Development and Validation of a Nomogram for Predicting Recurrence-Free Survival of Surgical Resected Retroperitoneal Liposarcoma. Cancer Manag. Res. 2021, 13, 6633–6639. [Google Scholar] [CrossRef] [PubMed]
- Callegaro, D.; Miceli, R.; Bonvalot, S.; Ferguson, P.; Strauss, D.C.; Levy, A.; Griffin, A.; Hayes, A.J.; Stacchiotti, S.; Pechoux, C.L.; et al. Development and external validation of two nomograms to predict overall survival and occurrence of distant metastases in adults after surgical resection of localised soft-tissue sarcomas of the extremities: A retrospective analysis. Lancet Oncol. 2016, 17, 671–680. [Google Scholar] [CrossRef]
- Nered, S.N.; Volkov, A.Y.; Kozlov, N.A.; Stilidi, I.S.; Arhiri, P.P. TNM classification of malignant tumors: Eighth edition for retroperitoneal liposarcoma. Ways to improve. Asia-Pac. J. Clin. Oncol. 2023, 19, e267–e272. [Google Scholar] [CrossRef]
- Pasquali, S.; Colombo, C.; Pizzamiglio, S.; Verderio, P.; Callegaro, D.; Stacchiotti, S.; Martin, B.J.; Lopez-Pousa, A.; Ferrari, S.; Poveda, A.; et al. High-risk soft tissue sarcomas treated with perioperative chemotherapy: Improving prognostic classification in a randomised clinical trial. Eur. J. Cancer 2018, 93, 28–36. [Google Scholar] [CrossRef]
- Bonvalot, S.; Gronchi, A.; Le Pechoux, C.; Swallow, C.J.; Strauss, D.; Meeus, P.; van Coevorden, F.; Stoldt, S.; Stoeckle, E.; Rutkowski, P.; et al. Preoperative radiotherapy plus surgery versus surgery alone for patients with primary retroperitoneal sarcoma (EORTC-62092: STRASS): A multicentre, open-label, randomised, phase 3 trial. Lancet Oncol. 2020, 21, 1366–1377. [Google Scholar] [CrossRef] [PubMed]
- Stacchiotti, S.; Van der Graaf, W.; Sanfilippo, R.G.; Marreaud, S.I.; Van Houdt, W.J.; Judson, I.R.; Gronchi, A.; Gelderblom, H.; Litiere, S.; Kasper, B. First-line chemotherapy in advanced intra-abdominal well-differentiated/dedifferentiated liposarcoma: An EORTC Soft Tissue and Bone Sarcoma Group retrospective analysis. Cancer-Am. Cancer Soc. 2022, 128, 2932–2938. [Google Scholar] [CrossRef] [PubMed]





| Characteristics | Large RLS Group | Non-Large RLS Group | p Value |
|---|---|---|---|
| 1113 | 622 | ||
| Age, median (IQR) | 63 (53, 71) | 65 (55, 73) | <0.001 |
| Tumor size, median (IQR) | 250 (200, 310) | 100 (68, 130) | <0.001 |
| Sex, n (%) | 0.065 | ||
| Female | 500 (44.9%) | 251 (40.4%) | |
| Male | 613 (55.1%) | 371 (59.6%) | |
| Income, n (%) | 0.816 | ||
| High | 505 (45.4%) | 292 (46.9%) | |
| Middle | 409 (36.7%) | 223 (35.9%) | |
| Low | 199 (17.9%) | 107 (17.2%) | |
| City, n (%) | 0.343 | ||
| Metropolitan | 997 (89.6%) | 566 (91%) | |
| Nonmetropolitan | 116 (10.4%) | 56 (9%) | |
| AJCC T stage, n (%) | <0.001 | ||
| T4 | 1113 (100%) | 0 (0%) | |
| T3 | 0 (0%) | 288 (46.3%) | |
| T1 | 0 (0%) | 110 (17.7%) | |
| T2 | 0 (0%) | 224 (36%) | |
| AJCC N stage, n (%) | 0.026 | ||
| N0 | 1094 (98.3%) | 601 (96.6%) | |
| N1 | 19 (1.7%) | 21 (3.4%) | |
| AJCC M stage, n (%) | 0.454 | ||
| M0 | 1048 (94.2%) | 591 (95%) | |
| M1 | 65 (5.8%) | 31 (5%) | |
| AJCC TNM stage, n (%) | 0.012 | ||
| III | 374 (33.6%) | 180 (28.9%) | |
| II | 68 (6.1%) | 62 (10%) | |
| I | 596 (53.5%) | 341 (54.8%) | |
| IV | 75 (6.7%) | 39 (6.3%) | |
| Radiotherapy, n (%) | 0.101 | ||
| No/Unknown | 845 (75.9%) | 450 (72.3%) | |
| Yes | 268 (24.1%) | 172 (27.7%) | |
| Chemotherapy, n (%) | 0.807 | ||
| No/Unknown | 962 (86.4%) | 535 (86%) | |
| Yes | 151 (13.6%) | 87 (14%) | |
| Occurrence pattern, n (%) | 0.014 | ||
| Non-local | 596 (53.5%) | 295 (47.4%) | |
| Local | 517 (46.5%) | 327 (52.6%) | |
| Pathological grade, n (%) | 0.009 | ||
| Undifferentiated | 205 (18.4%) | 110 (17.7%) | |
| Moderately differentiated | 75 (6.7%) | 37 (5.9%) | |
| Poorly differentiated | 185 (16.6%) | 87 (14%) | |
| Well differentiated | 491 (44.1%) | 259 (41.6%) | |
| Unknown | 157 (14.1%) | 129 (20.7%) | |
| Occurrence sequence, n (%) | <0.001 | ||
| Recurrence | 205 (18.4%) | 168 (27%) | |
| Primary | 908 (81.6%) | 454 (73%) | |
| Tumors, n (%) | 0.133 | ||
| Single | 1077 (96.8%) | 593 (95.3%) | |
| Multifocal | 36 (3.2%) | 29 (4.7%) | |
| Histology, n (%) | 0.916 | ||
| DDL | 586 (52.7%) | 338 (54.3%) | |
| WDL | 445 (40%) | 238 (38.3%) | |
| MLS | 57 (5.1%) | 32 (5.1%) | |
| PLS | 25 (2.2%) | 14 (2.3%) | |
| Surgery, n (%) | <0.001 | ||
| Total surgical | 660 (59.3%) | 267 (42.9%) | |
| partial surgical | 385 (34.6%) | 291 (46.8%) | |
| No surgery | 68 (6.1%) | 64 (10.3%) |
| Characteristics | Total (N) | Univariate Analysis | Multivariate Cox Analysis | ||
|---|---|---|---|---|---|
| Hazard Ratio (95% CI) | p Value | Hazard Ratio (95% CI) | p Value | ||
| Age | 779 | 1.041 (1.032–1.050) | <0.001 | 1.035 (1.026–1.045) | <0.001 |
| Sex | 779 | ||||
| Male | 417 | Reference | Reference | ||
| Female | 362 | 0.736 (0.600–0.902) | 0.003 | 0.852 (0.691–1.051) | 0.134 |
| TNM | 779 | ||||
| I | 422 | Reference | Reference | ||
| II | 46 | 1.828 (1.167–2.862) | 0.008 | 1.384 (0.852–2.249) | 0.189 |
| III | 259 | 2.568 (2.050–3.218) | <0.001 | 1.682 (1.233–2.295) | 0.001 |
| IV | 52 | 5.536 (3.966–7.728) | <0.001 | 2.847 (1.929–4.204) | <0.001 |
| Occurrence pattern | 779 | ||||
| Non-local | 409 | Reference | Reference | ||
| Local | 370 | 0.533 (0.433–0.656) | <0.001 | 0.729 (0.584–0.911) | 0.006 |
| Tumors | 779 | ||||
| Single | 756 | Reference | Reference | ||
| Multifocal | 23 | 0.600 (0.320–1.126) | 0.112 | 0.791 (0.419–1.494) | 0.470 |
| Histology | 779 | ||||
| WDL | 315 | Reference | Reference | ||
| MLS | 41 | 2.187 (1.432–3.341) | <0.001 | 1.942 (1.259–2.997) | 0.003 |
| PLS | 20 | 1.765 (0.952–3.271) | 0.071 | 1.277 (0.659–2.475) | 0.468 |
| DDL | 403 | 2.940 (2.344–3.687) | <0.001 | 1.858 (1.360–2.537) | <0.001 |
| Surgery | 779 | ||||
| No surgery | 50 | Reference | Reference | ||
| Partial surgical | 269 | 0.176 (0.123–0.253) | <0.001 | 0.238 (0.163–0.348) | <0.001 |
| Total surgical | 460 | 0.200 (0.142–0.280) | <0.001 | 0.210 (0.145–0.303) | <0.001 |
Disclaimer/Publisher’s Note: The statements, opinions and data contained in all publications are solely those of the individual author(s) and contributor(s) and not of MDPI and/or the editor(s). MDPI and/or the editor(s) disclaim responsibility for any injury to people or property resulting from any ideas, methods, instructions or products referred to in the content. |
© 2025 by the authors. Licensee MDPI, Basel, Switzerland. This article is an open access article distributed under the terms and conditions of the Creative Commons Attribution (CC BY) license (https://creativecommons.org/licenses/by/4.0/).
Share and Cite
Deng, H.; Lu, Z.; Wang, Y.; Xiao, L.; Pan, Y. Construction and Verification of a Predictive Nomogram for Overall Survival in Patients with Large Retroperitoneal Liposarcoma: A Population-Based Cohort Study. Curr. Oncol. 2025, 32, 473. https://doi.org/10.3390/curroncol32080473
Deng H, Lu Z, Wang Y, Xiao L, Pan Y. Construction and Verification of a Predictive Nomogram for Overall Survival in Patients with Large Retroperitoneal Liposarcoma: A Population-Based Cohort Study. Current Oncology. 2025; 32(8):473. https://doi.org/10.3390/curroncol32080473
Chicago/Turabian StyleDeng, Huan, Zhenhua Lu, Yajie Wang, Lin Xiao, and Yisheng Pan. 2025. "Construction and Verification of a Predictive Nomogram for Overall Survival in Patients with Large Retroperitoneal Liposarcoma: A Population-Based Cohort Study" Current Oncology 32, no. 8: 473. https://doi.org/10.3390/curroncol32080473
APA StyleDeng, H., Lu, Z., Wang, Y., Xiao, L., & Pan, Y. (2025). Construction and Verification of a Predictive Nomogram for Overall Survival in Patients with Large Retroperitoneal Liposarcoma: A Population-Based Cohort Study. Current Oncology, 32(8), 473. https://doi.org/10.3390/curroncol32080473
