PTEN Mutations Associated with Increased Recurrence and Decreased Survival in Patients with Prostate Cancer Spinal Metastasis
Abstract
1. Introduction
2. Methods
2.1. Study Design and Ethical Considerations
2.2. Data Extraction and Outcomes of Interest
2.3. Statistical Analysis
3. Results
3.1. Baseline Characteristics
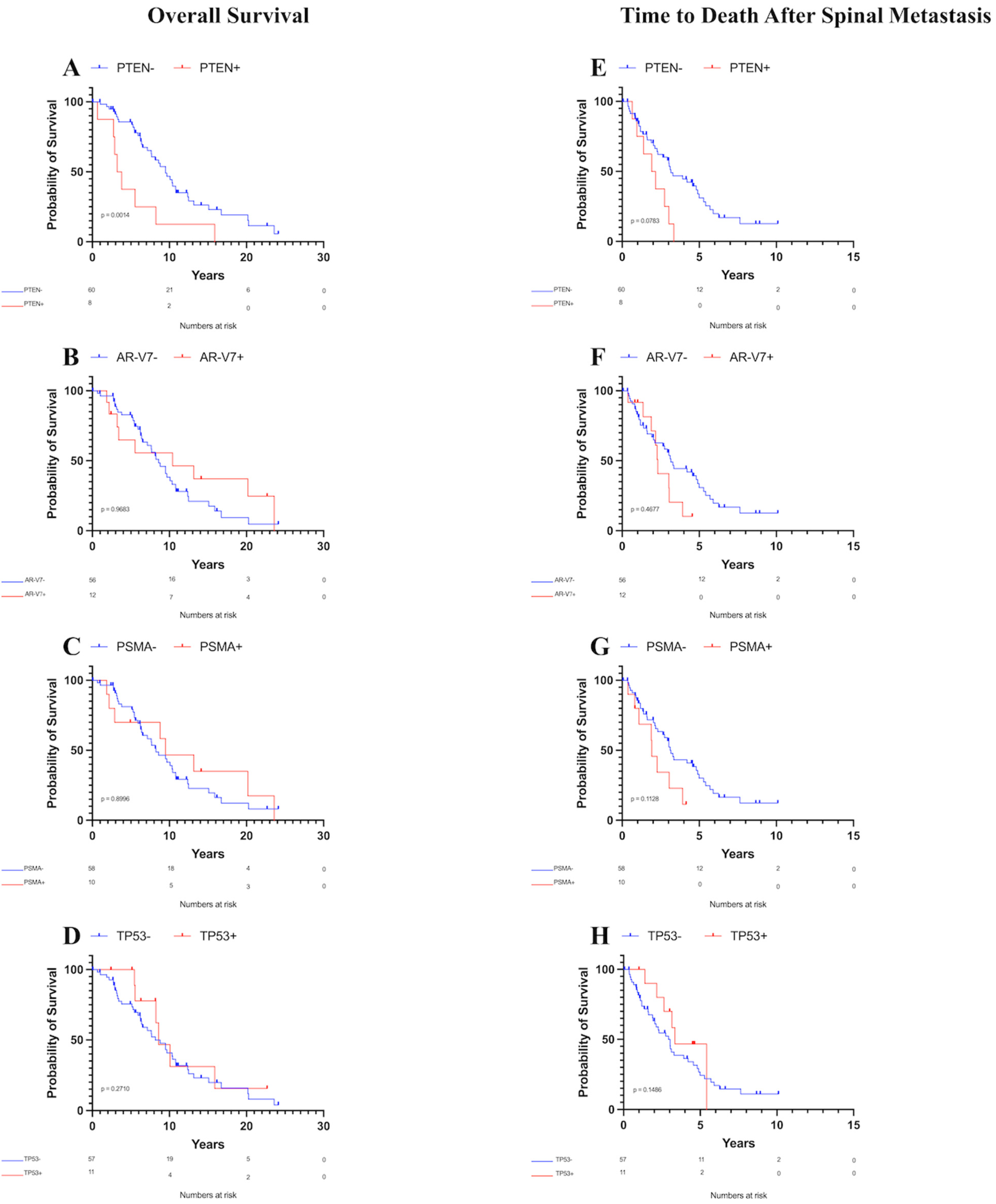
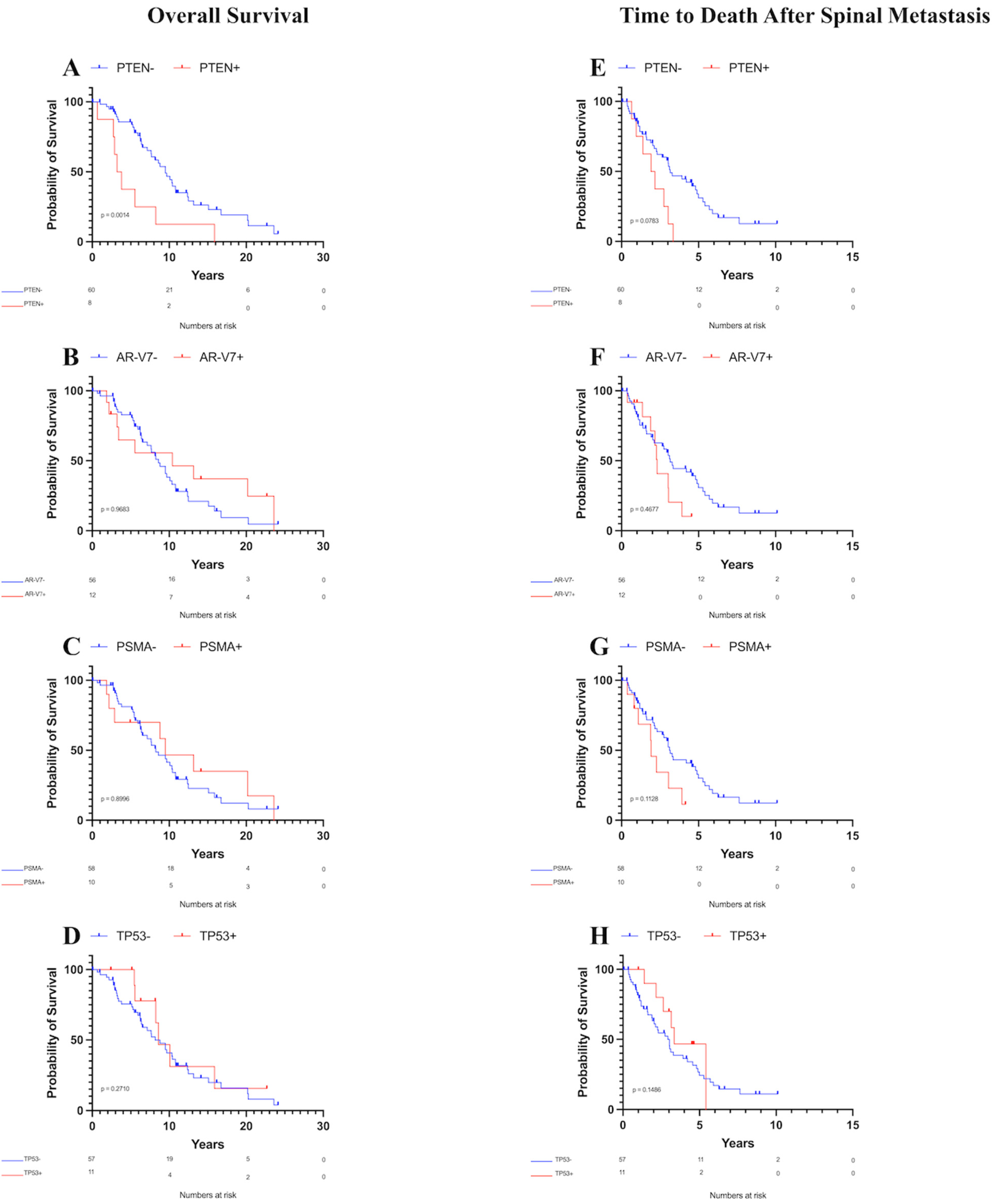
3.2. Survival Analysis
3.3. Predictive Models
4. Discussion
4.1. Biomarkers
4.2. Treatments
4.3. Demographic Factors
4.4. Limitations
5. Conclusions
Author Contributions
Funding
Institutional Review Board Statement
Informed Consent Statement
Data Availability Statement
Conflicts of Interest
Abbreviations
| PCSM | Prostate cancer with spinal metastasis |
| IRB | Institutional review board |
| RT | Radiotherapy |
| OS | Overall survival |
| IQR | Interquartile range |
| AFT | Accelerated failure time |
| TR | Time ratio |
| SE | Standard error |
| CI | Confidence interval |
| AR-V7 | Androgen receptor splice variant-7 |
| PSMA | Prostate-specific membrane antigen |
| mPC | Metastatic prostate cancer |
| mCRPC | Metastatic castration-resistant prostate cancer |
| PFS | Progression-free survival |
| mCNPC | Metastatic castration-naïve prostate cancer |
| EBRT | External beam radiation therapy |
| ADT | Androgen deprivation therapy |
| IMRT | Intensity modulated radiation therapy |
| LC-RT | Long-course radiation therapy |
| SC-RT | Short-course radiation therapy |
| SBRT | Stereotactic body radiation therapy |
| PSA | Prostate-specific antigen |
| NCCN | National Comprehensive Cancer Center Network |
References
- Leslie, S.W.; Soon-Sutton, T.L.; Sajjad, H.; Skelton, W.P. Prostate Cancer. In StatPearls; StatPearls Publishing: Treasure Island, FL, USA, 2024; Available online: http://www.ncbi.nlm.nih.gov/books/NBK470550/ (accessed on 4 March 2024).
- Kadeerhan, G.; Xue, B.; Wu, X.-L.; Chen, W.-N.; Wang, D.-W. Incidence trends and survival of metastatic prostate cancer with bone and visceral involvement: 2010-2019 surveillance, epidemiology, and end results. Front. Oncol. 2023, 13, 1201753. [Google Scholar] [CrossRef]
- Tarawneh, A.M.; Pasku, D.; Quraishi, N.A. Surgical complications and re-operation rates in spinal metastases surgery: A systematic review. Eur. Spine J. 2020, 30, 2791–2799. [Google Scholar] [CrossRef]
- Zhang, D.; Yin, H.; Wu, Z.; Yang, X.; Liu, T.; Xiao, J. Surgery and survival outcomes of 22 patients with epidural spinal cord compression caused by thyroid tumor spinal metastases. Eur. Spine J. 2012, 22, 569–576. [Google Scholar] [CrossRef]
- Alvarez-Cubero, M.J.; Arance, E.; de Santiago, E.; Sanchez, P.; Sepúlveda, M.R.; Marrero, R.; Lorente, J.A.; Gonzalez-Cabezuelo, J.M.; Cuenca-Lopez, S.; Cozar, J.M.; et al. Follow-Up Biomarkers in the Evolution of Prostate Cancer, Levels of S100A4 as a Detector in Plasma. Int. J. Mol. Sci. 2022, 24, 547. [Google Scholar] [CrossRef]
- Rebello, R.J.; Oing, C.; Knudsen, K.E.; Loeb, S.; Johnson, D.C.; Reiter, R.E.; Gillessen, S.; Van der Kwast, T.; Bristow, R.G. Prostate cancer. Nat. Rev. Dis. Prim. 2021, 7, 9. [Google Scholar] [CrossRef]
- Wang, H.; Li, S.; Liu, B.; Wei, S.; Wang, T.; Li, T.; Lin, J.; Ni, X. KIF11: A potential prognostic biomarker for predicting bone metastasis-free survival of prostate cancer. Oncol. Lett. 2022, 24, 312. [Google Scholar] [CrossRef]
- Ylitalo, E.B.; Thysell, E.; Jernberg, E.; Lundholm, M.; Crnalic, S.; Egevad, L.; Stattin, P.; Widmark, A.; Bergh, A.; Wikström, P. Subgroups of Castration-resistant Prostate Cancer Bone Metastases Defined Through an Inverse Relationship Between Androgen Receptor Activity and Immune Response. Eur. Urol. 2017, 71, 776–787. [Google Scholar] [CrossRef]
- Frankel, H.L.; OHancock, D.; Hyslop, G.; Melzak, J.; Michaelis, L.S.; Ungar, G.H.; Vernon, J.D.S.; Walsh, J.J. The value of postural reduction in the initial management of closed injuries of the spine with paraplegia and tetraplegia. Spinal Cord. 1969, 7, 179–192. [Google Scholar] [CrossRef]
- La Manna, F.; Karkampouna, S.; Zoni, E.; De Menna, M.; Hensel, J.; Thalmann, G.N.; Julio, M.K.-D. Metastases in Prostate Cancer. Cold Spring Harb. Perspect. Med. 2018, 9, a033688. [Google Scholar] [CrossRef]
- Yoshimoto, M.; Cunha, I.W.; ACoudry, R.; Fonseca, F.P.; Torres, C.H.; ASoares, F.; ASquire, J. FISH analysis of 107 prostate cancers shows that PTEN genomic deletion is associated with poor clinical outcome. Br. J. Cancer 2007, 97, 678–685. [Google Scholar] [CrossRef]
- Ferraldeschi, R.; Rodrigues, D.N.; Riisnaes, R.; Miranda, S.; Figueiredo, I.; Rescigno, P.; Ravi, P.; Pezaro, C.; Omlin, A.; Lorente, D.; et al. PTEN Protein Loss and Clinical Outcome from Castration-resistant Prostate Cancer Treated with Abiraterone Acetate. Eur. Urol. 2015, 67, 795–802. [Google Scholar] [CrossRef]
- Zhang, J.-Y.; Kong, Y.-Y.; Wang, Q.-F.; Yang, Y.-J.; Liu, Z.; Lin, N.; Ye, D.-W.; Dai, B. Prognostic value of PTEN in de novo diagnosed metastatic prostate cancer. Asian J. Androl. 2022, 24, 50–55. [Google Scholar] [CrossRef]
- Nakazawa, M.; Antonarakis, E.S.; Luo, J. Androgen Receptor Splice Variants in the Era of Enzalutamide and Abiraterone. Discov. Oncol. 2014, 5, 265–273. [Google Scholar] [CrossRef]
- Antonarakis, E.S.; Lu, C.; Wang, H.; Luber, B.; Nakazawa, M.; Roeser, J.C.; Chen, Y.; Mohammad, T.A.; Chen, Y.; Fedor, H.L.; et al. AR-V7 and Resistance to Enzalutamide and Abiraterone in Prostate Cancer. N. Engl. J. Med. 2014, 371, 1028–1038. [Google Scholar] [CrossRef]
- Sweat, S.D.; Pacelli, A.; Murphy, G.P.; Bostwick, D.G. Prostate-specific membrane antigen expression is greatest in prostate adenocarcinoma and lymph node metastases. Urology 1998, 52, 637–640. [Google Scholar] [CrossRef]
- Perner, S.; Hofer, M.D.; Kim, R.; Shah, R.B.; Li, H.; Möller, P.; Hautmann, R.E.; Gschwend, J.E.; Kuefer, R.; Rubin, M.A. Prostate-specific membrane antigen expression as a predictor of prostate cancer progression. Hum. Pathol. 2007, 38, 696–701. [Google Scholar] [CrossRef]
- Pomykala, K.L.; Czernin, J.; Grogan, T.R.; Armstrong, W.R.; Willliams, J.; Calais, J. Total-Body 68Ga-PSMA-11 PET/CT for Bone Metastasis Detection in Prostate Cancer Patients: Potential Impact on Bone Scan Guidelines. J. Nucl. Med. 2020, 61, 405–411. [Google Scholar] [CrossRef]
- Zhou, J.; Lai, Y.; Peng, S.; Tang, C.; Chen, Y.; Li, L.; Huang, H.; Guo, Z. Comprehensive analysis of TP53 and SPOP mutations and their impact on survival in metastatic prostate cancer. Front. Oncol. 2022, 12, 957404. [Google Scholar] [CrossRef]
- Mohiuddin, J.J.; Baker, B.R.; Chen, R.C. Radiotherapy for high-risk prostate cancer. Nat. Rev. Urol. 2015, 12, 145–154. [Google Scholar] [CrossRef]
- Zelefsky, M.J.; Yamada, Y.; Fuks, Z.; Zhang, Z.; Hunt, M.; Cahlon, O.; Park, J.; Shippy, A. Long-term results of conformal radiotherapy for prostate cancer: Impact of dose escala-tion on biochemical tumor control and distant metastases-free survival outcomes. Int. J. Radiat. Oncol. Biol. Phys. 2008, 71, 1028–1033. [Google Scholar] [CrossRef]
- Fischer-Valuck, B.W.; Baumann, B.C.; Apicelli, A.; Rao, Y.J.; Roach, M.; Daly, M.; Dans, M.C.; White, P.; Contreras, J.; Henke, L.; et al. Palliative radiation therapy (RT) for prostate cancer patients with bone metastases at diagnosis: A hospital-based analysis of patterns of care, RT fractionation scheme, and overall survival. Cancer Med. 2018, 7, 4240–4250. [Google Scholar] [CrossRef]
- Abugharib, A.; Zeng, K.L.; Tseng, C.L.; Soliman, H.; Myrehaug, S.; Husain, Z.; Maralani, P.J.; Larouche, J.; Cheung, P.; Emmenegger, U.; et al. Spine Stereotactic Body Radiotherapy for Prostate Cancer Metastases and the Impact of Hormone Sensitivity Status on Local Control. Neurosurgery 2022, 90, 743–749. [Google Scholar] [CrossRef]
- Venugopal, B.; Shahhat, S.; Beck, J.; Hanumanthappa, N.; Ong, A.D.; Dubey, A.; Koul, R.; Bashir, B.; Chowdhury, A.; Sivananthan, G.; et al. Factors Associated with Long-Term Prostate Cancer Survival after Palliative Radiother-apy to a Bone Metastasis and Contemporary Palliative Systemic Therapy: A Retrospective, Population-Based Study. Curr Oncol. 2023, 30, 5560–5573. [Google Scholar] [CrossRef]
- Nader, R.; El Amm, J.; Aragon-Ching, J.B. Role of chemotherapy in prostate cancer. Asian J. Androl. 2018, 20, 221–229. [Google Scholar] [CrossRef]
- Gravis, G.; Boher, J.M.; Joly, F.; Soulié, M.; Albiges, L.; Priou, F.; Latorzeff, I.; Delva, R.; Krakowski, I.; Laguerre, B.; et al. Androgen Deprivation Therapy (ADT) Plus Docetaxel Versus ADT Alone in Metastatic Non castrate Prostate Cancer: Impact of Metastatic Burden and Long-term Survival Analysis of the Randomized Phase 3 GETUG-AFU15 Trial. Eur. Urol. 2016, 70, 256–262. [Google Scholar] [CrossRef]
- Sweeney, C.J.; Chen, Y.-H.; Carducci, M.; Liu, G.; Jarrard, D.F.; Eisenberger, M.; Wong, Y.-N.; Hahn, N.; Kohli, M.; Cooney, M.M.; et al. Chemohormonal Therapy in Metastatic Hormone-Sensitive Prostate Cancer. N. Engl. J. Med. 2015, 373, 737–746. [Google Scholar] [CrossRef]
- James, N.D.; Sydes, M.R.; Clarke, N.W.; Mason, M.D.; Dearnaley, D.P.; Spears, M.R.; Ritchie, A.W.S.; Parker, C.C.; Russell, J.M.; Attard, G.; et al. Addition of docetaxel, zoledronic acid, or both to first-line long-term hormone therapy in prostate cancer (STAMPEDE): Survival results from an adaptive, multiarm, multistage, platform randomised controlled trial. Lancet 2016, 387, 1163–1177. [Google Scholar] [CrossRef]
- Mitsogiannis, I.; Tzelves, L.; Dellis, A.; Issa, H.; Papatsoris, A.; Moussa, M. Prostate cancer immunotherapy. Expert. Opin. Biol. Ther. 2022, 22, 577–590. [Google Scholar] [CrossRef]
- Kantoff, P.W.; Higano, C.S.; Shore, N.D.; Berger, E.R.; Small, E.J.; Penson, D.F.; Redfern, C.H.; Ferrari, A.C.; Dreicer, R.; Sims, R.B.; et al. Sipuleucel-T Immunotherapy for Castration-Resistant Prostate Cancer. N. Engl. J. Med. 2010, 363, 411–422. [Google Scholar] [CrossRef]
- Prostate Cancer. Version 2. **Important Practical Guidelines for PCa Treatment from the Oncologist Perspective. In NCCN Clinical Practive Guidelines in Oncology (NCCN Guidelines); NCCN: Plymouth Meeting, PA, USA, 2021.
- Hamstra, D.A.; Bae, K.; Pilepich, M.V.; Hanks, G.E.; Grignon, D.J.; McGowan, D.G.; Roach, M.; Lawton, C.; Lee, R.J.; Sandler, H. Older age predicts decreased metastasis and prostate cancer-specific death for men treated with radiation therapy: Meta-analysis of radiation therapy oncology group trials. Int. J. Radiat. Oncol. Biol. Phys. 2011, 81, 1293–1301. [Google Scholar] [CrossRef]
- Yancik, R.; Yates, J.W.; Cumberlin, R. Research recommendations for radiation therapy in older cancer patients. Report from the National Institute on Aging, National Cancer Institute, and American College of Radiology Workshop: Radiation therapy and cancer in older persons. Int. J. Radiat. Oncol. Biol. Phys. 1999, 43, 3–5. [Google Scholar] [CrossRef] [PubMed]
- Foerster, B.; Pozo, C.; Abufaraj, M.; Mari, A.; Kimura, S.; D’Andrea, D.; John, H.; Shariat, S.F. Association of Smoking Status With Recurrence, Metastasis, and Mortality Among Pa-tients With Localized Prostate Cancer Undergoing Prostatectomy or Radiotherapy: A Systematic Review and Meta-analysis. JAMA Oncol. 2018, 4, 953–961. [Google Scholar] [CrossRef] [PubMed]
- Kenfield, S.A.; Stampfer, M.J.; Chan, J.M.; Giovannucci, E. Smoking and prostate cancer survival and recurrence. JAMA 2011, 305, 2548–2555. [Google Scholar] [CrossRef] [PubMed]
- Byrne, M.M.; Davila, E.P.; Zhao, W.; Parker, D.; Hooper, M.W.; Caban-Martinez, A.; Dietz, N.; Huang, Y.; Messiah, A.; Lee, D.J. Cancer screening behaviors among smokers and non-smokers. Cancer Epidemiol. 2010, 34, 611–617. [Google Scholar] [CrossRef]
- Plaskon, L.A.; Penson, D.F.; Vaughan, T.L.; Stanford, J.L. Cigarette smoking and risk of prostate cancer in middle-aged men. Cancer Epidemiol. Biomarkers Prev. 2003, 12, 604–609. [Google Scholar]


| Parameter | Description |
|---|---|
| Age | Median: 69 years (63–75) |
| Smoking status | Never smoked: 35 (52%), Former smokers: 27 (40%), Current smokers: 6 (9%) |
| Cancer subtype | Adenocarcinoma: 68 (100%) |
| Mortality | 45 out of 68 patients (66%) |
| Overall survival | Median: 6.44 years (3.32–10.82) |
| Time to spine metastasis | 4.83 years (2.33–9.37) |
| Overall survival post-spinal metastasis | Median: 2.28 years (1.04–4.53) |
| Spine level metastasis | Cervical: 6%, Thoracic: 68%, Lumbar: 24%, Sacral: 3% |
| Other metastasis * | Spine and prostate only: 42 (62%), Diffuse sclerotic bone lesions: 12 (18%), Lung: 8 (12%), Liver: 7 (10%), Pelvis: 6 (9%), Adrenal gland: 3 (4%), Lymph node: 3 (4%), Sternum: 2 (3%), Others (humerus/rib/femur): 1 each (1.5%) |
| Preop Frankel | Mode: E |
| Postop Frankel | Mode: E |
| Preop ambulatory status | Ambulatory: 53 (86%), Non-ambulatory: 9 (14%) |
| Postop ambulatory status | Ambulatory: 52 (84%), Non-ambulatory: 10 (16%) |
| Treatment ** | Chemotherapy: docetaxel: 40 (59%), cabazitaxel: 12 (18%); Immunotherapy: pembrolizumab: 6 (9%); Targeted therapy: abiraterone: 29 (42.6%), enzalutamide: 20 (29.4%), leuprolide: 19 (27.9%), bicalutamide: 17 (25%), degarelix: 13 (19%), triptorelin: 7 (10%), goserelin: 6 (9%); Radiotherapy: to prostate: 23 (34%), to spine met: 59 (87%) |
| Postop complications | No complications: 59 (95%), PE: 1 (1.6%), Bowel incontinence: 1 (1.6%), Ileus: 1 (1.6%), Hyponatremia: 1 (1.6%) |
| Biomarker | Number of Recurrences | Fisher p-Value |
|---|---|---|
| AR-V7 | 3 | 0.395 |
| NKX3.1 | 5 | 0.751 |
| P501S | 2 | 0.714 |
| PSA | 3 | 0.738 |
| PSMA | 0 | 0.197 |
| PTEN | 4 | 0.020 |
| TP53 | 5 | 0.012 |
| Variable | No. of Patients | Odds Ratio | Std. Error | p-Value |
|---|---|---|---|---|
| Preop Frankel | - | 2.373 | 0.406 | 0.033 |
| Current smoker status | 6 | 0.221 | 0.875 | 0.085 |
| Chemotherapy | 38 | 0.151 | 0.617 | 0.002 |
| ARV7 | 11 | 3.662 | 0.763 | 0.089 |
| PSA | 23 | 2.092 | 0.549 | 0.179 |
| Parameter | Time Ratio | Std. Error | Sig. |
|---|---|---|---|
| Smoking status | 0.625 | 0.130 | <0.001 |
| Radiotherapy to prostate | 1.805 | 0.175 | 0.001 |
| Immunotherapy | 0.677 | 0.201 | 0.052 |
| Targeted therapy | 0.673 | 0.216 | 0.066 |
| PTEN | 0.504 | 0.248 | 0.006 |
| Predictors of Survival | ||
| Characteristic | Effect | Time Ratio (Standard Error) |
| PTEN mutation | Worse overall survival | 0.504 (0.248) |
| Smoking | Worse overall survival | 0.625 (0.130) |
| Radiotherapy to prostate | Improved overall survival | 1.805 (0.175) |
| Predictors of Recurrence | ||
| Characteristic | Effect | Number of Recurrences (p-value) |
| PTEN | Increased recurrences | 4 (0.020) |
| TP53 | Increased recurrences | 5 (0.012) |
| Predictors of Postoperative Frankel Score | ||
| Characteristic | Effect | Odds Ratio (Standard Error) |
| Increased preoperative Frankel | Increased postoperative Frankel score | 2.373 (0.406) |
| Chemotherapy | Decreased postoperative Frankel score | 0.151 (0.617) |
Disclaimer/Publisher’s Note: The statements, opinions and data contained in all publications are solely those of the individual author(s) and contributor(s) and not of MDPI and/or the editor(s). MDPI and/or the editor(s) disclaim responsibility for any injury to people or property resulting from any ideas, methods, instructions or products referred to in the content. |
© 2025 by the authors. Licensee MDPI, Basel, Switzerland. This article is an open access article distributed under the terms and conditions of the Creative Commons Attribution (CC BY) license (https://creativecommons.org/licenses/by/4.0/).
Share and Cite
Antar, A.; Xia, Y.; Al-Mistarehi, A.-H.; Papali, P.; Alfonzo Horowitz, M.; Sriram, S.; Sattari, S.A.; Weber-Levine, C.; Neerumalla, S.; Mendelson, B.Z.; et al. PTEN Mutations Associated with Increased Recurrence and Decreased Survival in Patients with Prostate Cancer Spinal Metastasis. Curr. Oncol. 2025, 32, 331. https://doi.org/10.3390/curroncol32060331
Antar A, Xia Y, Al-Mistarehi A-H, Papali P, Alfonzo Horowitz M, Sriram S, Sattari SA, Weber-Levine C, Neerumalla S, Mendelson BZ, et al. PTEN Mutations Associated with Increased Recurrence and Decreased Survival in Patients with Prostate Cancer Spinal Metastasis. Current Oncology. 2025; 32(6):331. https://doi.org/10.3390/curroncol32060331
Chicago/Turabian StyleAntar, Albert, Yuanxuan Xia, Abdel-Hameed Al-Mistarehi, Pritika Papali, Melanie Alfonzo Horowitz, Shreya Sriram, Shahab Aldin Sattari, Carly Weber-Levine, Sushanth Neerumalla, Benjamin Z. Mendelson, and et al. 2025. "PTEN Mutations Associated with Increased Recurrence and Decreased Survival in Patients with Prostate Cancer Spinal Metastasis" Current Oncology 32, no. 6: 331. https://doi.org/10.3390/curroncol32060331
APA StyleAntar, A., Xia, Y., Al-Mistarehi, A.-H., Papali, P., Alfonzo Horowitz, M., Sriram, S., Sattari, S. A., Weber-Levine, C., Neerumalla, S., Mendelson, B. Z., Lee, S., Redmond, K. J., Bydon, A., Witham, T. F., Theodore, N., & Lubelski, D. (2025). PTEN Mutations Associated with Increased Recurrence and Decreased Survival in Patients with Prostate Cancer Spinal Metastasis. Current Oncology, 32(6), 331. https://doi.org/10.3390/curroncol32060331

