Does an Autoimmune Disorder Following Ovarian Cancer Diagnosis Affect Prognosis?
Abstract
1. Introduction
2. Materials and Methods
2.1. Study Design and Population
2.2. Outcome Measures
2.3. Statistical Analysis
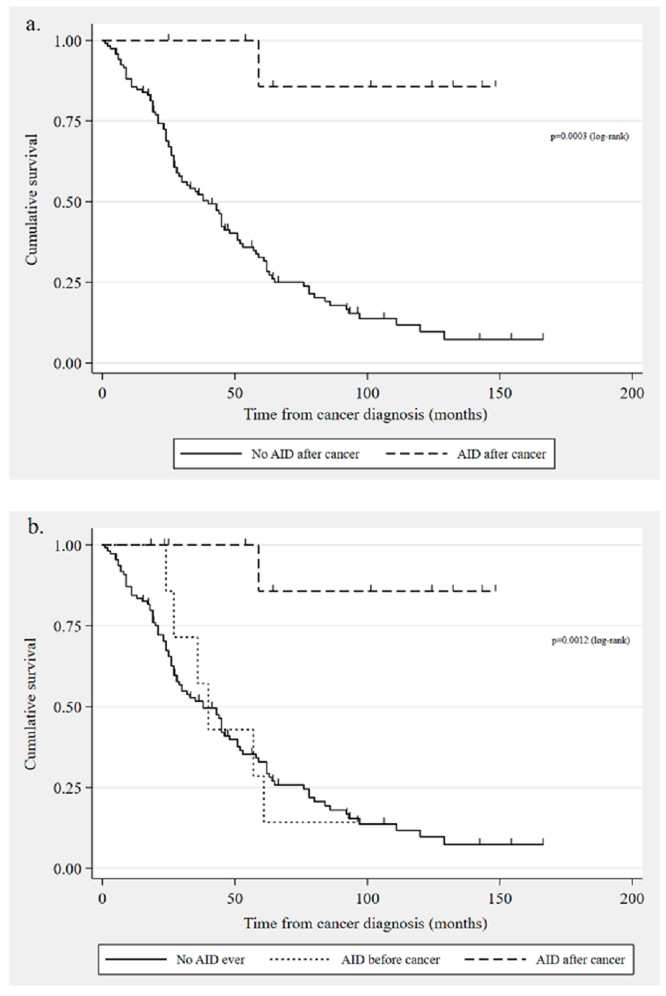
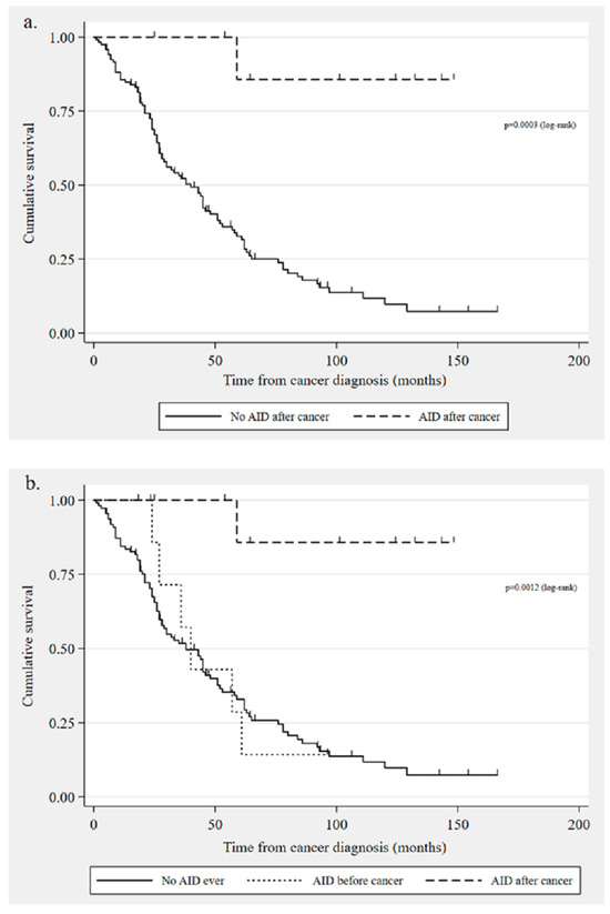
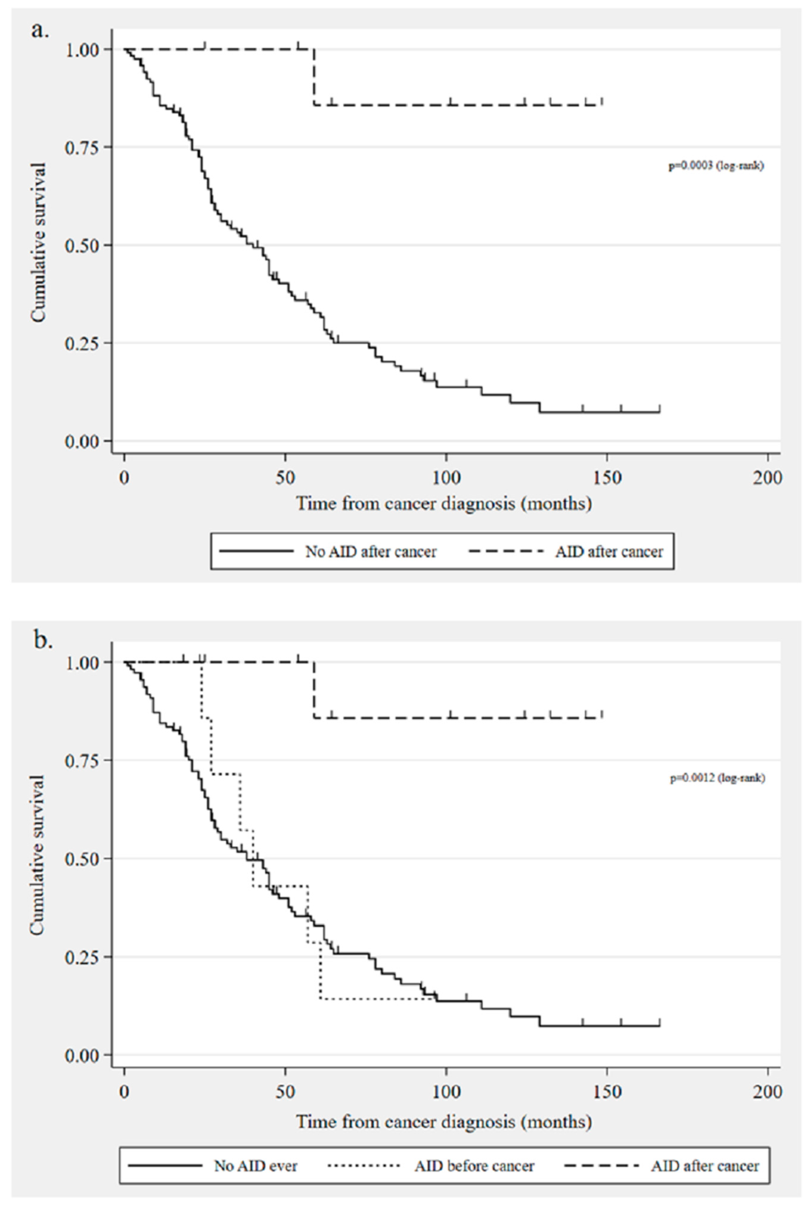
3. Results
3.1. Primary Analysis (Two-Group Comparison)
3.2. Secondary Analysis (Three-Group Comparison)
4. Discussion
5. Conclusions
Author Contributions
Funding
Institutional Review Board Statement
Informed Consent Statement
Data Availability Statement
Acknowledgments
Conflicts of Interest
References
- Momenimovahed, Z.; Tiznobaik, A.; Taheri, S.; Salehiniya, H. Ovarian Cancer in the World: Epidemiology and Risk Factors. Int. J. Womens Health 2019, 11, 287–299. [Google Scholar] [CrossRef] [PubMed]
- Sung, H.; Ferlay, J.; Siegel, R.L.; Laversanne, M.; Soerjomataram, I.; Jemal, A.; Bray, F. Global Cancer Statistics 2020: GLOBOCAN Estimates of Incidence and Mortality Worldwide for 36 Cancers in 185 Countries. CA Cancer J. Clin. 2021, 71, 209–249. [Google Scholar] [CrossRef] [PubMed]
- González-Martín, A.; Harter, P.; Leary, A.; Lorusso, D.; Miller, R.E.; Pothuri, B.; Ray-Coquard, I.; Tan, D.S.P.; Bellet, E.; Oaknin, A.; et al. Newly Diagnosed and Relapsed Epithelial Ovarian Cancer: ESMO Clinical Practice Guideline for Diagnosis, Treatment and Follow-Up. Ann. Oncol. 2023, 34, 833–848. [Google Scholar] [CrossRef]
- Surveillance, Epidemiology, and End Results (SEER) Program SEER*Stat Database: Mortality—All COD, Aggregated with State, Total U.S. (1969–2020) <Katrina/Rita Population Adjustment>, National Cancer Institute, DCCPS, Surveillance Research Program, Released September 2022. Underlying Mortality Data Provided by NCHS. Available online: www.cdc.gov/nchs (accessed on 25 June 2024).
- González-Martín, A.; Pothuri, B.; Vergote, I.; DePont Christensen, R.; Graybill, W.; Mirza, M.R.; McCormick, C.; Lorusso, D.; Hoskins, P.; Freyer, G.; et al. Niraparib in Patients with Newly Diagnosed Advanced Ovarian Cancer. N. Engl. J. Med. 2019, 381, 2391–2402. [Google Scholar] [CrossRef]
- Pujade-Lauraine, E.; Hilpert, F.; Weber, B.; Reuss, A.; Poveda, A.; Kristensen, G.; Sorio, R.; Vergote, I.; Witteveen, P.; Bamias, A.; et al. Bevacizumab Combined with Chemotherapy for Platinum-Resistant Recurrent Ovarian Cancer: The AURELIA Open-Label Randomized Phase III Trial. J. Clin. Oncol. 2014, 32, 1302–1308. [Google Scholar] [CrossRef] [PubMed]
- Oza, A.M.; Cook, A.D.; Pfisterer, J.; Embleton, A.; Ledermann, J.A.; Pujade-Lauraine, E.; Kristensen, G.; Carey, M.S.; Beale, P.; Cervantes, A.; et al. Standard Chemotherapy with or without Bevacizumab for Women with Newly Diagnosed Ovarian Cancer (ICON7): Overall Survival Results of a Phase 3 Randomised Trial. Lancet Oncol. 2015, 16, 928–936. [Google Scholar] [CrossRef] [PubMed]
- Marth, C.; Abreu, M.H.; Andersen, K.K.; Aro, K.M.; De Lurdes Batarda, M.; Boll, D.; Ekmann-Gade, A.W.; Haltia, U.; Hansen, J.; Haug, A.J.; et al. Real-life Data on Treatment and Outcomes in Advanced Ovarian Cancer: An Observational, Multinational Cohort Study (RESPONSE Trial). Cancer 2022, 128, 3080–3089. [Google Scholar] [CrossRef] [PubMed]
- Mirza, M.R.; Coleman, R.L.; González-Martín, A.; Moore, K.N.; Colombo, N.; Ray-Coquard, I.; Pignata, S. The Forefront of Ovarian Cancer Therapy: Update on PARP Inhibitors. Ann. Oncol. 2020, 31, 1148–1159. [Google Scholar] [CrossRef] [PubMed]
- Perren, T.J.; Swart, A.M.; Pfisterer, J.; Ledermann, J.A.; Pujade-Lauraine, E.; Kristensen, G.; Carey, M.S.; Beale, P.; Cervantes, A.; Kurzeder, C.; et al. A Phase 3 Trial of Bevacizumab in Ovarian Cancer. N. Engl. J. Med. 2011, 365, 2484–2496. [Google Scholar] [CrossRef]
- Burger, R.A.; Brady, M.F.; Bookman, M.A.; Fleming, G.F.; Monk, B.J.; Huang, H.; Mannel, R.S.; Homesley, H.D.; Fowler, J.; Greer, B.E.; et al. Incorporation of Bevacizumab in the Primary Treatment of Ovarian Cancer. N. Engl. J. Med. 2011, 365, 2473–2483. [Google Scholar] [CrossRef]
- Deutsche Gesellschaft für Gynäkologie und Geburtshilfe e.V. (DGGG) S3-Leitlinie Diagnostik, Therapie und Nachsorge Maligner Ovarialtumoren 2022. Available online: https://awmf.org (accessed on 25 June 2024).
- Liu, S.; Wu, M.; Wang, F. Research Progress in Prognostic Factors and Biomarkers of Ovarian Cancer. J. Cancer 2021, 12, 3976–3996. [Google Scholar] [CrossRef] [PubMed]
- Curiel, T.J.; Coukos, G.; Zou, L.; Alvarez, X.; Cheng, P.; Mottram, P.; Evdemon-Hogan, M.; Conejo-Garcia, J.R.; Zhang, L.; Burow, M.; et al. Specific Recruitment of Regulatory T Cells in Ovarian Carcinoma Fosters Immune Privilege and Predicts Reduced Survival. Nat. Med. 2004, 10, 942–949. [Google Scholar] [CrossRef]
- Li, J.; Wang, J.; Chen, R.; Bai, Y.; Lu, X. The Prognostic Value of Tumor-Infiltrating T Lymphocytes in Ovarian Cancer. Oncotarget 2017, 8, 15621–15631. [Google Scholar] [CrossRef]
- Ovarian Tumor Tissue Analysis (OTTA) Consortium; Goode, E.L.; Block, M.S.; Kalli, K.R.; Vierkant, R.A.; Chen, W.; Fogarty, Z.C.; Gentry-Maharaj, A.; Toloczko, A.; Hein, A.; et al. Dose-Response Association of CD8+ Tumor-Infiltrating Lymphocytes and Survival Time in High-Grade Serous Ovarian Cancer. JAMA Oncol. 2017, 3, e173290. [Google Scholar] [CrossRef] [PubMed]
- Hamanishi, J.; Mandai, M.; Ikeda, T.; Minami, M.; Kawaguchi, A.; Murayama, T.; Kanai, M.; Mori, Y.; Matsumoto, S.; Chikuma, S.; et al. Safety and Antitumor Activity of Anti–PD-1 Antibody, Nivolumab, in Patients with Platinum-Resistant Ovarian Cancer. J. Clin. Oncol. 2015, 33, 4015–4022. [Google Scholar] [CrossRef] [PubMed]
- Matulonis, U.A.; Shapira-Frommer, R.; Santin, A.; Lisyanskaya, A.S.; Pignata, S.; Vergote, I.; Raspagliesi, F.; Sonke, G.S.; Birrer, M.; Provencher, D.M.; et al. Antitumor Activity and Safety of Pembrolizumab in Patients with Advanced Recurrent Ovarian Cancer: Interim Results from the Phase 2 KEYNOTE-100 Study. J. Clin. Oncol. 2018, 36, 5511. [Google Scholar] [CrossRef]
- Varga, A.; Piha-Paul, S.; Ott, P.A.; Mehnert, J.M.; Berton-Rigaud, D.; Morosky, A.; Yang, P.; Ruman, J.; Matei, D. Pembrolizumab in Patients with Programmed Death Ligand 1-Positive Advanced Ovarian Cancer: Analysis of KEYNOTE-028. Gynecol. Oncol. 2019, 152, 243–250. [Google Scholar] [CrossRef]
- Pujade-Lauraine, E.; Fujiwara, K.; Ledermann, J.A.; Oza, A.M.; Kristeleit, R.; Ray-Coquard, I.-L.; Richardson, G.E.; Sessa, C.; Yonemori, K.; Banerjee, S.; et al. Avelumab Alone or in Combination with Chemotherapy versus Chemotherapy Alone in Platinum-Resistant or Platinum-Refractory Ovarian Cancer (JAVELIN Ovarian 200): An Open-Label, Three-Arm, Randomised, Phase 3 Study. Lancet Oncol. 2021, 22, 1034–1046. [Google Scholar] [CrossRef]
- Monk, B.J.; Colombo, N.; Oza, A.M.; Fujiwara, K.; Birrer, M.J.; Randall, L.; Poddubskaya, E.V.; Scambia, G.; Shparyk, Y.V.; Lim, M.C.; et al. Chemotherapy with or without Avelumab Followed by Avelumab Maintenance versus Chemotherapy Alone in Patients with Previously Untreated Epithelial Ovarian Cancer (JAVELIN Ovarian 100): An Open-Label, Randomised, Phase 3 Trial. Lancet Oncol. 2021, 22, 1275–1289. [Google Scholar] [CrossRef]
- Duranti, S.; Pietragalla, A.; Daniele, G.; Nero, C.; Ciccarone, F.; Scambia, G.; Lorusso, D. Role of Immune Checkpoint Inhibitors in Cervical Cancer: From Preclinical to Clinical Data. Cancers 2021, 13, 2089. [Google Scholar] [CrossRef]
- Fucikova, J.; Coosemans, A.; Orsulic, S.; Cibula, D.; Vergote, I.; Galluzzi, L.; Spisek, R. Immunological Configuration of Ovarian Carcinoma: Features and Impact on Disease Outcome. J. Immunother. Cancer 2021, 9, e002873. [Google Scholar] [CrossRef] [PubMed]
- Oaknin, A.; Bosse, T.J.; Creutzberg, C.L.; Giornelli, G.; Harter, P.; Joly, F.; Lorusso, D.; Marth, C.; Makker, V.; Mirza, M.R.; et al. Endometrial Cancer: ESMO Clinical Practice Guideline for Diagnosis, Treatment and Follow-Up. Ann. Oncol. 2022, 33, 860–877. [Google Scholar] [CrossRef] [PubMed]
- Kurtz, J.-E.; Pujade-Lauraine, E.; Oaknin, A.; Belin, L.; Leitner, K.; Cibula, D.; Denys, H.; Rosengarten, O.; Rodrigues, M.; De Gregorio, N.; et al. Atezolizumab Combined with Bevacizumab and Platinum-Based Therapy for Platinum-Sensitive Ovarian Cancer: Placebo-Controlled Randomized Phase III ATALANTE/ENGOT-Ov29 Trial. J. Clin. Oncol. 2023, 41, 4768–4778. [Google Scholar] [CrossRef] [PubMed]
- Brodeur, M.N.; Dopeso, H.; Zhu, Y.; Longhini, A.L.F.; Gazzo, A.; Sun, S.; Koche, R.; Qu, R.; Hamard, P.-J.; Bykov, Y.; et al. Interferon Response and Epigenetic Modulation by SMARCA4 Mutations Drive Ovarian Tumor Immunogenicity. bioRxiv 2023. [Google Scholar] [CrossRef]
- Conrad, N.; Misra, S.; Verbakel, J.Y.; Verbeke, G.; Molenberghs, G.; Taylor, P.N.; Mason, J.; Sattar, N.; McMurray, J.J.V.; McInnes, I.B.; et al. Incidence, Prevalence, and Co-Occurrence of Autoimmune Disorders over Time and by Age, Sex, and Socioeconomic Status: A Population-Based Cohort Study of 22 Million Individuals in the UK. Lancet 2023, 401, 1878–1890. [Google Scholar] [CrossRef]
- Hannibal, C.G.; Kjaer, S.K.; Galanakis, M.; Hertzum-Larsen, R.; Maltesen, T.; Baandrup, L. History of Autoimmune Disease and Long-Term Survival of Epithelial Ovarian Cancer: The Extreme Study. Gynecol. Oncol. 2024, 182, 1–6. [Google Scholar] [CrossRef] [PubMed]
- Dedousis, D.; Zhang, A.L.; Vassiliou, A.N.; Cao, S.; Yammani, D.; Kyasaram, R.K.; Shanahan, J.P.; Keinath, M.C.; Hsu, M.L.; Fu, P.; et al. Survival in Elderly Patients with Breast Cancer with and without Autoimmune Disease. Cancer Med. 2023, 12, 13086–13099. [Google Scholar] [CrossRef] [PubMed]
- Wouters, R.; Vankerckhoven, A.; Verreet, W.; Ceusters, J.; Coosemans, A. Do Autoimmune Diseases Influence the Onset and Progression of Ovarian Cancer? A Systematic Review and Meta-Analysis. Int. J. Gynecol. Cancer 2022, 32, 1583–1591. [Google Scholar] [CrossRef] [PubMed]
- Bagchi, S.; Yuan, R.; Engleman, E.G. Immune Checkpoint Inhibitors for the Treatment of Cancer: Clinical Impact and Mechanisms of Response and Resistance. Annu. Rev. Pathol. Mech. Dis. 2021, 16, 223–249. [Google Scholar] [CrossRef]
- Du, Y.; Wu, W.; Chen, M.; Dong, Z.; Wang, F. Cutaneous Adverse Events and Cancer Survival Prognosis with Immune Checkpoint Inhibitor Treatment: A Systematic Review and Meta-Analysis. JAMA Dermatol. 2023, 159, 1093–1101. [Google Scholar] [CrossRef]
- Zhong, L.; Wu, Q.; Chen, F.; Liu, J.; Xie, X. Immune-Related Adverse Events: Promising Predictors for Efficacy of Immune Checkpoint Inhibitors. Cancer Immunol. Immunother. 2021, 70, 2559–2576. [Google Scholar] [CrossRef] [PubMed]
- Jacoby, T.V.; Shah, N.; Asdourian, M.S.; Thompson, L.L.; Otto, T.S.; LeBoeuf, N.R.; Semenov, Y.; Dee, E.C.; Reynolds, K.L.; Chen, S.T. Dermatology Evaluation for Cutaneous Immune-Related Adverse Events Is Associated with Improved Survival in Cancer Patients Treated with Checkpoint Inhibition. J. Am. Acad. Dermatol. 2023, 88, 711–714. [Google Scholar] [CrossRef] [PubMed]
- Gill, A.; Gosain, R.; Bhandari, S.; Gosain, R.; Gill, G.; Abraham, J.; Miller, K. “Lost to Follow-up” among Adult Cancer Survivors. Am. J. Clin. Oncol. 2018, 41, 1024–1027. [Google Scholar] [CrossRef] [PubMed]


| Parameters | No AID Ever | AID before Cancer Diagnosis | AID after Cancer Diagnosis | p-Value ** | |||
|---|---|---|---|---|---|---|---|
| Total (n = 128) | n = 110 | n = 9 | n = 9 | -- | |||
| Age at cancer diagnosis (mean, standard deviation) | 65.5 | ±10 | 62.8 | ±11 | 65 | ±6 | 0.246 |
| Body mass index-kg/m2 (median, IQR) | 25 | 22–28 | 23 | 23–26 | 27 | 23–28 | 0.641 |
| Race (white) * | 108 | 98% | 9 | 100% | 9 | 100% | 0.999 |
| Smoker (yes) | 11 | 10% | 1 | 11% | 1 | 11% | 0.999 |
| BRCA mutation (yes) | 12 | 11% | 2 | 22% | 2 | 22% | 0.048 |
| Histologic subtype | 0.7556 | ||||||
| Serous | 102 | 93% | 8 | 89% | 9 | 100% | |
| Endometrioid | 7 | 6% | 1 | 11% | 0 | -- | |
| Transitional cell | 1 | 1% | 0 | -- | 0 | -- | |
| No residual tumor (R0) | 44 | 40% | 4 | 44% | 6 | 67% | 0.321 |
| Nodal status * | 0.413 | ||||||
| pN0 | 36 | 34% | 4 | 44% | 5 | 56% | |
| pN1 | 70 | 66% | 5 | 56% | 4 | 44% | |
| FIGO | 0.76 | ||||||
| III | 80 | 74% | 6 | 67% | 6 | 67% | |
| IV | 30 | 26% | 3 | 33% | 3 | 33% | |
| Cycles of primary chemotherapy † (median, range) | 6 | 1–6 | 6 | 5–6 | 6 | 6–6 | 0.837 |
| First-line maintenance therapy (yes) | 65 | 59% | 7 | 78% | 7 | 78% | 0.324 |
| Treatments for recurrence (median, range) | 2 | 1–9 | 2 | 1–3 | 2.5 | 2–3 | 0.7018 |
| Survival time in days (median, IQR) | 932 | 567–1846 | 1093 | 716–1705 | 3031 | 1765–3963 | 0.0042 |
| No evidence of disease at last follow-up (yes) | 9 | 8% | 1 | 11% | 4 | 44% | 0.012 |
| Case | Age (Years) | FIGO Stage | Residual Tumor | BRCA 1/2 Mutation | Maintenance Therapy | Autoimmune Disorder | Time to Disease * | Autoimmune Disorder Therapy | Recurrences (Number) | Survival Status | Survival Time (Days) |
|---|---|---|---|---|---|---|---|---|---|---|---|
| 1 | 72 | III | R1 | Unknown | Bevacizumab | Polymyalgia rheumatica | 5 years | Prednisone | 0 | Alive | 3716 |
| 2 | 64 | IV | R0 | Negative | Bevacizumab, niraparib | Rheumatoid arthritis | 4 years | Etanercept, methotrexate | 3 | Alive | 4290 |
| 3 | 67 | III | R2 | Negative | Bevacizumab | Granulomatosis with polyangiitis (Wegener’s disease) | 2 years | Methotrexate | 2 | Died | 1765 |
| 4 | 63 | IV | R0 | Unknown | -- | Chronic lymphocytic leukemia with prurigo nodularis | 6 years | Corticosteroid (local) | 0 | Alive | 4443 |
| 5 | 57 | III | R0 | Negative | Bevacizumab, niraparib | Rheumatoid arthritis | 2 years | Prednisone, methotrexate | 2 | Alive | 1627 |
| 6 | 67 | IV | R1 | Positive | Olaparib | Systemic lupus erythematosus | 5 years | Corticosteroid (local) | 3 | Alive | 3031 |
| 7 | 76 | III | R0 | Negative | Bevacizumab | Rheumatoid arthritis | 2 years | Prednisone | 0 | Alive | 1930 |
| 8 | 58 | III | R0 | Negative | -- | Dermatomyositis | 1 year | Prednisone, methotrexate, hydroxychloroquine, mycophenolic acid, rituximab, corticosteroid (local) | 0 | Alive | 3963 |
| 9 | 60 | III | R0 | Positive | Olaparib | Leukocytoclastic vasculitis | 1.5 years | Prednisone, enoxaparin | 0 | Alive | 747 |
| Case | Age (Years) | FIGO Stage | Residual Tumor | BRCA 1/2 Mutation | Maintenance Therapy | Autoimmune Disorder | Time to Disease * | Autoimmune Disorder Therapy | Recurrences (Number) | Survival Status | Survival Time (Days) |
|---|---|---|---|---|---|---|---|---|---|---|---|
| 1 | 76 | III | R2 | Negative | Bevacizumab | Rheumatoid arthritis | Unknown † | Methotrexate, deflazacort | 1 | Died | 806 |
| 2 | 69 | IV | R2 | Negative | Bevacizumab, olaparib | Polymyalgia rheumatica | 11 years | Prednisone | 2 | Alive | 676 |
| 3 | 65 | IV | R2 | Negative | Bevacizumab, olaparib | Rheumatoid arthritis | 2 months | Unknown † | 3 | Died | 716 |
| 4 | 51 | III | R2 | Positive | Bevacizumab, olaparib | Systemic lupus erythematosus | 2 years | Hydroxychoroquine, prednisone | 3 | Died | 1705 |
| 5 | 75 | IV | R0 | Unknown | Bevacizumab | Chronic lymphocytic leukemia with immune thrombocytopenia | 15 years | Rituximab, bendamustine, prednisone | 1 | Died | 1093 |
| 6 | 67 | III | R0 | Negative | Bevacizumab | Ankylosing spondylitis (Bechterew’s disease) | Unknown † | Local steroids | 1 | Died | 1206 |
| 7 | 61 | III | R0 | Negative | -- | Ulcerative colitis | 7 years | Mesalazine | 2 | Alive | 2869 |
| 8 | 59 | III | R0 | Negative | Bevacizumab, olaparib | Mixed connective tissue disease | 3 years | Hydroxychloroquine, prednisone, sulfasalazine, methotrexate, cyclophosphamide, rituximab | 2 | Alive | 538 |
| 9 | 42 | III | R2 | Positive | -- | Autoimmune diabetes mellitus (Type 1) | 3 years | Insulin detemir, insulin aspart | 3 | Died | 1819 |
Disclaimer/Publisher’s Note: The statements, opinions and data contained in all publications are solely those of the individual author(s) and contributor(s) and not of MDPI and/or the editor(s). MDPI and/or the editor(s) disclaim responsibility for any injury to people or property resulting from any ideas, methods, instructions or products referred to in the content. |
© 2024 by the authors. Licensee MDPI, Basel, Switzerland. This article is an open access article distributed under the terms and conditions of the Creative Commons Attribution (CC BY) license (https://creativecommons.org/licenses/by/4.0/).
Share and Cite
Fröhlich, A.; Welter, J.; Witzel, I.; Voppichler, J.; Fehr, M.K. Does an Autoimmune Disorder Following Ovarian Cancer Diagnosis Affect Prognosis? Curr. Oncol. 2024, 31, 4613-4623. https://doi.org/10.3390/curroncol31080344
Fröhlich A, Welter J, Witzel I, Voppichler J, Fehr MK. Does an Autoimmune Disorder Following Ovarian Cancer Diagnosis Affect Prognosis? Current Oncology. 2024; 31(8):4613-4623. https://doi.org/10.3390/curroncol31080344
Chicago/Turabian StyleFröhlich, Anaïs, JoEllen Welter, Isabell Witzel, Julia Voppichler, and Mathias K. Fehr. 2024. "Does an Autoimmune Disorder Following Ovarian Cancer Diagnosis Affect Prognosis?" Current Oncology 31, no. 8: 4613-4623. https://doi.org/10.3390/curroncol31080344
APA StyleFröhlich, A., Welter, J., Witzel, I., Voppichler, J., & Fehr, M. K. (2024). Does an Autoimmune Disorder Following Ovarian Cancer Diagnosis Affect Prognosis? Current Oncology, 31(8), 4613-4623. https://doi.org/10.3390/curroncol31080344

