Prognostic Index for Liver Radiation (PILiR)
Abstract
1. Introduction
2. Materials and Methods
2.1. Patient Selection
2.2. Study Design and Statistical Analysis
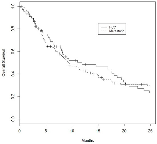
3. Results
3.1. Patient and Tumor Characteristics
3.2. Prognostic Factors
3.2.1. Combined Dataset
3.2.2. Hepatocellular Carcinoma Dataset
3.2.3. Metastatic Dataset
3.3. PILiR Score
4. Discussion
5. Conclusions
Author Contributions
Funding
Institutional Review Board Statement
Informed Consent Statement
Data Availability Statement
Conflicts of Interest
References
- Llovet, J.M.; Fuster, J.; Bruix, J.; Barcelona-Clínic Liver Cancer Group. The Barcelona approach: Diagnosis, staging, and treatment of hepatocellular carcinoma. Liver Transpl. 2004, 10 (Suppl. S1), S115–S120. [Google Scholar] [CrossRef] [PubMed]
- Lo, C.M.; Ngan, H.; Tso, W.K.; Liu, C.L.; Lam, C.M.; Poon, T.P.; Fan, S.T.; Wong, J. Randomized controlled trial of transarterial lipiodol chemoembolization for unresectable hepatocellular carcinoma. Hepatology 2002, 35, 1164–1171. [Google Scholar] [CrossRef] [PubMed]
- Llovet, J.M.; Real, M.I.; Montaña, X.; Planas, R.; Coll, S.; Aponte, J.; Ayuso, C.; Sala, M.; Muchart, J.; Sola, R.; et al. Arterial embolisation or chemoembolisation versus symptomatic treatment in patients with unresectable hepatocellular carcinoma: A randomised controlled trial. Lancet 2002, 359, 1734–1739. [Google Scholar] [CrossRef] [PubMed]
- Wahl, D.R.; Stenmark, M.H.; Tao, Y.; Pollom, E.L.; Caoili, E.M.; Lawrence, T.S.; Schipper, M.J.; Feng, M. Outcomes After Stereotactic Body Radiotherapy or Radiofrequency Ablation for Hepatocellular Carcinoma. J. Clin. Oncol. 2016, 34, 452–459. [Google Scholar] [CrossRef] [PubMed]
- Klein, J.; Dawson, L.A.; Jiang, H.; Kim, J.; Dinniwell, R.; Brierley, J.; Wong, R.; Lockwood, G.; Ringash, J. Prospective Longitudinal Assessment of Quality of Life for Liver Cancer Patients Treated With Stereotactic Body Radiation Therapy. Int. J. Radiat. Oncol. Biol. Phys. 2015, 93, 16–25. [Google Scholar] [CrossRef]
- Pugh, R.N.; Murray-Lyon, I.M.; Dawson, J.L.; Pietroni, M.C.; Williams, R. Transection of the oesophagus for bleeding oesophageal varices. Br. J. Surg. 1973, 60, 646–649. [Google Scholar] [CrossRef]
- Malinchoc, M.; Kamath, P.S.; Gordon, F.D.; Peine, C.J.; Rank, J.; ter Borg, P.J.; Pieter, C.J. A model to predict poor survival in patients undergoing transjugular intrahepatic portosystemic shunts. Hepatology 2000, 31, 864–871. [Google Scholar] [CrossRef]
- Johnson, P.J.; Berhane, S.; Kagebayashi, C.; Satomura, S.; Teng, M.; Reeves, H.L.; O’Beirne, J.; Fox, R.; Skowronska, A.; Palmer, D.; et al. Assessment of liver function in patients with hepatocellular carcinoma: A new evidence-based approach-the ALBI grade. J. Clin. Oncol. 2015, 33, 550–558. [Google Scholar] [CrossRef]
- Lo, C.H.; Liu, M.Y.; Lee, M.S.; Yang, J.F.; Jen, Y.M.; Lin, C.S.; Chao, H.L.; Shen, P.C.; Huang, W.Y. Comparison Between Child-Turcotte-Pugh and Albumin-Bilirubin Scores in Assessing the Prognosis of Hepatocellular Carcinoma After Stereotactic Ablative Radiation Therapy. Int. J. Radiat. Oncol. Biol. Phys. 2017, 99, 145–152. [Google Scholar] [CrossRef]
- Dawson, L.A.; Normolle, D.; Balter, J.M.; McGinn, C.J.; Lawrence, T.S.; Tenhaken, R.K. Analysis of radiation-induced liver disease using the Lyman NTCP model. Int. J. Radiat. Oncol. Biol. Phys. 2002, 53, 810–821. [Google Scholar] [CrossRef]
- Kress, M.A.; Collins, B.T.; Collins, S.P.; Dritschilo, A.; Gagnon, G.; Unger, K. Scoring system predictive of survival for patients undergoing stereotactic body radiation therapy for liver tumors. Radiat. Oncol. 2012, 7, 148. [Google Scholar] [CrossRef] [PubMed][Green Version]
- Zhan, G.; Peng, H.; Zhou, L.; Jin, L.; Xie, X.; He, Y.; Wang, X.; Du, Z.; Cao, P. A web-based nomogram model for predicting the overall survival of hepatocellular carcinoma patients with external beam radiation therapy: A population study based on SEER database and a Chinese cohort. Front. Endocrinol. 2023, 14, 1070396. [Google Scholar] [CrossRef] [PubMed]
- Huang, W.Y.; Tsai, C.L.; Que, J.Y.; Lo, C.H.; Lin, Y.J.; Dai, Y.H.; Yang, J.F.; Shen, P.C.; Lee, M.H.; Cheng, J.H. Development and Validation of a Nomogram for Patients with Nonmetastatic BCLC Stage C Hepatocellular Carcinoma after Stereotactic Body Radiotherapy. Liver Cancer 2020, 9, 326–337. [Google Scholar] [CrossRef]
- Li, X.; Ye, Z.; Lin, S.; Pang, H. Predictive factors for survival following stereotactic body radiotherapy for hepatocellular carcinoma with portal vein tumour thrombosis and construction of a nomogram. BMC Cancer 2021, 21, 701. [Google Scholar] [CrossRef]
- Long, M.; Li, J.; He, M.; Qiu, J.; Zhang, R.; Liu, Y.; Liang, C.; Lu, H.; Pang, Y.; Zhou, H.; et al. Establishment and validation of a prognostic pomogram in unresectable hepatocellular carcinoma treated with intensity modulated radiotherapy: A real world study. Radiat. Oncol. 2023, 18, 96. [Google Scholar] [CrossRef] [PubMed]
- Dewas, S.; Bibault, J.E.; Mirabel, X.; Fumagalli, I.; Kramar, A.; Jarraya, H.; Larcornerie, T.; Dewas-Vautravers, C.; Lartigau, E. Prognostic factors affecting local control of hepatic tumors treated by Stereotactic Body Radiation Therapy. Radiat. Oncol. 2012, 7, 166. [Google Scholar] [CrossRef]
- Zhang, K.; Tao, C.; Wu, F.; Wu, J.; Rong, W. A practical nomogram from the SEER database to predict the prognosis of hepatocellular carcinoma in patients with lymph node metastasis. Ann. Palliat. Med. 2021, 10, 3847–3863. [Google Scholar] [CrossRef]
- Li, F.; Zheng, T.; Gu, X. Prognostic risk factor analysis and nomogram construction for primary liver cancer in elderly patients based on SEER database. BMJ Open 2022, 12, e051946. [Google Scholar] [CrossRef] [PubMed]
- Zhang, R.; Chen, J.; Jiang, Y.; Wang, J.; Chen, S. Prognostic nomogram for hepatocellular carcinoma with fibrosis of varying degrees: A retrospective cohort study. Ann. Transl. Med. 2020, 8, 1429. [Google Scholar] [CrossRef]
- Kim, N.; Yu, J.I.; Park, H.C.; Hong, J.Y.; Lim, H.Y.; Goh, M.J.; Paik, Y.H. Nomogram for predicting overall survival in patients with large (>5 cm) hepatocellular carcinoma based on real-world practice. J. Liver Cancer 2023, 23, 350–361. [Google Scholar] [CrossRef]
- Zhou, Y.; Zhou, X.; Ma, J.; Zhang, W.; Yan, Z.; Luo, J. Nomogram for Predicting the Prognosis of Patients with Hepatocellular Carcinoma Presenting with Pulmonary Metastasis. Cancer Manag. Res. 2021, 13, 2083–2094. [Google Scholar] [CrossRef] [PubMed]
- Fendler, W.P.; Ilhan, H.; Paprottka, P.M.; Jakobs, T.F.; Heinemann, V.; Bartenstein, P.; Khalaf, F.; Ezziddin, S.; Hacker, M.; Haug, A.R. Nomogram including pretherapeutic parameters for prediction of survival after SIRT of hepatic metastases from colorectal cancer. Eur. Radiol. 2015, 25, 2693–2700. [Google Scholar] [CrossRef] [PubMed]
- Pan, Q.Z.; Wang, Q.J.; Dan, J.Q.; Pan, K.; Li, Y.Q.; Zhang, Y.J.; Zhao, J.J.; Weng, D.S.; Tang, Y.; Huang, L.X.; et al. A nomogram for predicting the benefit of adjuvant cytokine-induced killer cell immunotherapy in patients with hepatocellular carcinoma. Sci. Rep. 2015, 5, 9202. [Google Scholar] [CrossRef] [PubMed]
- Wee, C.W.; Kim, K.; Chie, E.K.; Yu, S.J.; Kim, Y.J.; Yoon, J.H. Prognostic stratification and nomogram for survival prediction in hepatocellular carcinoma patients treated with radiotherapy for lymph node metastasis. Br. J. Radiol. 2016, 89, 20160383. [Google Scholar] [CrossRef]
- Chicco, D.; Oneto, L. Computational intelligence identifies alkaline phosphatase (ALP), alpha-fetoprotein (AFP), and hemoglobin levels as most predictive survival factors for hepatocellular carcinoma. Health Inform. J. 2021, 27, 1460458220984205. [Google Scholar] [CrossRef] [PubMed]
- Scheiner, B.; Pomej, K.; Kirstein, M.M.; Hucke, F.; Finkelmeier, F.; Waidmann, O.; Himmelsbach, V.; Schulze, K.; von Felden, J.; Frundt, T.W.; et al. Prognosis of patients with hepatocellular carcinoma treated with immunotherapy—Development and validation of the CRAFITY score. J. Hepatol. 2022, 76, 353–363. [Google Scholar] [CrossRef]
- Kuai, L.; Zhang, Y.; Luo, Y.; Li, W.; Li, X.D.; Zhang, H.P.; Liu, T.Y.; Yin, S.Y.; Li, B. Prognostic Nomogram for Liver Metastatic Colon Cancer Based on Histological Type, Tumor Differentiation, and Tumor Deposit: A TRIPOD Compliant Large-Scale Survival Study. Front. Oncol. 2021, 11, 604882. [Google Scholar] [CrossRef] [PubMed]
- Liu, C.; Hu, C.; Huang, J.; Xiang, K.; Li, Z.; Qu, J.; Liu, Y.; Zhang, G.; Wen, T. A Prognostic Nomogram of Colon Cancer With Liver Metastasis: A Study of the US SEER Database and a Chinese Cohort. Front. Oncol. 2021, 11, 591009. [Google Scholar] [CrossRef]
- Yao, J.; Chen, Q.; Deng, Y.; Zhao, J.; Bi, X.; Li, Z.; Huang, Z.; Zhang, Y.; Zhou, J.; Zhao, H.; et al. Nomograms predicting primary lymph node metastases and prognosis for synchronous colorectal liver metastasis with simultaneous resection of colorectal cancer and liver metastases. Ann. Palliat. Med. 2021, 10, 4220–4231. [Google Scholar] [CrossRef]
- Shi, H.; Li, X.; Chen, Z.; Jiang, W.; Dong, S.; He, R.; Zhou, W. Nomograms for Predicting the Risk and Prognosis of Liver Metastases in Pancreatic Cancer: A Population-Based Analysis. J. Pers. Med. 2023, 13, 409. [Google Scholar] [CrossRef]
- Cao, B.Y.; Tong, F.; Zhang, L.T.; Kang, Y.X.; Wu, C.C.; Wang, Q.Q.; Yang, W.; Wang, J. Risk factors, prognostic predictors, and nomograms for pancreatic cancer patients with initially diagnosed synchronous liver metastasis. World J. Gastrointest. Oncol. 2023, 15, 128–142. [Google Scholar] [CrossRef] [PubMed]
- Zhao, R.; Dai, Y.; Li, X.; Zhu, C. Construction and validation of a nomogram for non small cell lung cancer patients with liver metastases based on a population analysis. Sci. Rep. 2022, 12, 4011. [Google Scholar] [CrossRef] [PubMed]
- Xiong, H.; Hu, D.; Li, M.; Chen, T.; Jiang, W.; Xiang, Z. Epidemiology and prognostic nomogram for esophageal cancer with liver metastasis based on the Surveillance, Epidemiology, and End Results database. Res. Sq. 2022. [Google Scholar] [CrossRef]
- Van der Pool, A.E.; Méndez-Romero, A.; Wunderink, W.; Heijmen, B.J.; Levendag, P.C.; Verhoef, C.; Ijzermans, J.N. Stereotactic body radiation therapy for colorectal liver metastases. Br. J. Surg. 2010, 97, 377–382. [Google Scholar] [CrossRef]
- Katz, A.W.; Carey-Sampson, M.; Muhs, A.G.; Milano, M.T.; Schell, M.C.; Okunieff, P. Hypofractionated stereotactic body radiation therapy (SBRT) for limited hepatic metastases. Int. J. Radiat. Oncol. Biol. Phys. 2007, 67, 793–798. [Google Scholar] [CrossRef]
- Rusthoven, K.E.; Kavanagh, B.D.; Gaspar, L.E.; Schefter, T.E.; Cardenes, H.; Stieber, V.W.; Burn, S.H.; Feigenberg, S.J.; Chidel, M.A.; Pugh, T.J.; et al. Multi-institutional phase I/II trial of stereotactic body radiation therapy for liver metastases. J. Clin. Oncol. 2009, 27, 1572–1578. [Google Scholar] [CrossRef]
- Lee, M.T.; Kim, J.J.; Dawson, L.A.; Dinniwell, R.; Brierley, J.; Lockwood, G.; Wong, R.; Cummings, B.; Ringash, J.; Tse, R.V.; et al. Phase I study of individualized stereotactic body radiotherapy of liver metastases. J. Clin. Oncol. 2009, 27, 1585–1591. [Google Scholar] [CrossRef]
- Vickress, J.; Lock, M.; Lo, S.; Gaede, S.; Leung, A.; Cao, J.; Barnett, R.; Yartsev, S. A multivariable model to predict survival for patients with hepatic carcinoma or liver metastasis receiving radiotherapy. Future Oncol. 2017, 13, 19–30. [Google Scholar] [CrossRef]
- Kalogeridi, M.A.; Zygogianni, A.; Kyrgias, G.; Kouvaris, J.; Chatziioannou, S.; Kelekis, N.; Kouloulias, V. Role of radiotherapy in the management of hepatocellular carcinoma: A systematic review. World J. Hepatol. 2015, 7, 101–112. [Google Scholar] [CrossRef]
- Sperduto, P.W.; Kased, N.; Bhatt, A.; Jensen, A.W.; Brown, P.D.; Shih, H.; Kirkpatrick, J.; Gaspar, L.E.; Fiveash, J.B.; Chiang, V.; et al. Summary report on the graded prognostic assessment: An accurate and facile diagnosis-specific tool to estimate survival for patients with brain metastases. J. Clin. Oncol. 2012, 30, 419–425. [Google Scholar] [CrossRef]
- Soliman, H.; Ringash, J.; Jiang, H.; Singh, K.; Kim, J.; Dinniwell, R.; Brade, A.; Wong, R.; Brierly, J.; Cummings, B. Phase II trial of palliative radiotherapy for hepatocellular carcinoma and liver metastases. J. Clin. Oncol. 2013, 31, 3980–3986. [Google Scholar] [CrossRef] [PubMed]
- Dawson, L.A.; Fairchild, A.M.; Dennis, K.; Mahmud, A.; Stuckless, T.L.; Vincent, F.; Roberge, D.; Follwell, M.; Wong, R.; Jonker, D.J.; et al. Canadian Cancer Trials Group HE.1: A phase III study of palliative radiotherapy for symptomatic hepatocellular carcinoma and liver metastases. J. Clin. Oncol. 2023, 41 (Suppl. S4), LBA492. [Google Scholar] [CrossRef]




| Characteristic | HCC | Mets |
|---|---|---|
| (N = 66) | (N = 129) | |
| Age (years) | 70 ± 12 | 65 ± 12 |
| Sex | ||
| Male | 56 (85%) | 67 (52%) |
| Female | 10 (15%) | 62 (48%) |
| Gross Tumor Volume (cm3) | 384 ± 447 | 351 ± 870 |
| Number of Lesions | ||
| 1 | 45 (68%) | 65 (50%) |
| 2 | 7 (11%) | 32 (25%) |
| 3 | 10 (15%) | 19 (15%) |
| >3 | 4 (6%) | 13 (10%) |
| Child–Pugh Score | ||
| A | 42 (64%) | 99 (77%) |
| B | 22 (33%) | 28 (22%) |
| C | 2 (3%) | 2 (1%) |
| Bilirubin (μmol/L) | 21.6 ± 29 | 17 ± 32.7 |
| Serum Albumin (g/L) | 35 ± 6 | 38 ± 6 |
| INR | 1.36 ± 0.79 | 1.22 ± 0.47 |
| Extrahepatic Disease | ||
| Y | 16 (24.2%) | 73 (56.6%) |
| N | 50 (75.8%) | 56 (43.4%) |
| Ascites | ||
| Y | 19 (29%) | 12 (9%) |
| N | 47 (71%) | 117 (91%) |
| Primary Site (N = 129) | ||
| colorectal carcinoma | 52 (40%) | |
| Cholangiocarcinoma | 22 (17%) | |
| neuroendocrine carcinoma | 10 (8%) | |
| breast carcinoma | 10 (8%) | |
| non-small cell lung carcinoma | 10 (8%) | |
| pancreatic carcinoma | 7 (5%) | |
| renal cell carcinoma | 3 (2%) | |
| metastatic melanoma | 3 (2%) | |
| gastric carcinoma | 3 (2%) | |
| esophageal | 3 (2%) | |
| Other | 6 (4%) | |
| Previous Treatments | ||
| chemo embolization | 17 (26%) | 7 (5%) |
| I-131 lipiodol | 7 (11%) | 6 (5%) |
| radiofrequency ablation | 3 (5%) | 9 (7%) |
| chemotherapy | 6 (9%) | 95 (74%) |
| liver resection | 5 (8%) | 32 (25%) |
| Combined | Parameter | OR | 95% CI | p Value |
| Child–Pugh Score | 0.6 | [0.40–0.82] | 0.002 | |
| Serum Albumin (g/L) | 1.1 | [1.00–1.18] | 0.039 | |
| Extrahepatic disease | 0.4 | [0.16–0.80] | 0.012 | |
| AUC 0.78 | ||||
| HCC | Parameter | OR | 95% CI | p Value |
| Child–Pugh Score | 0.4 | [0.22–0.66] | <0.001 | |
| GTV (100 cm3) | 0.8 | [0.70–0.96] | 0.013 | |
| AUC 0.84 | ||||
| Metastatic | Parameter | OR | 95% CI | p Value |
| Serum Albumin (g/L) | 1.2 | [1.11–1.36] | <0.001 | |
| Colorectal primary | 6.7 | [1.90–23.46] | 0.003 | |
| AUC 0.80 |
| Combined | Score | N | Median Survival (Months) | Percent Living Past 4 Months |
| 0 | 60 | 23.8 | 90.0 | |
| 1 | 26 | 9.0 | 80.1 | |
| 2 | 60 | 9.4 | 81.7 | |
| 3 | 30 | 4.5 | 56.7 | |
| 4 | 9 | 1.8 | 33.3 | |
| 5 | 8 | 2.7 | 25.0 | |
| HCC | Score | N | Median Survival (Months) | Percent Living Past 4 Months |
| 0 | 33 | 20.9 | 93.9 | |
| 1 | 5 | 7.8 | 80.0 | |
| 2 | 19 | 5.7 | 57.9 | |
| 3 | 6 | 8.1 | 50.0 | |
| 4 | 3 | 1.8 | 33.3 | |
| Metastatic | Score | N | Median Survival (Months) | Percent Living Past 4 Months |
| 0 | 36 | 13.9 | 91.7 | |
| 1 | 11 | 9.4 | 90.9 | |
| 2 | 61 | 14.9 | 77.0 | |
| 3 | 16 | 3.7 | 37.5 | |
| 4 | 5 | 2.1 | 20.0 |
Disclaimer/Publisher’s Note: The statements, opinions and data contained in all publications are solely those of the individual author(s) and contributor(s) and not of MDPI and/or the editor(s). MDPI and/or the editor(s) disclaim responsibility for any injury to people or property resulting from any ideas, methods, instructions or products referred to in the content. |
© 2024 by the authors. Licensee MDPI, Basel, Switzerland. This article is an open access article distributed under the terms and conditions of the Creative Commons Attribution (CC BY) license (https://creativecommons.org/licenses/by/4.0/).
Share and Cite
Callan, L.; Razeghi, H.; Grindrod, N.; Gaede, S.; Wong, E.; Tan, D.; Vickress, J.; Patrick, J.; Lock, M. Prognostic Index for Liver Radiation (PILiR). Curr. Oncol. 2024, 31, 5862-5872. https://doi.org/10.3390/curroncol31100436
Callan L, Razeghi H, Grindrod N, Gaede S, Wong E, Tan D, Vickress J, Patrick J, Lock M. Prognostic Index for Liver Radiation (PILiR). Current Oncology. 2024; 31(10):5862-5872. https://doi.org/10.3390/curroncol31100436
Chicago/Turabian StyleCallan, Laura, Haddis Razeghi, Natalie Grindrod, Stewart Gaede, Eugene Wong, David Tan, Jason Vickress, John Patrick, and Michael Lock. 2024. "Prognostic Index for Liver Radiation (PILiR)" Current Oncology 31, no. 10: 5862-5872. https://doi.org/10.3390/curroncol31100436
APA StyleCallan, L., Razeghi, H., Grindrod, N., Gaede, S., Wong, E., Tan, D., Vickress, J., Patrick, J., & Lock, M. (2024). Prognostic Index for Liver Radiation (PILiR). Current Oncology, 31(10), 5862-5872. https://doi.org/10.3390/curroncol31100436

