A Prognostic Nomogram Based on Log Odds of Positive Lymph Nodes to Predict Overall Survival for Non-Metastatic Bladder Cancer Patients after Radical Cystectomy
Abstract
1. Introduction
2. Materials and Methods
2.1. Patient Selection
2.2. Characteristics and Identification of Independent Prognostic Factors
2.3. Establishment, Validation, and Assessment of Prognostic Nomogram
2.4. External Validation of the Nomogram
2.5. Statistical Analysis
3. Results
3.1. Clinical Characteristics
3.2. Survival Outcome and Independent Risk Factors
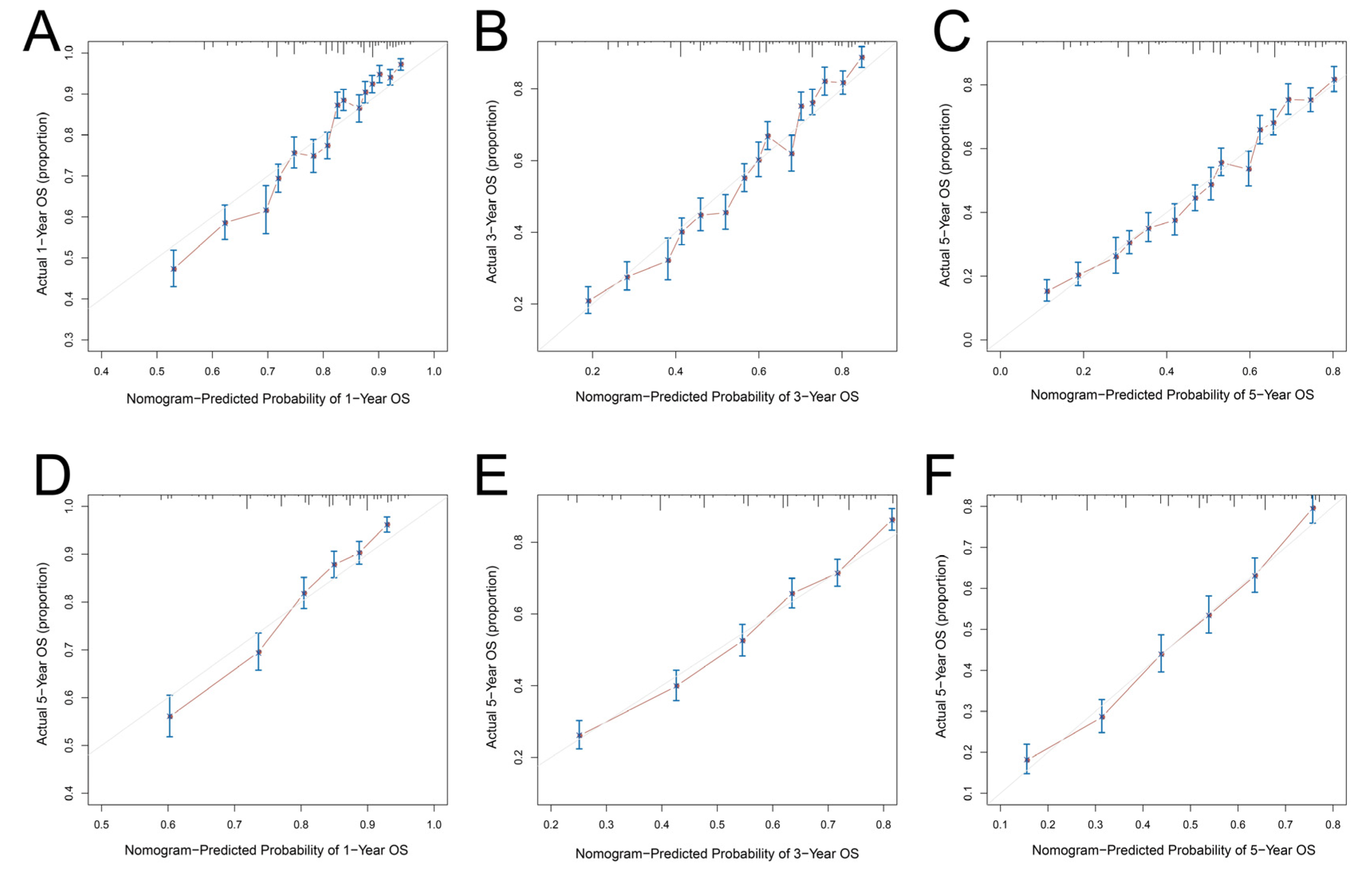
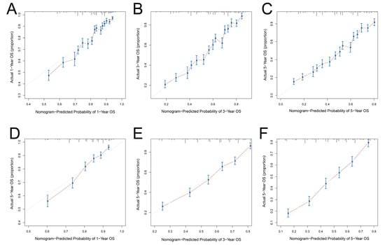
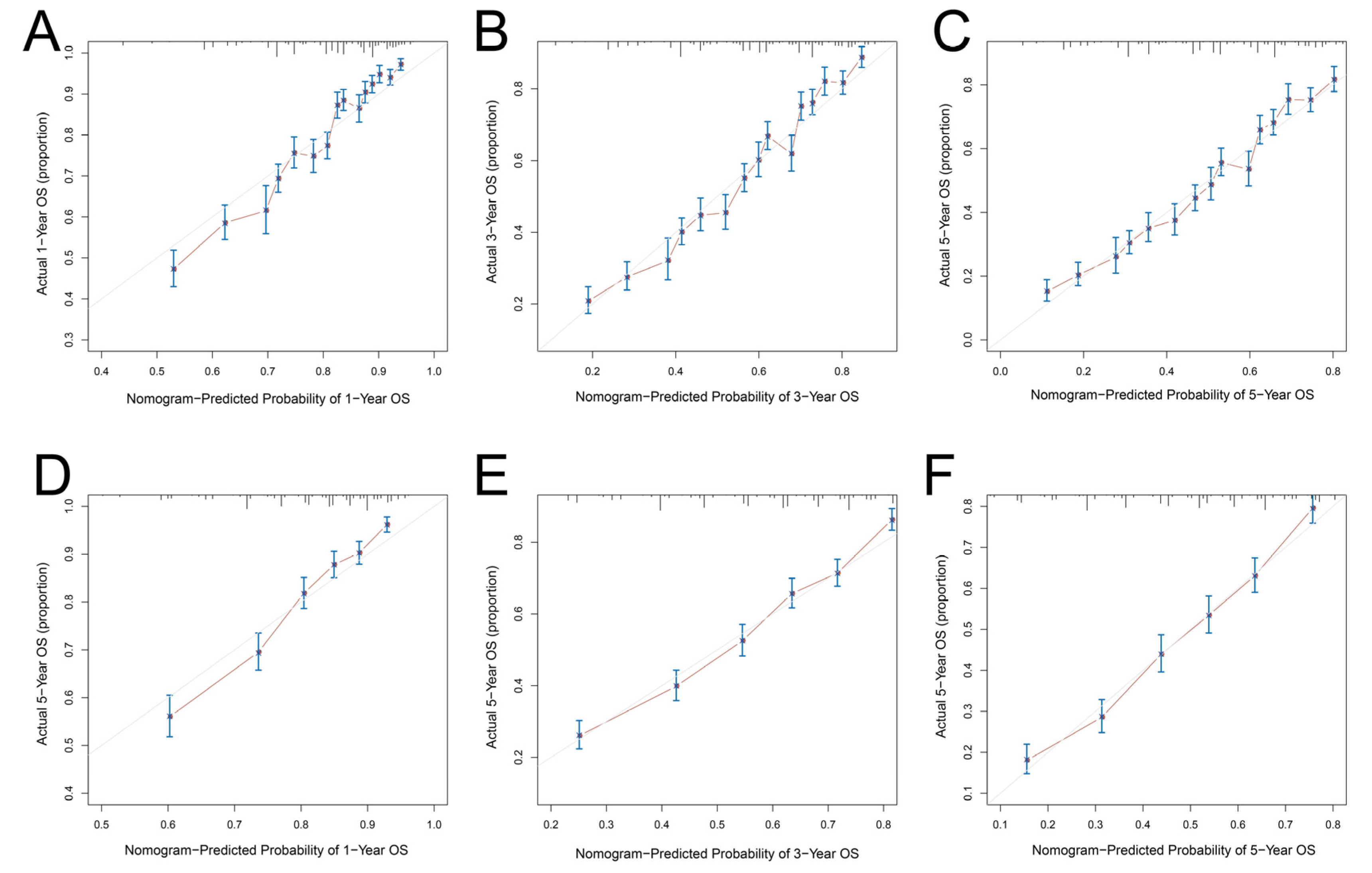
3.3. Establishment, Validation, and Assessment of Prognostic Nomogram
4. Discussion
5. Conclusions
Author Contributions
Funding
Institutional Review Board Statement
Informed Consent Statement
Data Availability Statement
Conflicts of Interest
References
- Sung, H.; Ferlay, J.; Siegel, R.L.; Laversanne, M.; Soerjomataram, I.; Jemal, A.; Bray, F. Global cancer statistics 2020: GLOBOCAN estimates of incidence and mortality worldwide for 36 cancers in 185 countries. CA A Cancer J. Clin. 2021, 71, 209–249. [Google Scholar] [CrossRef] [PubMed]
- Babjuk, M.; Burger, M.; Capoun, O.; Cohen, D.; Compérat, E.M.; Dominguez Escrig, J.L.; Gontero, P.; Liedberg, F.; Masson-Lecomte, A.; Mostafid, A.H.; et al. European Association of Urology Guidelines on Non-muscle-invasive Bladder Cancer (Ta, T1, and Carcinoma in Situ). Eur. Urol. 2022, 81, 75–94. [Google Scholar] [CrossRef] [PubMed]
- Witjes, J.A.; Bruins, H.M.; Cathomas, R.; Compérat, E.M.; Cowan, N.C.; Gakis, G.; Hernández, V.; Espinós, E.L.; Lorch, A.; Neuzillet, Y.; et al. European Association of Urology Guidelines on Muscle-invasive and Metastatic Bladder Cancer: Summary of the 2020 Guidelines. Eur. Urol. 2021, 79, 82–104. [Google Scholar] [CrossRef] [PubMed]
- Stein, J.P.; Lieskovsky, G.; Cote, R.; Groshen, S.; Feng, A.C.; Boyd, S.; Skinner, E.; Bochner, B.; Thangathurai, D.; Mikhail, M.; et al. Radical cystectomy in the treatment of invasive bladder cancer: Long-term results in 1054 patients. J. Clin. Oncol. Off. J. Am. Soc. Clin. Oncol. 2001, 19, 666–675. [Google Scholar] [CrossRef] [PubMed]
- Shariat, S.F.; Karakiewicz, P.I.; Palapattu, G.S.; Lotan, Y.; Rogers, C.G.; Amiel, G.E.; Vazina, A.; Gupta, A.; Bastian, P.J.; Sagalowsky, A.I.; et al. Outcomes of radical cystectomy for transitional cell carcinoma of the bladder: A contemporary series from the Bladder Cancer Research Consortium. J. Urol. 2006, 176 Pt 1, 2414–2422. [Google Scholar] [CrossRef] [PubMed]
- May, M.; Herrmann, E.; Bolenz, C.; Tiemann, A.; Brookman-May, S.; Fritsche, H.M.; Burger, M.; Buchner, A.; Gratzke, C.; Wülfing, C.; et al. Lymph node density affects cancer-specific survival in patients with lymph node-positive urothelial bladder cancer following radical cystectomy. Eur. Urol. 2011, 59, 712–718. [Google Scholar] [CrossRef]
- Shariat, S.F.; Ehdaie, B.; Rink, M.; Cha, E.K.; Svatek, R.S.; Chromecki, T.F.; Fajkovic, H.; Novara, G.; David, S.G.; Daneshmand, S.; et al. Clinical nodal staging scores for bladder cancer: A proposal for preoperative risk assessment. Eur. Urol. 2012, 61, 237–242. [Google Scholar] [CrossRef]
- Zhao, E.; Zhou, C.; Chen, S. Prognostic nomogram based on log odds of positive lymph nodes for gastric carcinoma patients after surgical resection. Future Oncol. (Lond. Engl.) 2019, 15, 4207–4222. [Google Scholar] [CrossRef]
- Li, R.; Lu, Z.; Sun, Z.; Shi, X.; Li, Z.; Shao, W.; Zheng, Y.; Song, J. A Nomogram Based on the Log Odds of Positive Lymph Nodes Predicts the Prognosis of Patients With Distal Cholangiocarcinoma After Surgery. Front. Surg. 2021, 8, 757552. [Google Scholar] [CrossRef]
- Zhou, W.; Huang, C.; Yuan, N. Prognostic nomograms based on log odds of positive lymph nodes for patients with renal cell carcinoma: A retrospective cohort study. Int. J. Surg. (Lond. Engl.) 2018, 60, 28–40. [Google Scholar] [CrossRef]
- Yamashita, K.; Hosoda, K.; Ema, A.; Watanabe, M. Lymph node ratio as a novel and simple prognostic factor in advanced gastric cancer. Eur. J. Surg. Oncol. J. Eur. Soc. Surg. Oncol. Br. Assoc. Surg. Oncol. 2016, 42, 1253–1260. [Google Scholar] [CrossRef] [PubMed]
- Jin, S.; Wang, B.; Zhu, Y.; Dai, W.; Xu, P.; Yang, C.; Shen, Y.; Ye, D. Log Odds Could Better Predict Survival in Muscle-Invasive Bladder Cancer Patients Compared with pN and Lymph Node Ratio. J. Cancer 2019, 10, 249–256. [Google Scholar] [CrossRef] [PubMed]
- Kassouf, W.; Agarwal, P.K.; Herr, H.W.; Munsell, M.F.; Spiess, P.E.; Brown, G.A.; Pisters, L.; Grossman, H.B.; Dinney, C.P.; Kamat, A.M. Lymph node density is superior to TNM nodal status in predicting disease-specific survival after radical cystectomy for bladder cancer: Analysis of pooled data from MDACC and MSKCC. J. Clin. Oncol. Off. J. Am. Soc. Clin. Oncol. 2008, 26, 121–126. [Google Scholar] [CrossRef]
- Fleischmann, A.; Thalmann, G.N.; Markwalder, R.; Studer, U.E. Extracapsular extension of pelvic lymph node metastases from urothelial carcinoma of the bladder is an independent prognostic factor. J. Clin. Oncol. Off. J. Am. Soc. Clin. Oncol. 2005, 23, 2358–2365. [Google Scholar] [CrossRef]
- Ku, J.H.; Kang, M.; Kim, H.S.; Jeong, C.W.; Kwak, C.; Kim, H.H. Lymph node density as a prognostic variable in node-positive bladder cancer: A meta-analysis. BMC Cancer 2015, 15, 447. [Google Scholar] [CrossRef]
- Xu, T.; Zhang, L.; Yu, L.; Zhu, Y.; Fang, H.; Chen, B.; Zhang, H. Log odds of positive lymph nodes is an excellent prognostic factor for patients with rectal cancer after neoadjuvant chemoradiotherapy. Ann. Transl. Med. 2021, 9, 637. [Google Scholar] [CrossRef] [PubMed]
- Yu, Y.; Zhang, P.; Yao, R.; Wang, J.; Wang, P.; Xue, X.; Xiao, J.; Wang, Z. Prognostic value of log odds of positive lymph nodes in node-positive lung squamous cell carcinoma patients after surgery: A SEER population-based study. Transl. Lung Cancer Res. 2020, 9, 1285–1301. [Google Scholar] [CrossRef] [PubMed]
- Patel, K.N.; Salunke, A.; Bhatt, S.; Sharma, M.; Jain, A.; Puj, K.; Rathod, P.; Warikoo, V.; Pandya, S.J. Log ODDS (LODDS) of positive lymph nodes as a predictor of overall survival in squamous cell carcinoma of the penis. J. Surg. Oncol. 2021, 123, 1836–1844. [Google Scholar] [CrossRef]
- Persiani, R.; Cananzi, F.C.; Biondi, A.; Paliani, G.; Tufo, A.; Ferrara, F.; Vigorita, V.; D’Ugo, D. Log odds of positive lymph nodes in colon cancer: A meaningful ratio-based lymph node classification system. World J. Surg. 2012, 36, 667–674. [Google Scholar] [CrossRef]
- Gao, L.; Lyu, J.; Luo, X.; Zhang, D.; Jiang, G.; Zhang, X.; Gao, X.; Zheng, S.; Wang, X.; Shen, Y. Nomogram to predict overall survival based on the log odds of positive lymph nodes for patients with endometrial carcinosarcoma after surgery. BMC Cancer 2021, 21 Pt 1, 1149. [Google Scholar] [CrossRef]
- Karakiewicz, P.I.; Shariat, S.F.; Palapattu, G.S.; Gilad, A.E.; Lotan, Y.; Rogers, C.G.; Vazina, A.; Gupta, A.; Bastian, P.J.; Perrotte, P.; et al. Nomogram for predicting disease recurrence after radical cystectomy for transitional cell carcinoma of the bladder. J. Urol. 2006, 176, 1354–1361. [Google Scholar] [CrossRef]
- Shariat, S.F.; Karakiewicz, P.I.; Palapattu, G.S.; Amiel, G.E.; Lotan, Y.; Rogers, C.G.; Vazina, A.; Bastian, P.J.; Gupta, A.; Sagalowsky, A.I.; et al. Nomograms provide improved accuracy for predicting survival after radical cystectomy. Clin. Cancer Res. Off. J. Am. Assoc. Cancer Res. 2006, 12, 6663–6676. [Google Scholar] [CrossRef] [PubMed]
- Wang, J.; Wu, Y.; He, W.; Yang, B.; Gou, X. Nomogram for predicting overall survival of patients with bladder cancer: A population-based study. Int. J. Biol. Markers 2020, 35, 29–39. [Google Scholar] [CrossRef] [PubMed]
- Yang, Z.; Bai, Y.; Liu, M.; Hu, X.; Han, P. Development and validation of a prognostic nomogram for predicting cancer-specific survival after radical cystectomy in patients with bladder cancer:A population-based study. Cancer Med. 2020, 9, 9303–9314. [Google Scholar] [CrossRef] [PubMed]
- Xie, H.Y.; Zhu, Y.; Yao, X.D.; Zhang, S.L.; Dai, B.; Zhang, H.L.; Shen, Y.J.; Wang, C.F.; Zhang, H.Z.; Ye, D.W. Development of a nomogram to predict non-organ-confined bladder urothelial cancer before radical cystectomy. Int. Urol. Nephrol. 2012, 44, 1711–1719. [Google Scholar] [CrossRef]
- Soria, F.; Pisano, F.; Gontero, P.; Palou, J.; Joniau, S.; Serretta, V.; Larré, S.; Di Stasi, S.; van Rhijn, B.; Witjes, J.A.; et al. Predictors of oncological outcomes in T1G3 patients treated with BCG who undergo radical cystectomy. World J. Urol. 2018, 36, 1775–1781. [Google Scholar] [CrossRef]
- Kitamura, H.; Tsukamoto, T.; Shibata, T.; Masumori, N.; Fujimoto, H.; Hirao, Y.; Fujimoto, K.; Kitamura, Y.; Tomita, Y.; Tobisu, K.; et al. Randomised phase III study of neoadjuvant chemotherapy with methotrexate, doxorubicin, vinblastine and cisplatin followed by radical cystectomy compared with radical cystectomy alone for muscle-invasive bladder cancer: Japan Clinical Oncology Group Study JCOG0209. Ann. Oncol. Off. J. Eur. Soc. Med. Oncol. 2014, 25, 1192–1198. [Google Scholar] [CrossRef]
- Advanced Bladder Cancer (ABC) Meta-analysis Collaboration; Vale, C. Neoadjuvant chemotherapy in invasive bladder cancer: A systematic review and meta-analysis. Lancet (Lond. Engl.) 2003, 361, 1927–1934. [Google Scholar] [CrossRef]
- Griffiths, G.; Hall, R.; Sylvester, R.; Raghavan, D.; Parmar, M.K. International phase III trial assessing neoadjuvant cisplatin, methotrexate, and vinblastine chemotherapy for muscle-invasive bladder cancer: Long-term results of the BA06 30894 trial. J. Clin. Oncol. Off. J. Am. Soc. Clin. Oncol. 2011, 29, 2171–2177. [Google Scholar] [CrossRef]







| Variables | Overall Cohort | Training Cohort | Validation Cohort | p |
|---|---|---|---|---|
| (n = 10,938) | (n = 7658) | (n = 3280) | ||
| Age, n (%) | 1.000 | |||
| <70 | 5889 (53.8%) | 4123 (37.7%) | 1766 (16.1%) | |
| ≥70 | 5049 (46.2%) | 3535 (32.3%) | 1514 (13.8%) | |
| Sex, n (%) | 0.139 | |||
| Female | 2658 (24.3%) | 1830 (16.7%) | 828 (7.6%) | |
| Male | 8280 (75.7%) | 5828 (53.3%) | 2452 (22.4%) | |
| Race, n (%) | 0.856 | |||
| White | 9623 (88%) | 6734 (61.6%) | 2889 (26.4%) | |
| Others/Unknown | 1315 (12%) | 924 (8.4%) | 391 (3.6%) | |
| Primary site, n (%) | 0.362 | |||
| Trigone of bladder | 690 (6.3%) | 495 (4.5%) | 195 (1.8%) | |
| Lateral wall of bladder | 1924 (17.6%) | 1365 (12.5%) | 559 (5.1%) | |
| Posterior wall of bladder | 874 (8%) | 621 (5.7%) | 253 (2.3%) | |
| Others/Unknown | 7450 (68.1%) | 5177 (47.3%) | 2273 (20.8%) | |
| Grade, n (%) | 0.428 | |||
| Low grade | 337 (3.1%) | 243 (2.2%) | 94 (0.9%) | |
| High grade | 10601 (96.9%) | 7415 (67.8%) | 3186 (29.1%) | 0.561 |
| Neoadjuvant chemotherapy, n (%) | ||||
| Yes | 1937 (17.7%) | 1345 (12.3%) | 592 (5.4%) | |
| No | 9001 (82.3%) | 6313 (57.7%) | 2688 (24.6%) | |
| Tumor size, n (%) | 0.967 | |||
| <40 mm | 5364 (49%) | 3754 (34.3%) | 1610 (14.7%) | |
| ≥40 mm | 5574 (51%) | 3904 (35.7%) | 1670 (15.3%) | |
| T, n (%) | 0.882 | |||
| Ta,Tis,T1 | 1176 (10.8%) | 824 (7.5%) | 352 (3.2%) | |
| T2 | 4051 (37%) | 2836 (25.9%) | 1215 (11.1%) | |
| T3 | 3991 (36.5%) | 2781 (25.4%) | 1210 (11.1%) | |
| T4 | 1720 (15.7%) | 1217 (11.1%) | 503 (4.6%) | |
| pN, n (%) | 0.622 | |||
| pN0 | 8032 (73.4%) | 5619 (51.4%) | 2413 (22.1%) | |
| pN1 | 1188 (10.9%) | 822 (7.5%) | 366 (3.3%) | |
| pN2 | 1718 (15.7%) | 1217 (11.1%) | 501 (4.6%) | |
| Examined lymph nodes, mean ± SD | 18.32 ± 14.66 | 18.43 ± 14.72 | 18.04 ± 14.53 | 0.205 |
| Positive lymph nodes, mean ± SD | 0.88 ± 2.5 | 0.91 ± 2.59 | 0.81 ± 2.3 | 0.069 |
| LNR, n (%) | 0.916 | |||
| LNR1 | 8066 (73.7%) | 5648 (51.6%) | 2418 (22.1%) | |
| LNR2 | 1892 (17.3%) | 1329 (12.2%) | 563 (5.1%) | |
| LNR3 | 980 (9%) | 681 (6.2%) | 299 (2.7%) | |
| LODDS, n (%) | 0.629 | |||
| LODDS1 | 2884 (26.4%) | 2005 (18.3%) | 879 (8%) | |
| LODDS2 | 5779 (52.8%) | 4069 (37.2%) | 1710 (15.6%) | |
| LODDS3 | 2275 (20.8%) | 1584 (14.5%) | 691 (6.3%) |
| Variable | Univariate Analysis | Multivariate Analysis | ||||
|---|---|---|---|---|---|---|
| HR | 95% CI | p Value | HR | 95% CI | p Value | |
| Age, n (%) | ||||||
| <70 | Reference | Reference | ||||
| ≥70 | 1.620 | 1.54–1.7 | <0.001 | 1.580 | 1.5–1.67 | <0.001 |
| Sex, n (%) | ||||||
| Male | Reference | |||||
| Female | 1.050 | 0.99–1.11 | 0.111 | |||
| Race, n (%) | ||||||
| White | Reference | Reference | ||||
| Others/Unknown | 1.090 | 1.01–1.17 | 0.036 | 1.070 | 0.99–1.15 | 0.101 |
| Primary site, n (%) | ||||||
| Trigone of bladder | Reference | Reference | ||||
| Lateral wall of bladder | 0.810 | 0.72–0.91 | 0.001 | 0.940 | 0.84–1.06 | 0.339 |
| Posterior wall of bladder | 0.890 | 0.78–1.02 | 0.103 | 0.940 | 0.82–1.07 | 0.353 |
| Others/Unknown | 1.010 | 0.92–1.12 | 0.782 | 1.040 | 0.93–1.15 | 0.497 |
| Grade, n (%) | ||||||
| Low grade | Reference | - | - | - | ||
| High grade | 1.080 | 0.94–1.25 | 0.283 | - | - | - |
| Neoadjuvant chemotherapy, n (%) | ||||||
| Yes | Reference | Reference | ||||
| No | 1.410 | 1.3–1.52 | <0.001 | 1.220 | 1.13–1.32 | <0.001 |
| Tumor size, n (%) | ||||||
| <40 mm | Reference | Reference | ||||
| ≥40 mm | 1.300 | 1.24–1.37 | <0.001 | 1.170 | 1.11–1.23 | <0.001 |
| T, n (%) | ||||||
| Ta,Tis,T1 | Reference | Reference | ||||
| T2 | 1.340 | 1.2–1.5 | <0.001 | 1.300 | 1.16–1.46 | <0.001 |
| T3 | 2.910 | 2.61–3.25 | <0.001 | 2.320 | 2.08–2.6 | <0.001 |
| T4 | 4.120 | 3.67–4.62 | <0.001 | 3.030 | 2.69–3.42 | <0.001 |
| pN, n (%) | ||||||
| pN0 | Reference | Reference | ||||
| pN1 | 1.910 | 1.77–2.06 | <0.001 | 0.800 | 0.48–1.34 | 0.401 |
| pN2 | 2.720 | 2.55–2.89 | <0.001 | 0.830 | 0.5–1.4 | 0.492 |
| LNR, n (%) | ||||||
| LNR1 | Reference | Reference | ||||
| LNR2 | 1.980 | 1.86–2.1 | <0.001 | 1.670 | 1–2.79 | 0.051 |
| LNR3 | 3.460 | 3.21–3.73 | <0.001 | 2.210 | 1.31–3.73 | 0.003 |
| LODDS, n (%) | ||||||
| LODDS1 | Reference | Reference | ||||
| LODDS2 | 1.450 | 1.35–1.55 | <0.001 | 1.220 | 1.13–1.31 | <0.001 |
| LODDS3 | 3.080 | 2.86–3.32 | <0.001 | 1.580 | 1.43–1.74 | <0.001 |
| C-Index | AUC | |||
|---|---|---|---|---|
| 1-Year OS | 3-Year OS | 5-Year OS | ||
| pN | 0.601 | 0.623 | 0.641 | 0.632 |
| LNR | 0.604 | 0.628 | 0.643 | 0.632 |
| LODDS | 0.608 | 0.633 | 0.643 | 0.638 |
Publisher’s Note: MDPI stays neutral with regard to jurisdictional claims in published maps and institutional affiliations. |
© 2022 by the authors. Licensee MDPI, Basel, Switzerland. This article is an open access article distributed under the terms and conditions of the Creative Commons Attribution (CC BY) license (https://creativecommons.org/licenses/by/4.0/).
Share and Cite
Yang, J.; Huang, H.; Li, W.; Ran, S.; Hu, J.; Zhang, Y.; Li, W.; Chen, C.; He, W. A Prognostic Nomogram Based on Log Odds of Positive Lymph Nodes to Predict Overall Survival for Non-Metastatic Bladder Cancer Patients after Radical Cystectomy. Curr. Oncol. 2022, 29, 6834-6846. https://doi.org/10.3390/curroncol29100539
Yang J, Huang H, Li W, Ran S, Hu J, Zhang Y, Li W, Chen C, He W. A Prognostic Nomogram Based on Log Odds of Positive Lymph Nodes to Predict Overall Survival for Non-Metastatic Bladder Cancer Patients after Radical Cystectomy. Current Oncology. 2022; 29(10):6834-6846. https://doi.org/10.3390/curroncol29100539
Chicago/Turabian StyleYang, Jingtian, Huasheng Huang, Wenshuang Li, Shengming Ran, Jintao Hu, Yishan Zhang, Wenjie Li, Changhao Chen, and Wang He. 2022. "A Prognostic Nomogram Based on Log Odds of Positive Lymph Nodes to Predict Overall Survival for Non-Metastatic Bladder Cancer Patients after Radical Cystectomy" Current Oncology 29, no. 10: 6834-6846. https://doi.org/10.3390/curroncol29100539
APA StyleYang, J., Huang, H., Li, W., Ran, S., Hu, J., Zhang, Y., Li, W., Chen, C., & He, W. (2022). A Prognostic Nomogram Based on Log Odds of Positive Lymph Nodes to Predict Overall Survival for Non-Metastatic Bladder Cancer Patients after Radical Cystectomy. Current Oncology, 29(10), 6834-6846. https://doi.org/10.3390/curroncol29100539
