Radiation-Induced Emesis (RIE) in Extended-Field Radiotherapy for Gynecological Malignancies: Dosimetric and Non-Dosimetric Factors
Abstract
:1. Introduction
2. Materials and Methods
2.1. Patients and Radiotherapy
2.2. Statistics
3. Results
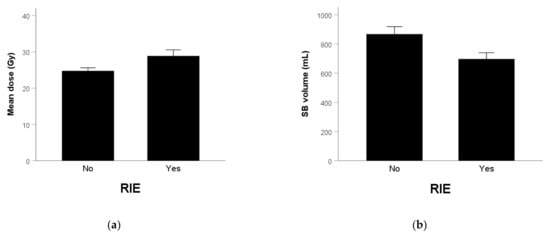
3.1. Dosimetric Data between Patients with and without RIE
3.2. Univariate and Multivariate Analyses of RIE
4. Discussion
5. Conclusions
Author Contributions
Funding
Institutional Review Board Statement
Informed Consent Statement
Data Availability Statement
Acknowledgments
Conflicts of Interest
Abbreviations
| Extended-field radiotherapy | EFRT |
| Whole-pelvic radiotherapy | WPRT |
| Concurrent chemoradiotherapy | CCRT |
| Small bowel | SB |
| Cardiac vagal tone | CVT |
| Computed tomography | CT |
| Heart rate variability | HRV |
| Body mass index | BMI |
| Intensity-modulated radiotherapy | IMRT |
| Volumetric modulated arc therapy | VMAT |
| Planning target volume | PTV |
References
- Maranzano, E.; De Angelis, V.; Pergolizzi, S.; Lupattelli, M.; Frata, P.; Spagnesi, S.; Frisio, M.L.; Mandoliti, G.; Malinverni, G.; Trippa, F.; et al. A prospective observational trial on emesis in radiotherapy: Analysis of 1020 patients recruited in 45 Italian radiation oncology centres. Radiother. Oncol. 2010, 94, 36–41. [Google Scholar] [CrossRef]
- Scarantino, C.W.; Ornitz, R.D.; Hoffman, L.G.; Anderson, R.F., Jr. Radiation-induced emesis: Effects of ondansetron. Semin. Oncol. 1992, 19, 38–43. [Google Scholar]
- Roila, F.; Hesketh, P.J.; Herrstedt, J. Antiemetic Subcommitte of the Multinational Association of Supportive Care in Cancer. Prevention of chemotherapy- and radiotherapy-induced emesis: Results of the 2004 Perugia International Antiemetic Consensus Conference. Ann. Oncol. 2006, 17, 20–28. [Google Scholar] [PubMed]
- Wang, T.J.C.; Fontenla, S.; McCann, P.; Young, R.J.; McNamara, S.; Rao, S.; Mechalakos, J.G.; Lee, N.Y. Correlation of planned dose to area postrema and dorsal vagal complex with clinical symptoms of nausea and vomiting in oropharyngeal cancer (OPC) patients treated with radiation alone using IMRT. J. Radiat. Oncol. 2013, 2, 407–412. [Google Scholar] [CrossRef] [Green Version]
- Endo, T.; Minami, M.; Hirafuji, M.; Ogawa, T.; Akita, K.; Nemoto, M.; Saito, H.; Yoshioka, M.; Parvez, S.H. Neurochemistry and neuropharmacology of emesis—The role of serotonin. Toxicology 2000, 153, 189–201. [Google Scholar] [CrossRef]
- Naylor, R.J.; Rudd, J.A. Mechanisms of chemotherapy/radioterapy-induced emesis in animal models. Oncology. 1996, 53, 8–17. [Google Scholar] [CrossRef] [PubMed]
- Smith, H.S.; Cox, L.R.; Smith, E.J. 5-HT3 receptor antagonists for the treatment of nausea/vomiting. Ann. Palliat. Med. 2012, 1, 115–120. [Google Scholar] [PubMed]
- Bertrand, P.P.; Bertrand, R.L. Serotonin release and uptake in the gastrointestinal tract. Auton. Neurosci. 2010, 153, 47–57. [Google Scholar] [CrossRef] [Green Version]
- Gershon, M.D. Review article: Serotonin receptors and transporters—Roles in normal and abnormal gastrointestinal motility. Aliment. Pharmacol. Ther. 2004, 20, 3–14. [Google Scholar] [CrossRef]
- Klinge, M.W.; Sutter, N.; Mark, E.B.; Haase, A.M.; Borghammer, P.; Schlageter, V.; Lund, S.; Fleischer, J.; Knudsen, K.; Drewes, A.M.; et al. Gastric emptying time and volume of the small intestine as objective markers in patients with symptoms of diabetic enteropathy. J. Neurogastroenterol. Motil. 2021, 27, 390–399. [Google Scholar] [CrossRef]
- Brock, C.; Jessen, N.; Brock, B.; Jakobsen, P.E.; Hansen, T.K.; Rantanen, J.M.; Riahi, S.; Dimitrova, Y.K.; Dons-Jensen, A.; Aziz, Q.; et al. Cardiac vagal tone, a non-invasive measure of parasympathetic tone, is a clinically relevant tool in Type 1 diabetes mellitus. Diabet. Med. 2017, 34, 1428–1434. [Google Scholar] [CrossRef] [PubMed]
- Farmer, A.D.; Coen, S.J.; Kano, M.; Weltens, N.; Ly, H.G.; Botha, C.; Paine, P.A.; Oudenhove, L.V.; Aziz, Q. Normal values and reproducibility of the real-time index of vagal tone in healthy humans: A multi-center study. Ann. Gastroenterol. 2014, 27, 362–368. [Google Scholar]
- Thompson, J.J.; Elsenbruch, S.; Harnish, M.J.; Orr, W.C. Autonomic functioning during REM sleep differentiates IBS symptom subgroups. Am. J. Gastroenterol. 2002, 97, 3147–3153. [Google Scholar] [CrossRef]
- Liu, Q.; Wang, E.M.; Yan, X.J.; Chen, S.L. Autonomic functioning in irritable bowel syndrome measured by heart rate variability: A meta-analysis. J. Dig. Dis. 2013, 14, 638–646. [Google Scholar] [CrossRef]
- Pellissier, S.; Dantzer, C.; Mondillon, L.; Trocme, C.; Gauchez, A.S.; Ducros, V.; Mathieu, N.; Toussaint, B.; Fournier, A.; Canini, F.; et al. Relationship between vagal tone, cortisol, TNF-alpha, epinephrine and negative affects in Crohn’s disease and irritable bowel syndrome. PLoS ONE 2014, 9, e105328. [Google Scholar] [CrossRef] [PubMed] [Green Version]
- Yang, B.; Liu, X.; Hu, K.; Qiu, J.; Zhang, F.; Hou, X.; Yan, J.; Meng, Q.; Wang, W.; Yu, L.; et al. Reduction of dose to duodenum with a refined delineation method of para-aortic region in patients with locally advanced cervical cancer receiving prophylactic extended-field radiotherapy. Radiat. Oncol. 2019, 14, 196. [Google Scholar] [CrossRef] [PubMed] [Green Version]
- Gupta, M.; Chopra, S.; Kunder, S.; Dheera, A.; Sampathirao, D.; Engineer, R.; Ghosh, J.; Gurram, L.; Mahantshetty, U.; Gupta, S.; et al. Early toxicity and treatment outcomes of extended field-intensity modulated radiotherapy for cervical cancer patients with para-aortic nodal metastasis. Ecancermedicalscience 2019, 13, 957. [Google Scholar] [CrossRef]
- Jakubowicz, J.; Blecharz, P.; Skotnicki, P.; Reinfuss, M.; Walasek, T.; Luczynska, E. Early toxicity and treatment outcomes of extended field-intensity modulated radiotherapy for cervical cancer patients with para-aortic nodal metastasis. Eur. J. Gynaecol. Oncol. 2014, 35, 393–399. [Google Scholar]
- Uno, T.; Mitsuhashi, A.; Isobe, K.; Yamamoto, S.; Kawakami, H.; Ueno, N.; Usui, H.; Tate, S.; Kawata, T.; Ito, H. Concurrent daily cisplatin and extended-field radiation therapy for carcinoma of the cervix. Int. J. Gynecol. Cancer 2008, 18, 80–84. [Google Scholar] [CrossRef] [PubMed]
- Peters, W.A., 3rd; Liu, P.Y.; Barrett, R.J., 2nd; Stock, R.J.; Monk, B.J.; Berek, J.S.; Souhami, L.; Grigsby, P.; Gordon, W., Jr.; Alberts, D.S. Concurrent chemotherapy and pelvic radiation therapy compared with pelvic radiation therapy alone as adjuvant therapy after radical surgery in high-risk early-stage cancer of the cervix. J. Clin. Oncol. 2000, 18, 1606–1613. [Google Scholar] [CrossRef]
- McKenzie, E.; Zaki, P.; Raman, S.; Olson, R.; McFarlane, T.; DeAngelis, C.; Chan, S.; Pidduck, W.; Razvi, Y.; Bushehri, A.; et al. Radiation-induced nausea and vomiting: A comparison between MASCC/ESMO, ASCO, and NCCN antiemetic guidelines. Support. Care Cancer 2019, 27, 783–791. [Google Scholar] [CrossRef] [PubMed]
- Ruhlmann, C.H.; Jahn, F.; Jordan, K.; Dennis, K.; Maranzano, E.; Molassiotis, A.; Roila, F.; Feyer, P. 2016 updated MASCC/ESMO consensus recommendations: Prevention of radiotherapy-induced nausea and vomiting. Support. Care Cancer 2017, 25, 309–316. [Google Scholar] [CrossRef] [PubMed]
- Marnitz, S.; Wlodarczyk, W.; Neumann, O.; Koehler, C.; Weihrauch, M.; Budach, V.; Cozzi, L. Which technique for radiation is most beneficial for patients with locally advanced cervical cancer? Intensity modulated proton therapy versus intensity modulated photon treatment, helical tomotherapy and volumetric arc therapy for primary radiation—An intraindividual comparison. Radiat. Oncol. 2015, 10, 91. [Google Scholar] [PubMed] [Green Version]
- Massaccesi, M.; Cusumano, D.; Boldrini, L.; Dinapoli, N.; Fionda, B.; Teodoli, S.; Azario, L.; Mattiucci, G.C.; Balducci, M.; Cellini, F.; et al. A new frontier of image guidance: Organs at risk avoidance with MRI-guided respiratory-gated intensity modulated radiotherapy: Technical note and report of a case. J. Appl. Clin. Med. Phys. 2019, 20, 194–198. [Google Scholar] [CrossRef] [PubMed] [Green Version]
- Boldrini, L.; Piras, A.; Chiloiro, G.; Autorino, R.; Cellini, F.; Cusumano, D.; Fionda, B.; D’Aviero, A.; Campitelli, M.; Marazzi, F.; et al. Low Tesla magnetic resonance guided radiotherapy for locally advanced cervical cancer: First clinical experience. Tumori 2020, 106, 497–505. [Google Scholar] [CrossRef] [PubMed]
- Feyer, P.C.; Stewart, A.L.; Titlbach, O.J. Aetiology and prevention of emesis induced by radiotherapy. Support. Care Cancer 1998, 6, 253–260. [Google Scholar] [CrossRef]


| Characteristics | Mean ± SEM or Number (%) |
|---|---|
| Age (years) | 52.0 ± 1.7 |
| BMI (kg/m2) | 24.5 ± 0.5 |
| Diabetes | |
| No | 40 (88.9%) |
| Yes | 5 (11.1%) |
| Hypertension | |
| No | 37 (82.2%) |
| Yes | 8 (17.8%) |
| Disease | |
| Cervical cancer | 37 (82.2%) |
| Endometrial cancer | 8 (17.8%) |
| Prior chemotherapy | |
| No | 38 (84.4%) |
| Yes | 7 (15.6%) |
| CCRT | |
| No | 6 (13.3%) |
| Yes | 39 (86.7%) |
| IMRT/VMAT | |
| No | 13 (28.9%) |
| Yes | 32 (71.1%) |
| EFRT dose (Gy) | |
| ≤40 | 6 (13.3%) |
| 45 | 37 (82.2%) |
| 50–50.4 | 2 (4.5%) |
| Small-bowel volume (mL) | |
| <720 | 17 (37.8%) |
| ≥720 | 28 (62.2%) |
| Small-bowel mean dose (Gy) (%) | |
| <28.35 (63%) | 33 (73.3%) |
| ≥28.35 (63%) | 12 (26.7%) |
| Parameters | Category | % | p Value |
|---|---|---|---|
| Age (years) | <56 | 39.3% | 0.017 |
| ≥56 | 5.9% | ||
| BMI (Kg/m2) | <24 | 34.8% | 0.208 |
| ≥24 | 18.2% | ||
| SB volume (mL) | <720 | 52.9% | 0.004 |
| ≥720 | 10.7% | ||
| Mean SB dose (%) | <63% | 15.2% | 0.007 |
| ≥63% | 58.3% | ||
| IMRT/VMAT | No | 7.7% | 0.134 |
| Yes | 34.4% | ||
| PTV (mL) | <1635 | 31.8% | 0.445 |
| ≥1635 | 21.7% | ||
| Prior chemotherapy | No | 26.3% | 1.000 |
| Yes | 28.6% | ||
| CCRT | No | 33.3% | 0.650 |
| Yes | 25.6% |
| Parameters | Category | OR (95% CI) | p Value |
|---|---|---|---|
| SB volume (mL) | <720 | reference | 0.097 |
| ≥720 | 0.197 (0.029–1.343) | ||
| Mean SB dose (%) | <63% | reference | 0.049 |
| ≥63% | 6.104 (1.012–36.8180) | ||
| PTV (mL) | <1635 | reference | 0.654 |
| ≥1635 | 1.631 (0.191–13.914) | ||
| Age (years) | <56 | reference | 0.113 |
| ≥56 | 0.134 (0.011–1.607) | ||
| IMRT/VMAT | No | reference | 0.364 |
| Yes | 3.299 (0.251–43.391) | ||
| CCRT | No | reference | 0.646 |
| Yes | 0.525 (0.034–8.196) |
| Parameters | Category | OR (95% CI) | p Value |
|---|---|---|---|
| SB volume (mL) | <720 | reference | 0.097 |
| ≥720 | 0.160 (0.018–1.393) | ||
| Mean SB dose (%) | <63% | reference | 0.014 |
| ≥63% | 13.814 (1.698–112.353) | ||
| PTV (mL) | <1635 | reference | 0.576 |
| ≥1635 | 0.527 (0.056–4.982) | ||
| Age (years) | <56 | reference | 0.118 |
| ≥56 | 0.112 (0.007–1.740) | ||
| CCRT | No | reference | 0.532 |
| Yes | 0.389 (0.020–7.490) |
Publisher’s Note: MDPI stays neutral with regard to jurisdictional claims in published maps and institutional affiliations. |
© 2021 by the authors. Licensee MDPI, Basel, Switzerland. This article is an open access article distributed under the terms and conditions of the Creative Commons Attribution (CC BY) license (https://creativecommons.org/licenses/by/4.0/).
Share and Cite
Wang, Y.-M.; Chen, Y.-F.; Lee, P.-Y.; Ho, M.-W.; Huang, E.-Y. Radiation-Induced Emesis (RIE) in Extended-Field Radiotherapy for Gynecological Malignancies: Dosimetric and Non-Dosimetric Factors. Curr. Oncol. 2021, 28, 3602-3609. https://doi.org/10.3390/curroncol28050308
Wang Y-M, Chen Y-F, Lee P-Y, Ho M-W, Huang E-Y. Radiation-Induced Emesis (RIE) in Extended-Field Radiotherapy for Gynecological Malignancies: Dosimetric and Non-Dosimetric Factors. Current Oncology. 2021; 28(5):3602-3609. https://doi.org/10.3390/curroncol28050308
Chicago/Turabian StyleWang, Yu-Ming, Yi-Fan Chen, Pei-Yi Lee, Meng-Wei Ho, and Eng-Yen Huang. 2021. "Radiation-Induced Emesis (RIE) in Extended-Field Radiotherapy for Gynecological Malignancies: Dosimetric and Non-Dosimetric Factors" Current Oncology 28, no. 5: 3602-3609. https://doi.org/10.3390/curroncol28050308
APA StyleWang, Y.-M., Chen, Y.-F., Lee, P.-Y., Ho, M.-W., & Huang, E.-Y. (2021). Radiation-Induced Emesis (RIE) in Extended-Field Radiotherapy for Gynecological Malignancies: Dosimetric and Non-Dosimetric Factors. Current Oncology, 28(5), 3602-3609. https://doi.org/10.3390/curroncol28050308

