Experimental Study on the Cracking and Mechanical Properties of Lime Soil with Different Slaking Conditions of Newly Repaired Earthen City Walls
Abstract
:1. Introduction
2. Materials and Methods
2.1. Materials
2.2. Methods
2.2.1. Experimental Factors
2.2.2. Lime Soil Slaking
2.2.3. Sieve Analysis of Particle Gradation
2.2.4. The pH Tests
2.2.5. Surface Cracks
2.2.6. Triaxial Compression Test under Low Confining Pressure
2.2.7. X-ray Diffraction
2.2.8. Scanning Electron Micrographs
3. Results
3.1. Particle Gradation
3.2. Analysis of pH Test Results
3.3. Surface Cracks
3.4. Analysis of Mechanical Properties
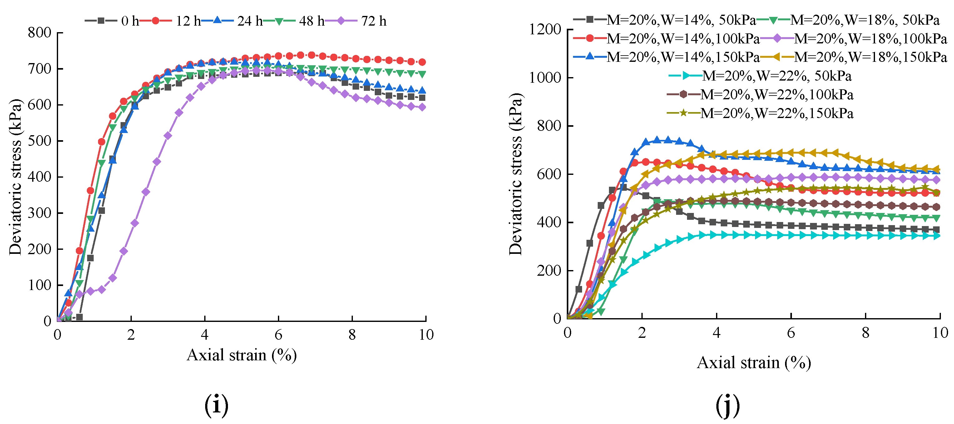
3.4.1. Stress–Strain Curve
3.4.2. Shear Index
3.5. Micro Mechanism Analysis
4. Discussion
5. Conclusions
- With the increase in slaking time, the crack ratio of the specimen decreases, the cohesion first increases and then decreases, and the internal friction angle first decreases and then increases. The particle curve of lime soil shows an overall downward trend; the pH value first increases and then decreases. Proper slaking time (12 h) of lime soil can accelerate the reaction rate of lime in a high alkali environment, improve particle gradation, further reduce surface cracks and improve mechanical properties. However, it is worth noting that the long-term slaking process has a negative impact on the shear index of lime soil.
- The less lime and more water, the less the specimen crack ratio. The more lime and less water, the stronger the mechanical properties of lime soil. The more lime and water, the more the number of particles with particle size less than 2 mm, and the fewer particles of sizes less than 0.074 mm, the greater the peak value. In order to avoid the surface diseases caused by the chemical reaction of lime soil and improve the durability, it is suggested that the specimen should have a high moisture content and be slaked for 12 h in practical engineering.
- After the lime soil is slaked for 12 h, the particles less than 0.075 mm increase and the pH value increases to 13. Under a high pH environment, the unslaked lime causes the crushing of clay particles, and the resulting fine cracks explain the cracks on the outer surface of lime soil specimens. Ca(OH)2, CaCO3, and other cementitious substances produced by reasonably slaking lime soil can improve the crushing of clay particles in a high pH environment, form aggregates, fill the pores between the specimen particles and effectively improve the mechanical properties.
- Proper slaking of lime soil for 12 h and a high moisture content can accelerate the reaction speed of lime, reduce the damage to specimen particles in a high pH environment, improve particle gradation, further reduce surface cracks and improve mechanical properties. By controlling the slaking time and moisture content of lime soil, the durability and surface performance of the repaired city wall can be improved, which is of great significance to the restoration of Kaifeng city wall.
Author Contributions
Funding
Institutional Review Board Statement
Informed Consent Statement
Data Availability Statement
Conflicts of Interest
References
- Sall, M.; Dieye, G.; Traoré, A.; Gueye, P.; Diouf, S.; Wade, A.; Diop, D. Technological and Environmental Behavior of Coal Fly Ash in Lime-Based Materials. Geomaterials 2022, 12, 15–29. [Google Scholar] [CrossRef]
- Xu, L.; Zha, F.; Liu, C.; Kang, B.; Liu, J.; Yu, C. Experimental investigation on carbonation behavior in lime-stabilized expansive soil. Adv. Civ. Eng. 2020, 2020, 7865469. [Google Scholar] [CrossRef] [Green Version]
- Sadisun, I.A.; Shimada, H.; Ichinose, M. Study on the Physical Disintegration Characteristics of Subang Claystone Subjected to a Modified Slaking Index Test. Geotech. Geol. Eng. 2005, 23, 199–218. [Google Scholar] [CrossRef]
- Boardman, D.I.; Glendinning, S.; Rogers, C. Development of stabilisation and solidification in lime-clay mixes. Geotechnique 2001, 51, 533–543. [Google Scholar] [CrossRef]
- Hasan, B.; Sedat, A.; Başak, I. Characteristics of brick used as aggregate in historic brick-lime mortars and plasters. Cem. Concr. Res. 2006, 36, 1115–1122. [Google Scholar] [CrossRef]
- Wu, Q.Z. Historical experience and reference of flood control in ancient cities of China. City Plan. Rev. 2002, 5, 76–84. [Google Scholar]
- Shen, Y.; Tang, Y.; Yin, J.; Li, M.; Wen, T. An experimental investigation on strength characteristics of fiber-reinforced clayey soil treated with lime or cement. Constr. Build. Mater. 2021, 294, 123537. [Google Scholar] [CrossRef]
- Kong, L.; Zhou, B.; Bai, H.; Chen, W. Experimental study of deformation and strength characteristics of Jingmen unsaturated expansive soil. Rock Soil Mech. 2010, 31, 3036–3042. [Google Scholar] [CrossRef]
- Jiang, H.; Huang, Z.; Ma, F.; Luo, X. Analysis of Strength Development and Soil–Water Characteristics of Rice Husk Ash–Lime Stabilized Soft Soil. Materials 2019, 12, 3873. [Google Scholar] [CrossRef] [Green Version]
- Larson, J.H.; Madden, C.; Sutherland, I. Ince Blundell: The preservation of an important collection of classical sculpture. J. Cult. Herit. 2000, 1, S79–S87. [Google Scholar] [CrossRef]
- Zhang, Z.; Yang, J.; Yue, J. Research on the Mechanism and Prevention Methods of the Drying Shrinkage Effect of Earthen Sites. Materials 2022, 15, 2595. [Google Scholar] [CrossRef] [PubMed]
- Al-Taie, A.; Disfani, M.; Evans, R.; Arulrajah, A.; Horpibulsuk, S. Impact of curing on behaviour of basaltic expansive clay. Road Mater. Pavement Des. 2018, 19, 624–645. [Google Scholar] [CrossRef]
- Xu, X.; Fan, X.; Yang, C. Investigation on pHysical properties, strength and pHase evolution of binary cementitious materials made of CFBC ash and lime. Constr. Build. Mater. 2020, 265, 120302. [Google Scholar] [CrossRef]
- Chitragar, S.F.; Shivayogimath, C.B.; Mulangi, R.H. Study on strength and volume change behavior of stabilized black cotton soil with different pH of soil-lime mixes for pavement subgrade. Int. J. Pavement Res. Technol. 2021, 14, 543–548. [Google Scholar] [CrossRef]
- Wang, Y.; Cui, Y.J.; Tang, A.M.; Tang, C.S.; Benahmed, N. Effects of aggregate size on water retention capacity and microstructure of lime-treated silty soil. Géotech. Lett. 2015, 5, 269–274. [Google Scholar] [CrossRef]
- Zhang, Q.Y.; Chen, W.W.; Yuan, P.B. Experimental Study on Impregnation and Consolidation Effects of Modified Polyvinyl Alcohol Solution for Coarse-Grained Soils: A Case Study on the Subashi Buddhist Temple Ruins of China. Bull. Eng. Geol. Environ. 2020, 79, 1487–1500. [Google Scholar] [CrossRef]
- Moretti, L.; Confificconi, M.; Natali, S.; Andrea, A. Statistical analyses of SEM-EDS results to predict the quantity of added quicklime in a treated clayey soil. Constr. Build. Mater. 2020, 10, 2569–2574. [Google Scholar] [CrossRef]
- Maghomi, A.; Bakhtiari, M.; Heidari, M. Stabilization and improvement soils characteristics using natural and industrial additives. Bull. Eng. Geol. Environ. 2022, 81, 218. [Google Scholar] [CrossRef]
- Li, M. Hydrophobicity & Carbonation Protection of Earthen Monument in Moist in Moist States; Lanzhou University: Lanzhou, China, 2012. [Google Scholar]
- Yan, X.; Zhang, F.; Liang, S.; Wu, W.; Zhang, J. Characteristics of special surface area and cation exchange capacity of lime-stabilized loess. Acta Sci. Nat. Univ. Sunyatseni 2014, 53, 149–154. [Google Scholar] [CrossRef]
- Mahdi, K.; Rajabi, A.M.; Mohammadi, M. Mechanical properties of silty clay soil treated with a mixture of lime and zinc oxide nanoparticles. Constr. Build. Mater. 2021, 281, 122548. [Google Scholar] [CrossRef]
- Rao, S.M.; Shivananda, P. Role of curing temperature in progress of lime-soil reactions. Geotech. Geol. Eng. 2005, 23, 79–85. [Google Scholar] [CrossRef]
- Zhu, H.; Xu, D.; Liu, W. Properties optimization of hydrated lime used in ancient building restoration and its mechanism. J. Build. Mater. 2017, 20, 902–908. [Google Scholar] [CrossRef]
- Giulia, G.; Costanza, C.; Manuela, C.; Dimitri, D.; Michaël, P.; Giacomo, R.; Enza, V. Multi-scale analysis of the mechanicalimprovement induced by lime addition on a pyroclastic soil. Eng. Geol. 2017, 221, 193–201. [Google Scholar] [CrossRef]
- Rao, S.M.; Shivananda, P. Compressibility behaviour of lime-stabilized clay. Geotech. Geol. Eng. 2005, 23, 309–319. [Google Scholar] [CrossRef]
- Al-Mukhtar, M.; Lasledj, A.; Alcover, J.F. Behaviour and mineralogy changes in lime-treated expansive soil at 50 °C. Appl. Clay Sci. 2010, 50, 199–203. [Google Scholar] [CrossRef]
- Sante, M.D.; Fratalocchi, E.; Mazzieri, F.; Pasqualini, E. Time of reactions in a lime treated clayey soil and influence of curing conditions on its microstructure and behaviour. Appl. Clay Sci. 2014, 99, 100–109. [Google Scholar] [CrossRef]
- Jha, A.K.; Sivapullalah, P.V. Susceptibility of strength development by lime in gypsiferous soil—A micro mechanistic study. Appl. Clay Sci. 2015, 115, 9–50. [Google Scholar] [CrossRef]
- Gu, L.; Liu, R.; Guo, Z. Effect of lime aging conditions on activity of calcium hydroxide. China Powder Sci. Technol. 2012, 18, 62–65. [Google Scholar] [CrossRef]
- Wei, G.; Zhang, B.; Fang, S. Aging mechanism of quicklime and application study of slaked lime in conservation of cultural relics. J. Build. Mater. 2012, 15, 96–102. [Google Scholar] [CrossRef]
- Yue, J.W.; Chen, Y.; Zhao, L.M.; Wang, S.Y.; Su, H.C.; Yang, X.; Gao, H.J.; Zhang, Y.; Li, W.H. Effects of Aging on the Dry Shrinkage Cracking of Lime Soils with Different Proportions. Appl. Sci. 2022, 12, 145. [Google Scholar] [CrossRef]
- Mascolo, G.; Mascolo, M.C.; Vitale, A.; Marino, O. Microstructure evolution of lime putty upon aging. J. Cryst. Growth 2010, 312, 2363–2368. [Google Scholar] [CrossRef]
- Margalha, M.G.; Silva, A.S.; Veiga, R.; Brito, J. The influence of slaking time on lime putty. Xii Dbmc Porto Portugal 2011, 4. [Google Scholar] [CrossRef]
- Boháč, M.; Nečas, R. The Role of Aging on Rheological Properties of Lime Putty. Procedia Eng. 2016, 151, 34–41. [Google Scholar] [CrossRef] [Green Version]
- Atzeni, C.; Farci, A.; Floris, D.; Meloni, P. Effect of Aging on Rheological Properties of Lime Putty. J. Am. Ceram. Soc. 2004, 87, 1764–1766. [Google Scholar] [CrossRef]
- Maropoulou, A.; Bakolas, A.; Aggelakopoulou, E. The effects of limestone characteristics and calcination temperature on the reactivity of quicklime. Cem. Conc. Res. 2001, 31, 633–639. [Google Scholar] [CrossRef]
- Cazalla, O.; Rodriguez-Navarro, C.; Sebastian, E.; Cultrone, G. Aging of Lime Putty: Effects on Traditional Lime Mortar Carbonation. J. Am. Ceram. Soc. 2000, 83, 1070–1076. [Google Scholar] [CrossRef]
- Rosell, J.R.; Haurie, L.; Navarro, A.; Cantalapiedra, I.R. Influence of the traditional slaking process on the lime putty characteristics. Constr. Build. Mater. 2014, 55, 423–430. [Google Scholar] [CrossRef]
- Salimi, R.; Vaughan, J. Crystallisation of tricalcium aluminate from sodium aluminate solution using slaked lime. Powder Technol. 2016, 294, 472–483. [Google Scholar] [CrossRef] [Green Version]
- Nikolaenko, V.; Lyubomirskiy, N.; Nikolaenko, E.; Bakhtin, A. Studying the possibility of obtaining heat-insulating building materials based on lime carbonization hardening and rice husk. MATEC Web Conf. 2020, 315, 07010. [Google Scholar] [CrossRef]
- Bilgen, G. Long-term compressive strength and microstructural appraisal of seawater, lime, and waste glass powder—Treated clay soils. Arab. J. Geosci. 2022, 15, 9. [Google Scholar] [CrossRef]
- Yakovlev, G.; Politaeva, A.; Shaybadullina, A.; Gordina, A.; Buryanov, A.F. Formation of Efflorescence on the Surface of Construction Products in the Process of their Operation. Adv. Mater. Res. 2015, 1122, 39–43. [Google Scholar] [CrossRef]
- Qian, C.; Yi, H.; Du, W. Bacteria fixing CO2 to enhance the volume stability of ground steel slag powder as a component of cement-based materials aiming at clean production. J. Clean. Prod. 2021, 314, 127821. [Google Scholar] [CrossRef]
- Das, G.; Razakamanantsoa, A.; Herrier, G.; Deneele, D. Influence of pore fluid-soil structure interactions on compacted lime-treated silty soil. Eng. Geol. 2022, 296, 106496. [Google Scholar] [CrossRef]
- Al-Mukhtar, M.; Lasledj, A.; Alcover, J.F. Behaviour and mineralogy changes in lime-treated expansive soil at 20 °C. Appl. Clay Sci. 2010, 50, 191–198. [Google Scholar] [CrossRef]
- Tan, Y.Z.; Yu, B.; Zheng, A.; Fu, W.; Zhang, H.; Wan, Z. Long term carbonation effect of lime stabilized red clay strength. J. Bulid. Mater. 2013, 34, 73–79. [Google Scholar]
- Wei, R.; Wu, X.; Yun, C.; Wu, G. Selection and optimization of technological parameters for dry slaking of quicklime. J. Wuhan Univ. Sci. Technol. 2011, 34, 473–477. [Google Scholar]
- GB/T50123-2019; Standard for Soil Test Method. China Planning Press: Beijing, China, 2019.
- Liu, C.; Tang, C.S.; Shi, B.; Suo, W.B. Automatic quantification of crack patterns by image processing. Comput. Geosci. 2013, 57, 77–80. [Google Scholar] [CrossRef]
- Ciancio, D.; Beckett, C.T.S.; Carraro, J.A.H. Optimum lime content identification for lime-stabilised rammed earth. Constr. Build. Mater. 2014, 53, 59–65. [Google Scholar] [CrossRef] [Green Version]
- Ismaiel, H.A.H. Traeatment and Improvement of the Geotechnical Properties of Different Soft Fine-Grained Soils Using Chemical Stabilization; Shaker: Aachen, Germany, 2006. [Google Scholar]
- Dermatas, D.; Xu, X.; Cao, X. An Evaluation of Pozzolanic Lead Immobilization Mechanisms in Firing Range Soils; Taylor & Francis: London, UK, 2005. [Google Scholar]
- Fan, H.; Gao, J.; Wu, P.; Luo, Z. Physicochemical actions of stabilized soil with cement-based soil stabilizer. Rock Soil Mech. 2010, 31, 3741–3745. [Google Scholar] [CrossRef]
- Gua, X.; Liu, S.; Zhang, H.; Dou, Z.; Qiu, M.; Feng, C. Carbonation and hardening properties of low calcium silicates minerals—A short review. J. Chin. Ceram. Soc. 2018, 46, 263–267. [Google Scholar] [CrossRef]
- Wilkinson, A.; Haque, A.; Kodikara, J.; Adamson, J.; Christie, D. Improvement of problematic soils by lime slurry pressure injection: Case Study. J. Rock Mech. Geotech. Eng. 2010, 136, 1459–1468. [Google Scholar] [CrossRef]
- Zhao, H.; Liu, J.; Guo, J.; Zhao, C.; Gong, B. Reexamination of lime stabilization mechanisms of expansive clay. J. Mater. Civ. Eng. 2015, 27, 895–902. [Google Scholar] [CrossRef]















| Natural Moisture Content (%) | Plastic Limit WP (%) | Liquid Limit WL(%) | Plasticity Index | Optimum Moisture Content (%) | Maximum Dry Density (g/cm3) | Particle Composition (%) | |||||
|---|---|---|---|---|---|---|---|---|---|---|---|
| <2 mm | <1 mm | <0.5 mm | <0.25 mm | <0.1 mm | <0.074 mm | ||||||
| 13.20 | 21.03 | 37.63 | 16.6 | 14.32 | 1.68 | 95.87 | 92.40 | 70.51 | 56.59 | 38.62 | 35.67 |
| SiO2 | CaO | Al2O3 | MgO | Fe2O3 | K2O | Na2O | ∑ |
|---|---|---|---|---|---|---|---|
| 61.79 | 8.91 | 15.83 | 2.67 | 5.23 | 2.88 | 1.48 | 98.79 |
| Grouping | Slaking Time (h) | Lime Content (%) | Moisture Content (%) |
|---|---|---|---|
| T = 0 h, M = 10%, W = 18% | 0 | 10 | 18 |
| T = 0 h, M = 15%, W = 18% | 15 | ||
| T = 0 h, M = 20%, W = 18% | 20 | ||
| T = 12 h, M = 10%, W = 18% | 12 | 10 | 18 |
| T = 12 h, M = 15%, W = 18% | 15 | ||
| T = 12 h, M = 20%, W = 18% | 20 | ||
| T = 24 h, M = 10%, W = 18% | 24 | 10 | 18 |
| T = 24 h, M = 15%, W = 18% | 15 | ||
| T = 24 h, M = 20%, W = 18% | 20 | ||
| T = 48 h, M = 10%, W = 18% | 48 | 10 | 18 |
| T = 48 h, M = 15%, W = 18% | 15 | ||
| T = 48 h, M = 20%, W = 18% | 20 | ||
| T = 72 h, M = 10%, W = 18% | 72 | 10 | 18 |
| T = 72 h, M = 15%, W = 18% | 15 | ||
| T = 72 h, M = 20%, W = 18% | 20 | ||
| T = 0 h, M = 20%, W = 14% | 0 | 20 | 14 |
| T = 0 h, M = 20%, W = 22% | 0 | 20 | 22 |
| Grouping | Time | ||||||
|---|---|---|---|---|---|---|---|
| 0.5 h | 1 h | 2 h | 3 h | 4 h | 5 h | 6 h | |
| T = 0 h, M = 10%, W = 18% | 0.15% | 0.08% | 2.39% | 3.00% | 3.99% | 5.19% | 6.09% |
| T = 0 h, M = 15%, W = 18% | 0.81% | 0.95% | 2.35% | 3.40% | 4.56% | 5.99% | 6.81% |
| T = 0 h, M = 20%, W = 18% | 0.88% | 1.34% | 2.62% | 5.37% | 6.03% | 10.62% | 13.63% |
| T = 12 h, M = 10%, W = 18% | — | — | — | — | — | — | 0.11% |
| T = 12 h, M = 15%, W = 18% | — | — | — | — | — | — | 0.21% |
| T = 12 h, M = 20%, W = 18% | — | — | — | — | — | — | 0.39% |
| T = 24 h, M = 10%, W = 18% | — | — | — | — | — | — | 0.08% |
| T = 24 h, M = 15%, W = 18% | — | — | — | — | — | — | 0.17% |
| T = 24 h, M = 20%, W = 18% | — | — | — | — | — | — | 0.31% |
| T = 48 h, M = 10%, W = 18% | — | — | — | — | — | — | 0.07% |
| T = 48 h, M = 15%, W = 18% | — | — | — | — | — | — | 0.16% |
| T = 48 h, M = 20%, W = 18% | — | — | — | — | — | — | 0.29% |
| T = 72 h, M = 10%, W = 18% | — | — | — | — | — | — | 0.07% |
| T = 72 h, M = 15%, W = 18% | — | — | — | — | — | — | 0.15% |
| T = 72 h, M = 20%, W = 18% | — | — | — | — | — | — | 0.24% |
| T = 0 h, M = 20%, W = 14% | 3.24% | 8.93% | 11.85% | — | — | — | — |
| T = 0 h, M = 20%, W = 22% | 0.45% | 1.00% | 2.26% | 3.23% | 3.58% | 4.27% | 6.05% |
Publisher’s Note: MDPI stays neutral with regard to jurisdictional claims in published maps and institutional affiliations. |
© 2022 by the authors. Licensee MDPI, Basel, Switzerland. This article is an open access article distributed under the terms and conditions of the Creative Commons Attribution (CC BY) license (https://creativecommons.org/licenses/by/4.0/).
Share and Cite
Yue, J.; Su, H.; Song, X.; Xu, X.; Zhao, L.; Zhao, G.; Li, P.; Chen, Y. Experimental Study on the Cracking and Mechanical Properties of Lime Soil with Different Slaking Conditions of Newly Repaired Earthen City Walls. Materials 2022, 15, 4151. https://doi.org/10.3390/ma15124151
Yue J, Su H, Song X, Xu X, Zhao L, Zhao G, Li P, Chen Y. Experimental Study on the Cracking and Mechanical Properties of Lime Soil with Different Slaking Conditions of Newly Repaired Earthen City Walls. Materials. 2022; 15(12):4151. https://doi.org/10.3390/ma15124151
Chicago/Turabian StyleYue, Jianwei, Huicong Su, Xiao Song, Xiangchun Xu, Limin Zhao, Gang Zhao, Peng Li, and Ying Chen. 2022. "Experimental Study on the Cracking and Mechanical Properties of Lime Soil with Different Slaking Conditions of Newly Repaired Earthen City Walls" Materials 15, no. 12: 4151. https://doi.org/10.3390/ma15124151
APA StyleYue, J., Su, H., Song, X., Xu, X., Zhao, L., Zhao, G., Li, P., & Chen, Y. (2022). Experimental Study on the Cracking and Mechanical Properties of Lime Soil with Different Slaking Conditions of Newly Repaired Earthen City Walls. Materials, 15(12), 4151. https://doi.org/10.3390/ma15124151

