Next Article in Journal
Perioperatives Management von Älteren Patienten mit Koronarer Herzkrankheit
Previous Article in Journal
Investigating a Continuous Heart Murmur
 
 
Cardiovascular Medicine is published by MDPI from Volume 28 Issue 1 (2025). Previous articles were published by another publisher in Open Access under a CC-BY (or CC-BY-NC-ND) licence, and they are hosted by MDPI on mdpi.com as a courtesy and upon agreement with Editores Medicorum Helveticorum (EMH).
Font Type:
Arial Georgia Verdana
Font Size:
Aa Aa Aa
Line Spacing:
Column Width:
Background:
Proceeding Paper

Stellenwert der Koronarrevaskularisation bei Älteren Patienten mit Chronischer Koronarer Herzkrankheit

by
Christoph A. Kaiser
*,
Piero O. Bonetti
and
Matthias E. Pfisterer
Kardiologische Klinik, Universitätsspital, Petersgraben 4, CH-4031 Basel, Switzerland
*
Author to whom correspondence should be addressed.
Cardiovasc. Med. 2006, 9(1), 16; https://doi.org/10.4414/cvm.2006.01146
Submission received: 27 October 2005 / Revised: 27 November 2005 / Accepted: 27 December 2005 / Published: 27 January 2006

Abstract

Due to the steadily increasing life expectancy and the fact that the prevalence of coronary artery disease (CAD) increases with age, elderly people with cardiovascular disease represent a rapidly growing patient population. Because they frequently present with complex comorbidities, these patients were usually excluded from randomised trials. As we know from large registries, elderly patients with chronic CAD paradoxically derive a greater absolute benefit from revascularisation procedures than their younger counterparts despite a higher risk for periprocedural complications. The prospective randomised TIME study (Trial of Invasive versus Medical therapy in the Elderly) included 301 elderly patients (≥75 years of age) with symptomatic CAD despite the use of two different antianginal drugs. In the TIME study, patients were randomised to either an invasive strategy or an optimised medical therapy strategy. The primary endpoint was quality of life (QoL) and the occurrence of cardiac events after 6 months. During a longterm follow-up of 4 years it could be demonstrated, that both strategies led to a persistent improvement in QoL with, however, more rapid relief from angina in the invasive strategy arm. Patients who underwent revascularisation during the first year after randomisation had a better prognosis irrespective of their original treatment strategy assignment. Therefore, old age alone should not prevent us from considering coronary angiography and, if possible, revascularisation in elderly patients with symptomatic CAD.

Zusammenfassung

Die zunehmende Überalterung der Bevölkerung sowie der markante Anstieg der Prävalenz der koronaren Herzkrankheit (KHK) im höheren Lebensalter führt zu einer Zunahme von älteren Patienten mit symptomatischer KHK. Bis anhin waren in diesem Patientenkollektiv kaum prospektive Daten bezüglich der optimalen Behandlungsstrategie vorhanden, da ältere Patienten häufig aufgrund ihrer komplexen Komorbiditäten von randomisierten Studien ausgeschlossen wurden. Daten grösserer Patientenregister zeigen jedoch, dass ältere Patienten paradoxerweise trotz dem vermehrten Auftreten von Frühkomplikationen von einer Koronarrevaskularisation profitieren. Im Rahmen der prospektiven TIME-Studie (Trial of Invasive versus Medical therapy in the Elederly) wurden 301 Patienten im Alter von 75 oder mehr Jahren mit persistierender Angina pectoris trotz medikamentöser, antianginöser Zweiertherapie untersucht und ein invasives versus ein konservatives Vorgehen in bezug auf Symptomatik, Lebensqualität und das Auftreten von kardialen Ereignissen verglichen. Im Langzeitverlauf über 4 Jahre konnte gezeigt werden, dass beide Therapiestrategien zu einer anhaltenden Verbesserung der Lebensqualität führen, dass jedoch die invasiv abgeklärten und gegebenenfalls revaskularisierten Patienten rascher symptomfrei wurden mit einer besseren Lebensqualität. Unabhängig vom ursprünglichen Randomisierungsarm konnte durch eine Koronarrevaskularisation die Mortalität im Langzeitverlauf signifikant gesenkt werden. Älteren Patienten mit symptomatischer KHK sollte demnach eine invasive Abklärung mit, wenn möglich, anschliessender Revaskularisation nicht vorenthalten, sondern empfohlen werden.
Key words: Revaskularisation; koronare Herzkrankheit; Alter

Die koronare Herzkrankheit im Alter

Die Bevölkerung der Schweiz befindet sich seit mehreren Jahren in einer altersmässigen Umschichtung mit einer prozentualen Zunahme der älteren bei gleichzeitiger Abnahme der jüngeren Personen. Aktuell sind rund 15% der Wohnbevölkerung über 65 Jahre und etwa 5% über 80 Jahre alt [1]. Zudem findet sich eine massive Zunahme der Prävalenz der chronischen koronaren Herzkrankheit (KHK) im Alter [2]. Sind bei der unter 65jährigen Bevölkerung lediglich 3% der Männer und 1,5% der Frauen von einer KHK betroffen, so steigt dieser Anteil bei den über 65jährigen auf gegen 15% bei der männlichen und 10% bei der weiblichen Bevölkerung an. Parallel mit den demographischen Veränderungen führt dies zu einer steigenden Anzahl an älteren Patienten, welche aufgrund einer symptomatischen KHK behandelt werden müssen. Somit sind gerade bei älteren Patienten kardiovaskuläre Erkrankungen hauptverantwortlich für Morbidität und Mortalität und somit auch für hohe Gesundheitskosten [3].
Ältere Patienten mit KHK unterscheiden sich sowohl bezüglich klinischer als auch angiographischer Charakteristika deutlich von jüngeren Patienten. So konnten die Autoren des APPROACH-Registers, in welchem Daten von über 20 000 Patienten gesammelt wurden, zeigen, dass sich ältere Patienten häufiger mit akutem Koronarsyndrom oder Infarkt präsentieren und zudem neben gehäuften Risikofaktoren und schweren Begleiterkrankungen auch öfter Mehrgefässerkrankungen und eine Einschränkung der linksventrikulären Pumpfunktion aufweisen (Table 1) [4].
Besteht das primäre Therapieziel beim jüngeren Patienten darin, die Prognose quo ad vitam zu verbessern und so das Leben zu verlängern, tritt dies beim älteren Patienten eher in den Hintergrund. Hier sollten die Therapiebemühungen eher dahin gehen, die Lebensqualität zu erhalten oder zu verbessern sowie Symptome, insbesondere pektanginöse Beschwerden sowie Dyspnoe, zu lindern (Table 2).

Revaskularisation beim älteren Patienten

Obwohl zahlreiche Studien den Nutzen der Koronarrevaskularisation mittels aortokoronarer Bypass-Operation (ACBP) [5,6,7] und PTCA [8,9,10] bei Patienten mit KHK bezüglich Symptomatik und Prognose hinreichend belegt haben, wird bei älteren Patienten oft ein primär konservatives Vorgehen mit Ausbau der antiischämischen Therapie in Angriff genommen. Dies vor allem auch deshalb, weil in den bis anhin publizierten randomisierten Studien meist nur Patienten unter 65 Jahren eingeschlossen wurden und so diese Daten nicht ohne weiteres auf ältere Patienten mit komplexer Komorbidität sowie erhöhtem Gesamt- und Interventionsrisiko übertragen werden können [11,12]. Es lagen somit bis anhin bezüglich Risiko und Prognose von Revaskularisationsmassnahmen bei älteren Patienten lediglich Ergebnisse von nicht randomisierten grossen Patientenregistern vor.
Sowohl die ACBP als auch die PTCA sind beim älteren Patienten mit einer erhöhten Komplikationsrate und dadurch bedingt einer erhöhten Mortalität während der initialen Hospitalisation verbunden. So zeigen Daten des US National Cardiovascular Network einen Anstieg der Mortalität nach PTCA von 1,1% bei unter 80jährigen auf gegen 4% bei über 80jährigen Patienten bei ebenfalls deutlich vermehrter Anzahl an nicht tödlichen Myokardinfarkten, zerebrovaskulären Komplikationen, Auftreten von Niereninsuffizienz sowie vaskulären Komplikationen [13]. Auch nach ACBP ist die Mortalität bei über 80jährigen Patienten mit 8,1% versus 3% bei jüngeren Patienten deutlich erhöht. Zudem kommt es nach ACBP zu vermehrtem Auftreten derselben Komplikationen wie nach PTCA [14]. Als unabhängige Prädiktoren der Frühmortalität konnten in beiden Studien nebst einem höheren Alter per se vor allem das Vorliegen einer Herzinsuffizienz oder eines Diabetes mellitus sowie die initiale Präsentation des Patienten mit akutem Myokardinfarkt oder kardiogenem Schock eruiert werden. Es finden sich somit diesbezüglich keine relevanten Unterschiede zu jüngeren Patienten, wobei die erhöhten Raten an Komplikationen sowie die grössere Frühmortalität bei älteren Patienten vor allem durch die komplexeren Begleiterkrankungen bedingt sind.
Im Gegensatz zu der erhöhten Frühmortalität und den häufigeren periinterventionellen Komplikationen zeigt sich bei den älteren Patienten im Vergleich zu den Jüngeren jedoch ein deutlich erhöhter Langzeit-Benefit nach Koronarrevaskularisation. Im APPROACH-Register konnte gezeigt werden, dass der Unterschied der 5-Jahres-Mortalität zwischen revaskularisierten und konservativ behandelten Patienten mit zunehmendem Alter immer mehr zugunsten der revaskularisierten Patienten ausfällt [4]. Im Langzeitverlauf profitieren somit v.a. ältere Patienten trotz erhöhter Frühmortalität und häufigeren periinterventionellen Komplikationen von koronaren Revaskularisationsmassnahmen.

Konservatives versus invasives Management

Im Rahmen der TIME-Studie (Trial of Invasive versus Medical therapy in the Elderly) wurden zwischen 1997 und 2001 insgesamt 301 Patienten im Alter von mehr als 75 Jahren mit persistierender Angina pectoris trotz etablierter antianginöser Zweiertherapie untersucht und ein invasives (n = 153) versus ein konservatives Vorgehen (n = 148) in bezug auf Symptomatik, Lebensqualität und kardiale Ereignisse (Tod, nicht-tödlicher Myokardinfarkt und Rehospitalisation wegen instabiler Angina pectoris und/oder Indikation zur Revaskularisation) verglichen. Nebst Daten betreffend Anamnese, Risikofaktoren, Komorbiditäten, Medikation und Status wurde die Lebensqualität mit Hilfe eines Fragebogens bestehend aus dem SF36 [15], dem «Duke Activity Status Index» (DASI) [16], dem «Rose Questionnaire for Angina» [17] sowie Fragen bezüglich Ausbildung und ökonomischem Status objektiviert. Der Follow-up erfolgte primär nach 6 Monaten durch Erhebung derselben Parameter [18], mittlerweile sind auch die Langzeitergebnisse nach 4 Jahren publiziert [19]. Die Patienten waren durchschnittlich 80 ± 4 Jahre alt und 44% waren Frauen. Drei Viertel der Patienten litten an einer Angina pectoris CCS >2 («Canadian Cardiac Society»-Klassifikation) trotz Einnahme von durchschnittlich 2,5 antianginösen Medikamenten pro Patient. Die linksventrikuläre Pumpfunktion war mit durchschnittlich 53 ± 12% leicht eingeschränkt, angiographisch fand sich bei 79% der invasiv abgeklärten Patienten eine Mehrgefässerkrankung. Bei 96% der Patienten der invasiven Gruppe wurde eine Koronarangiographie durchgeführt und 74% davon konnten revaskularisiert werden (54% PTCA und 20% ACBP). In der konservativen Gruppe wurde die antianginöse Therapie im Schnitt um 0,8 ± 0,6 Medikamente erhöht, eine Dosissteigerung erfolgte bei 55% der Patienten.
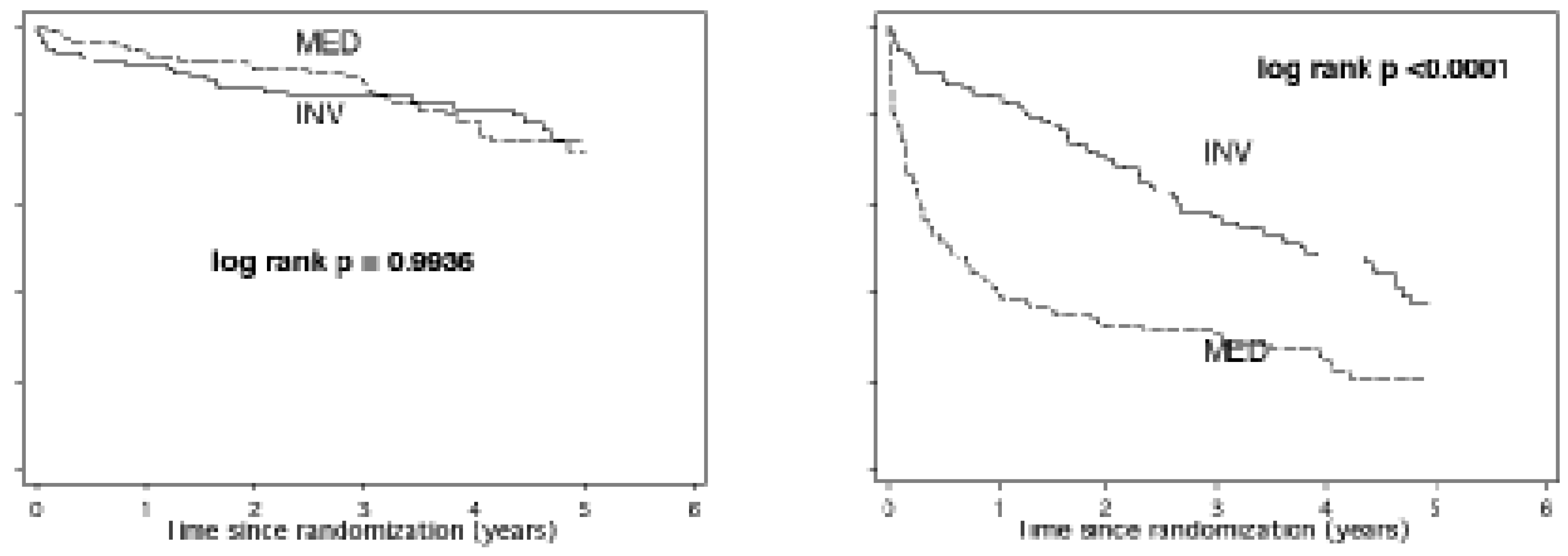
Während des Langzeitverlaufs starben 21,7% der Patienten der invasiven versus 22,3% der Patienten der medikamentösen Gruppe. Bemerkenswert ist, dass es bei der invasiven Gruppe mit nicht signifikant unterschiedlicher Mortalität nach 30 Tagen und 1 Jahr im Vergleich zu der konservativen Gruppe nicht zu einem durch die Revaskularisation bedingten Mortalitäts-Exzess kam. Deutliche Unterschiede wurden jedoch bezüglich des Auftretens von kardialen Ereignissen beobachtet (Figure 1). Hier kam es während des ersten Jahres zu deutlich mehr Ereignissen in der konservativen Gruppe, dies vor allem wegen der grossen Zahl von Patienten, welche aufgrund von ungenügendem Ansprechen auf den Ausbau der medikamentösen Therapie schlussendlich doch noch invasiv abgeklärt und revaskularisiert werden mussten. Dieser Unterschied blieb bis zum Ende des Langzeitverlaufs signifikant.
Die Figure 2 zeigt den Verlauf bezüglich Lebensqualität in den beiden Gruppen. Es zeigt sich hier, dass sowohl die konservative Therapie als auch die invasive Strategie, wiederum vor allem im ersten Jahr, zu einer Verbesserung der Lebensqualität führten, welche über die ganze Beobachtungsdauer anhielt, wobei insgesamt kein Unterschied zwischen den beiden Therapiestrategien bestand. Bei den primär invasiv abgeklärten bzw. behandelten Patienten nahm die Angina pectoris aber signifikant rascher ab und die Lebensqualität verbesserte sich rascher als bei medikamentös behandelten Patienten, und dies trotz deutlich geringerer Einnahme von antianginösen Medikamenten.
TIME ist eine «intention-to-treat»-Studie, es werden also Therapiestrategien, nicht Therapiemodalitäten miteinander verglichen. Von den 148 Patienten des konservativen Arms wurden lediglich 85 (57%) bis zum Ende der Studie medikamentös behandelt, 63 Patienten (43%) mussten während des ersten Jahres bei therapierefraktären Beschwerden invasiv abgeklärt und revaskularisiert werden. Andererseits war in der invasiven Gruppe lediglich bei 109 von 153 Patienten (71%) eine Revaskularisation möglich bzw. indiziert. Insgesamt wurde die Revaskularisation in 66% mittels PTCA und in 34% mittels ACBP durchgeführt [20]. Eine «On-treatment Analyse», welche den Langzeitverlauf der tatsächlich revaskularisierten mit demjenigen der konservativ behandelten Patienten verglich, zeigte eine signifikant geringere Mortalität der revaskularisierten Patienten.
Um den Effekt der medikamentösen Therapiestrategie besser zu erfassen, wurde zusätzlich eine «On-treatment Analyse» der Patienten, welche initial in den konservativen Arm randomisiert worden waren, durchgeführt [21]. In dieser Arbeit konnte gezeigt werden, dass Patienten, welche stets medikamentös behandelt wurden im Langzeitverlauf signifikant mehr Beschwerden hatten als diejenigen, welche innerhalb des ersten Jahres nach Randomisierung aufgrund refraktärer Beschwerden revaskularisiert werden mussten. Ferner war in dieser Subanalyse auch das Langzeitüberleben der innerhalb des ersten Jahres revaskularisierten Patienten signifikant besser als dasjenige der medikamentös behandelten.
Abschliessend noch einige Bemerkungen zu den Kosten. Es ist selbstverständlich, dass ein invasiver Approach initial zu deutlich erhöhten Kosten im Vergleich zu einem rein medikamentösen Therapieausbau führt. Diese Kosten werden vor allem durch die Koronarangiographie, die PTCA bzw. ACBP sowie durch die längere Hospitalisationsdauer und Intensivpflichtigkeit der Patienten verursacht. Wie jedoch eine Kosten-Analyse der TIME-Studie zeigen konnte, verursachten die Patienten der konservativen Gruppe innerhalb des ersten Jahres aufgrund vermehrter Arztbesuche, Hospitalisationen und sekundärer Revaskularisationen erheblich mehr Kosten als die Patienten der invasiven Gruppe [22]. Nach einem Jahr waren die Kosten im Vergleich der beiden Gruppen nicht mehr signifikant verschieden, was im Zusammenhang mit den vorgängig erörterten Ergebnissen die Kosten-Effektivität einer invasiven Therapiestrategie unterstreicht.

Schlussfolgerungen

Trotz erhöhtem periinterventionellem Risiko im Alter ist das Langzeitüberleben beim älteren Patienten mit chronischer koronarer Herzkrankheit unter konservativer und invasiver Therapiestrategie nicht verschieden. Beide Strategien führen zu einer anhaltenden Verbesserung der Lebensqualität sowie zu einer Abnahme der pektanginösen Beschwerden, Ziele, die durch die Revaskularisation allerdings rascher erreicht werden können als mit Medikamenten. Der reine Ausbau der medikamentösen, antiischämischen Therapie ist zudem bei vielen Patienten nicht ausreichend, so dass fast die Hälfte dieser Patienten aufgrund therapierefraktärer Beschwerden im Verlauf dennoch revaskularisiert werden muss. Unabhängig vom Zeitpunkt der invasiven Abklärung und, wenn möglich, einer nachfolgenden Revaskularisation ist das Überleben der revaskularisierten Patienten besser als das der konservativ behandelten. Auch wenn ein konservatives Vorgehen beschlossen wurde, sollte damit bei persistierenden Beschwerden nicht mit einer invasiven Abklärung gezögert werden, da diese Patienten nicht nur bezüglich Mortalität sondern besonders auch bezüglich Lebensqualität und Symptomfreiheit profitieren.

References

  1. Bundesamt für Statistik. Statistisches Jahrbuch der Schweiz 2005; Verlag Neue Zürcher Zeitung: Zürich, Switzerland, 2005. [Google Scholar]
  2. American Heart Association. Heart Disease and Stroke Statistics—2005 Update; American Heart Association: Dallas, TX, USA, 2005; Available online: www.americanheart.org.
  3. Manton, K.G.; Vaupel, J.W. Survival after the age of 80 in the United States, Sweden, France, England, and Japan. N Engl J Med 1995, 333, 1232–1235. [Google Scholar] [CrossRef] [PubMed]
  4. Graham, M.M.; Ghali, W.A.; Faris, P.D.; Galbraith, P.D.; Norris, C.M.; Knudtson, M.L.; et al. Survival after coronary revascularization in the elderly. Circulation 2002, 105, 2378–2384. [Google Scholar] [CrossRef] [PubMed]
  5. The VA Coronary Artery Bypass Surgery Cooperative Study Group. Eighteen-year follow-up in the Veterans Affairs Cooperative Study of Coronary Artery Bypass Surgery for stable angina. Circulation 1992, 86, 121–130. [Google Scholar] [CrossRef]
  6. Alderman, E.L.; Bourassa, M.G.; Cohen, L.S.; Davis, K.B.; Kaiser, G.G.; Killip, T.; et al. Ten-year follow-up of survival and myocardial infarction in the randomized Coronary Artery Surgery Study. Circulation 1990, 82, 1629–1646. [Google Scholar] [CrossRef] [PubMed]
  7. Yusuf, S.; Zucker, D.; Peduzzi, P.; Fisher, L.D.; Takaro, T.; Kennedy, J.W.; et al. Effect of coronary artery bypass graft surgery on survival: Overview of 10-year results from randomised trials by the Coronary Artery Bypass Graft Surgery Trialists Collaboration. Lancet 1994, 344, 563–570. [Google Scholar] [CrossRef] [PubMed]
  8. Parisi, A.F.; Folland, E.D.; Hartigan, P. A comparison of angioplasty with medical therapy in the treatment of single-vessel coronary artery disease. Veterans Affairs ACME Investigators. N Engl J Med 1992, 326, 10–16. [Google Scholar] [CrossRef] [PubMed]
  9. RITA-2 trial participants. Coronary angioplasty versus medical therapy for angina: The second Randomised Intervention Treatment of Angina. Lancet 1997, 350, 461–468. [Google Scholar] [CrossRef]
  10. Blumenthal, R.S.; Cohn, G.; Schulman, S.P. Medical therapy versus coronary angioplasty in stable coronary artery disease: A critical review of the literature. J Am Coll Cardiol 2000, 36, 668–673. [Google Scholar] [CrossRef] [PubMed]
  11. Rihal, C.S.; Gersh, B.J.; Yusuf, S. Chroni coronary artery disease: Coronary artery surgery versus percutaneous transluminal coronary angioplasty versus medical therapy. In Evidence-Based Cardiology; Yusuf, S., Cairns, J.A., Gamm, A.J., Fallen, E.L., Gersh, J.B., Eds.; BMJ Books: London, UK, 1999; pp. 368–392. [Google Scholar]
  12. Lee, P.Y.; Alexander, K.P.; Hammill, B.G.; Pasquali, S.K.; Peterson, E.D.; et al. Representation of elderly persons and women in published randomized trials of acute coronary syndromes. JAMA 2001, 286, 708–713. [Google Scholar] [CrossRef] [PubMed]
  13. Batchelor, W.B.; Anstrom, K.J.; Muhlbaier, L.H.; Grosswald, R.; Weintraub, W.S.; O’Neill, W.W.; et al. Contemporary outcome trends in the elderly undergoing percutaneous coronary interventions: Results in 7472 octogenarians. National Cardiovascular Network Collaboration. J Am Coll Cardiol 2000, 36, 723–730. [Google Scholar] [CrossRef] [PubMed]
  14. Alexander, K.P.; Anstrom, K.J.; Muhlbaier, L.H.; Grosswald, R.D.; Smith, P.K.; Jones, R.H.; et al. Outcomes of cardiac surgery in patients > or = 80 years: Results from the National Cardiovascular Network. J Am Coll Cardiol 2000, 35, 731–738. [Google Scholar] [CrossRef] [PubMed]
  15. Bullinger, M. German translation and psychometric testing of the SF-36 Health Survey: Preliminary results from the IQOLA Project. International Quality of Life Assessment. Soc Sci Med 1995, 41, 1359–1366. [Google Scholar] [CrossRef] [PubMed]
  16. Hlatky, M.A.; Boineau, R.E.; Higginbotham, M.B.; Lee, K.L.; Mark, D.B.; Califf, R.M.; et al. A brief self-administered questionnaire to determine functional capacity (the Duke Activity Status Index). Am J Cardiol 1989, 64, 651–654. [Google Scholar] [CrossRef] [PubMed]
  17. Rose, G.A. Cardiovascular Survery Methods, 2nd ed.; World Health Organization Monograph Series N. 65. World Health Organization: Geneva, Switzerland, 1992. [Google Scholar]
  18. The TIME Investigators. Trial of invasive versus medical therapy in elderly patients with chronic symptomatic coronary-artery disease (TIME): A randomised trial. Lancet 2001, 358, 951–957. [Google Scholar] [CrossRef] [PubMed]
  19. Pfisterer, M.; Trial of Invasive versus Medical therapy in Elderly patients Investigators. Long-term outcome in elderly patients with chronic angina managed invasively versus by optimized medical therapy: Four-year follow-up of the randomized Trial of Invasive versus Medical therapy in Elderly patients (TIME). Circulation 2004, 110, 1213–1218. [Google Scholar] [CrossRef] [PubMed]
  20. Kaiser, C.; Kuster, G.M.; Erne, P.; Amann, W.; Naegeli, B.; Osswald, S.; et al. Risks and benefits of optimised medical and revascularisation therapy in elderly patients with anginaon-treatment analysis of the TIME trial. Eur Heart J 2004, 25, 1036–1042. [Google Scholar] [CrossRef] [PubMed]
  21. Bonetti, P.O.; Kaiser, C.; Zellweger, M.J.; Grize, L.; Erne, P.; Schoenenberger, R.A.; et al. Long-term benefits and limitations of combined antianginal drug therapy in elderly patients with symptomatic chronic coronary artery disease. J Cardiovasc Pharmacol Ther 2005, 10, 29–37. [Google Scholar] [CrossRef] [PubMed]
  22. Claude, J.; Schindler, C.; Kuster, G.M.; Schwenkglenks, M.; Szucs, T.; Buser, P.; et al. Cost-effectiveness of invasive versus medical management of elderly patients with chronic symptomatic coronary artery disease. Findings of the randomized trial of invasive versus medical therapy in elderly patients with chronic angina (TIME). Eur Heart J 2004, 25, 2195–2203. [Google Scholar] [CrossRef] [PubMed][Green Version]
Figure 1. TIME-Studie: Mortalität und Auftreten von major adverse cardiac events (MACE) im Langzeitverlauf (modifiziert nach [19]). MED = Patienten der konservativ behandelten Gruppe; INV = Patienten der invasiv abgeklärten/revaskularisierten Gruppe.
Figure 1. TIME-Studie: Mortalität und Auftreten von major adverse cardiac events (MACE) im Langzeitverlauf (modifiziert nach [19]). MED = Patienten der konservativ behandelten Gruppe; INV = Patienten der invasiv abgeklärten/revaskularisierten Gruppe.
Cardiovascmed 09 00016 g001
Figure 2. TIME-Studie: Effekt der antiischämischen Therapie bezüglich Symptomen und Lebensqualität im Langzeitverlauf. Ein Rose-Score von 4 bedeutet Angina pectoris in Ruhe, ein solcher von 0 Beschwerdefreiheit. DASI Score: Werte von 0–58; je höher die Werte, desto besser die Lebensqualität. SF12 Score: Werte von 0–100, je höher die Werte, desto besser die Lebensqualität [19].
Figure 2. TIME-Studie: Effekt der antiischämischen Therapie bezüglich Symptomen und Lebensqualität im Langzeitverlauf. Ein Rose-Score von 4 bedeutet Angina pectoris in Ruhe, ein solcher von 0 Beschwerdefreiheit. DASI Score: Werte von 0–58; je höher die Werte, desto besser die Lebensqualität. SF12 Score: Werte von 0–100, je höher die Werte, desto besser die Lebensqualität [19].
Cardiovascmed 09 00016 g002
Table 1. Klinische und angiographische Charakteristika der KHK bei älteren Patienten (nach [4]).
Table 1. Klinische und angiographische Charakteristika der KHK bei älteren Patienten (nach [4]).
Cardiovascmed 09 00016 i001
Table 2. Therapieziele bei der chronischen koronaren Herzkrankheit: Unterschiede zwischen jüngeren und älteren Patienten.
Table 2. Therapieziele bei der chronischen koronaren Herzkrankheit: Unterschiede zwischen jüngeren und älteren Patienten.
Cardiovascmed 09 00016 i002

Share and Cite

MDPI and ACS Style

Kaiser, C.A.; Bonetti, P.O.; Pfisterer, M.E. Stellenwert der Koronarrevaskularisation bei Älteren Patienten mit Chronischer Koronarer Herzkrankheit. Cardiovasc. Med. 2006, 9, 16. https://doi.org/10.4414/cvm.2006.01146

AMA Style

Kaiser CA, Bonetti PO, Pfisterer ME. Stellenwert der Koronarrevaskularisation bei Älteren Patienten mit Chronischer Koronarer Herzkrankheit. Cardiovascular Medicine. 2006; 9(1):16. https://doi.org/10.4414/cvm.2006.01146

Chicago/Turabian Style

Kaiser, Christoph A., Piero O. Bonetti, and Matthias E. Pfisterer. 2006. "Stellenwert der Koronarrevaskularisation bei Älteren Patienten mit Chronischer Koronarer Herzkrankheit" Cardiovascular Medicine 9, no. 1: 16. https://doi.org/10.4414/cvm.2006.01146

APA Style

Kaiser, C. A., Bonetti, P. O., & Pfisterer, M. E. (2006). Stellenwert der Koronarrevaskularisation bei Älteren Patienten mit Chronischer Koronarer Herzkrankheit. Cardiovascular Medicine, 9(1), 16. https://doi.org/10.4414/cvm.2006.01146

Article Metrics

Back to TopTop