Bridging Science and Lifestyle: A Feasibility Study for Developing a Novel Functional Food to Support Well-Being
Abstract
1. Introduction
2. Materials and Methods
2.1. Design and Procedure
2.2. Scales
2.2.1. Functional Food Scale (FFscale)
2.2.2. Single-Item Food Choice Questionnaire (FCQ)
2.2.3. The Warwick–Edinburgh Mental Well-Being Scales (WEMWBSs)
2.2.4. The EuroQol 5-Dimension 5-Level Questionnaire (EQ-5D-5L)
2.2.5. Single-Item Sleep Quality Scale (SQS)
2.3. Demographics and Lifestyle Parameters
2.4. Data Analysis
3. Results
3.1. Participant Characteristics
3.2. Structural Equation Model
3.3. Functional Food Consumption Frequency
- Olive oil (mean: 4.67, 72.4%);
- Coffee (mean: 4.53, 79%);
- Dairy products (mean: 4.29, 50%);
- Red vegetables (mean: 4.04, 27.8%).
- Eggs (mean: 3.91, 19.3%);
- Thyme/oregano/basil (mean: 3.78, 22.1%);
- Whole grains (mean: 3.70, 27.1%);
- Nuts (mean: 3.65, 17.7%);
- Honey and beekeeping products (mean: 3.56, 3.9%);
- Yellow/orange vegetables (mean: 3.4, 5.5%);
- Legumes (mean: 3.42, 1.9%);
- Cruciferous vegetables (mean: 3.2, 4.4%);
- Fish and seafood (mean: 3.27, 0.8%);
- Yellow/orange fruits (mean: 3.10, 2.2%);
- Red fruits (mean: 3.08, 2.2%).
- Tea (mean: 2.72, 8%);
- Probiotics (mean: 2.72, 8.8%);
- Cocoa (mean: 2.59, 21.3%);
- Greek mountain tea (mean: 2.51, 2.8%);
- Wild greens (mean: 2.46, 0.6%);
- Raisins (mean: 2.34, 2.5%);
- Turmeric (mean: 2.33, 2.8%);
- Berries (mean: 2.28, 2.5%);
- Pomegranates (mean: 2.28, 0.8%);
- Fortified dairy products (mean: 2.22, 3.9%);
- Pseudocereals (mean: 2.10, 1.4%);
- Chia seeds (mean: 2.04, 3.9%).
- Saffron (mean: 1.6, 0%);
- St. John’s wort (mean: 1.46, 0%).
3.4. Functional Food Consumption and Well-Being
3.4.1. Functional Food Consumption and Mental Well-Being (WEMWBS)
3.4.2. Functional Food Consumption and Health-Related Quality of Life (EQindex)
3.4.3. Functional Food Consumption Sleep Quality (SQS)
3.4.4. Functional Food Consumption and Body Mass Index (BMI)
3.5. Motivations Behind Food Choices: Insights from the Single-Item Food Choice Questionnaire
3.6. Motivations Behind Food Choices: Insights from Participants Demographics
3.7. Motivations Behind Food Choices: Insights from Participants Lifestyle
3.7.1. Food Choice Motives and Working Hours per Week
3.7.2. Food Choice Motives and Preferred Meals at Work
3.7.3. Food Choice Motives and Number of Meals per Day
3.7.4. Food Choice Motives and Reading Nutritional Info
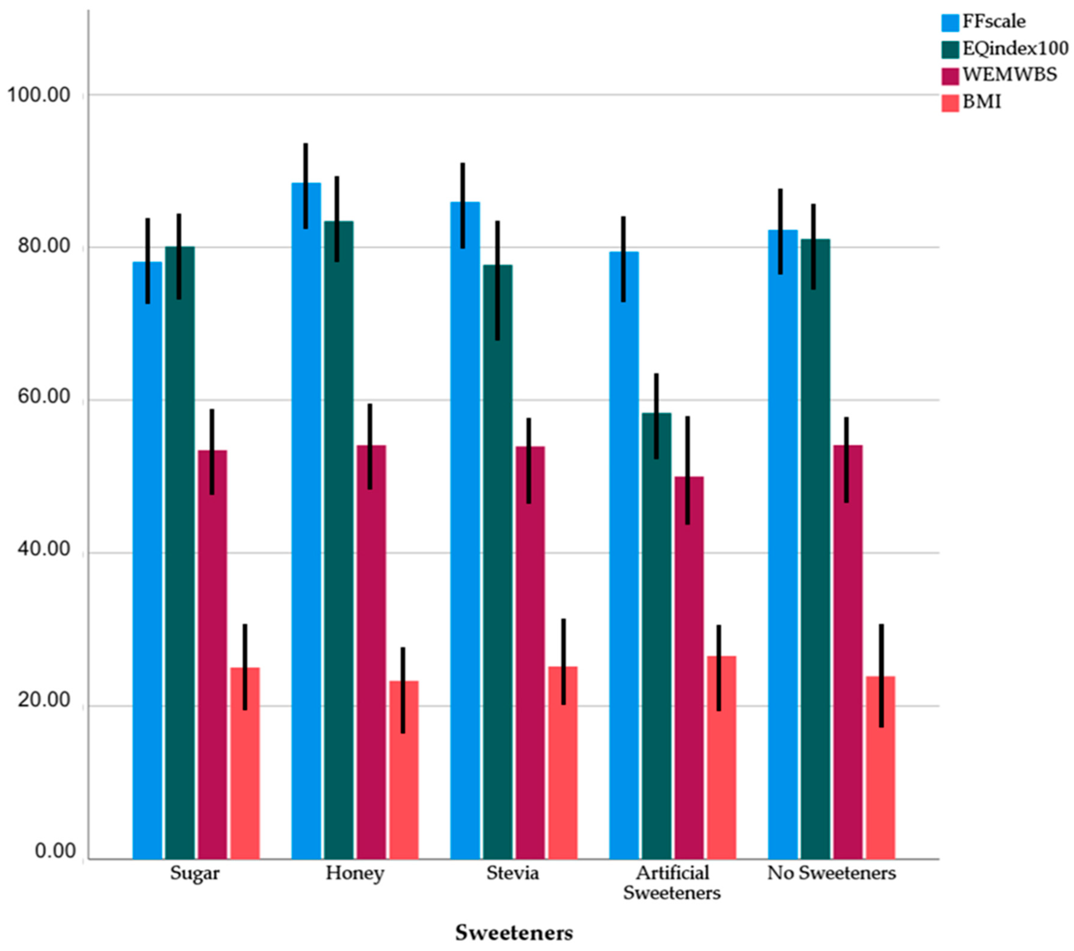
3.7.5. Food Choice Motives and Sweetener Preference
3.8. Motivations and Willingness to Participate in a Clinical Study Testing the Efficacy of a Novel Functional Food
4. Discussion
- Mental Health-boosting Ingredients: Incorporate ingredients known for their beneficial effects on mental health, such as omega-3 fatty acids, antioxidants, polyphenols, and honey, all of which can contribute to cognitive function and emotional stability. Herbs like St. John’s wort and Greek mountain tea are well known for their mood-enhancing effects
- Sleep Quality-Enhancing Components: Utilize ingredients like tryptophan, melatonin, and magnesium, commonly found in dairy and certain plant-based products, to improve sleep quality.
- Body-Composition Support: Integrate protein-rich ingredients, such as whey, plant-based proteins, and legumes, to promote healthy metabolism and body composition.
- HRQoL Improvements: Focus on ingredients that support overall well-being and day-to-day functioning, such as honey, omega-3 fatty acids, and polyphenols, all of which were associated with higher HRQoL scores.
- Pleasurable Sensory Experience: Prioritize taste and texture, ensuring the functional food is not only nutritious but also enjoyable to consume. Honey, with its natural sweetness, is an excellent example of an ingredient that can enhance the sensory appeal of the food.
- Convenient Forms: Given the demand for easy-to-consume products, milk-based or plant-based beverages and protein/granola bars are excellent delivery formats for the functional foods. These formats align well with consumer preferences for convenience while still providing essential nutrients.
- Sustainability and Ethics: Consumers are increasingly seeking sustainable and ethically sourced products, so the development of functional foods should prioritize environmental friendliness and the responsible sourcing of ingredients.
Limitations
5. Conclusions
Author Contributions
Funding
Institutional Review Board Statement
Informed Consent Statement
Data Availability Statement
Acknowledgments
Conflicts of Interest
References
- Brown, A.G.M.; Adas, S.; de Jesus, J.; Farmer, N.; Fisher, R.; Pratt, C.A. Bridging the Gap: The Need to Implement Dietary Guidance to Address Cardiovascular Health. Nutrients 2024, 16, 2125. [Google Scholar] [CrossRef] [PubMed]
- Grajek, M.; Krupa-Kotara, K.; Białek-Dratwa, A.; Sobczyk, K.; Grot, M.; Kowalski, O.; Staśkiewicz, W. Nutrition and mental health: A review of current knowledge about the impact of diet on mental health. Front. Nutr. 2022, 9, 943998. [Google Scholar] [CrossRef]
- Temple, N.J. A rational definition for functional foods: A perspective. Front. Nutr. 2022, 9, 957516. [Google Scholar] [CrossRef] [PubMed]
- Essa, M.M.; Bishir, M.; Bhat, A.; Chidambaram, S.B.; Al-Balushi, B.; Hamdan, H.; Govindarajan, N.; Freidland, R.P.; Qoronfleh, M.W. Functional foods and their impact on health. J. Food Sci. Technol. 2023, 60, 820–834. [Google Scholar] [CrossRef]
- Duttaroy, A.K. Functional Foods in Preventing Human Blood Platelet Hyperactivity-Mediated Diseases—An Updated Review. Nutrients 2024, 16, 3717. [Google Scholar] [CrossRef]
- Koumpouli, D.; Koumpouli, V.; Koutelidakis, A.E. Functional Foods, Gut Microbiome and Association with Obesity and Metabolic Syndrome: A Literature Review. Appl. Sci. 2024, 14, 5578. [Google Scholar] [CrossRef]
- Santos-Sánchez, G.; Cruz-Chamorro, I. Functional Foods as a New Therapeutic Strategy 2.0. Nutraceuticals 2025, 5, 7. [Google Scholar] [CrossRef]
- Christodoulou, E.; Mpali, T.; Dimitriadou, M.-E.; Koutelidakis, A.E. Mindfulness, Gut–Brain Axis, and Health-Related Quality of Life: The Paradigm of IBD Patients. Healthcare 2024, 12, 1209. [Google Scholar] [CrossRef]
- Gul, S.; Durante-Mangoni, E. Unraveling the Puzzle: Health Benefits of Probiotics—A Comprehensive Review. J. Clin. Med. 2024, 13, 1436. [Google Scholar] [CrossRef]
- Scuto, M.; Majzúnová, M.; Torcitto, G.; Antonuzzo, S.; Rampulla, F.; Di Fatta, E.; Salinaro, A.T. Functional Food Nutrients, Redox Resilience Signaling and Neurosteroids for Brain Health. Int. J. Mol. Sci. 2024, 25, 12155. [Google Scholar] [CrossRef]
- Atlante, A.; Amadoro, G.; Bobba, A.; Latina, V. Functional Foods: An Approach to Modulate Molecular Mechanisms of Alzheimer’s Disease. Cells 2020, 9, 2347. [Google Scholar] [CrossRef] [PubMed]
- Baker, M.T.; Lu, P.; Parrella, J.A.; Leggette, H.R. Consumer Acceptance toward Functional Foods: A Scoping Review. Int. J. Environ. Res. Public Health 2022, 19, 1217. [Google Scholar] [CrossRef]
- Yasmeen, B.; Fischer, F. Food Choices of Contemporary Cuisine and Traditional Foods: Effects on Family Ties. Nutrients 2024, 16, 4126. [Google Scholar] [CrossRef] [PubMed]
- Rahman, N.; Ishitsuka, K.; Piedvache, A.; Tanaka, H.; Murayama, N.; Morisaki, N. Convenience Food Options and Adequacy of Nutrient Intake among School Children during the COVID-19 Pandemic. Nutrients 2022, 14, 630. [Google Scholar] [CrossRef] [PubMed]
- Polyak, E.; Breitenbach, Z.; Frank, E.; Mate, O.; Figler, M.; Zsalig, D.; Simon, K.; Szijarto, M.; Szabo, Z. Food and Sustainability: Is It a Matter of Choice? Sustainability 2023, 15, 7191. [Google Scholar] [CrossRef]
- Hernandez, D.C.; Daundasekara, S.S.; Walton, Q.L.; Eigege, C.Y.; Marshall, A.N. Feasibility of Delivering an on-Campus Food Distribution Program in a Community College Setting: A Mixed Methods Sequential Explanatory Investigation. Int. J. Environ. Res. Public Health 2021, 18, 12106. [Google Scholar] [CrossRef]
- Christodoulou, E.; Poutli, E.; Andreou, D.; Laoutari, S.; Athanasiou, F.; Kourkoutas, Y.; Koutelidakis, A.E. Towards a Thriving Workplace: A Feasibility Study on Mindfulness and the Mediterranean Lifestyle for Corporate Wellness. Healthcare 2025, 13, 9. [Google Scholar] [CrossRef]
- Moore, S.G.; Kundra, A.; Ho, P.; Bissell, E.; Apekey, T. Feasibility of a Community Healthy Eating and Cooking Intervention Featuring Traditional African Caribbean Foods from Participant and Staff Perspectives. Nutrients 2023, 15, 3758. [Google Scholar] [CrossRef]
- Kandyliari, A.; Elmaliklis, I.-N.; Kontopoulou, O.; Tsafkopoulou, M.; Komninos, G.; Ntzatha, C.; Petsas, A.; Karantonis, H.C.; Koutelidakis, A.E. An Epidemiological Study Report on the Antioxidant and Phenolic Content of Selected Mediterranean Functional Foods, Their Consumption Association with the Body Mass Index, and Consumers Purchasing Behavior in a Sample of Healthy Greek Adults. Appl. Sci. 2021, 11, 7818. [Google Scholar] [CrossRef]
- Christodoulou, E.; Dimitriadou, M.-E.; Mpali, T.; Koutelidakis, A.E. Navigating Burnout: The Mediating Role of Mindfulness and the Mediterranean Lifestyle in Fostering Job Satisfaction and Well-Being. Psychiatry Int. 2025, 6, 11. [Google Scholar] [CrossRef]
- Menon, V.; Muraleedharan, A. Internet-based surveys: Relevance, methodological considerations and troubleshooting strategies. Gen. Psychiatry 2020, 33, e100264. [Google Scholar] [CrossRef] [PubMed]
- Saeedbakhsh, M.; Omid, A.; Khodadoostan, M.; Shavakhi, A.; Adibi, P. Using instant messaging applications to promote clinical teaching of medical students. J. Educ. Health Promot. 2022, 11, 254. [Google Scholar] [CrossRef]
- Christodoulou, E.; Markopoulou, V.; Koutelidakis, A.E. From Mind to Plate to Pillow: Examining the Interplay of Mental Health, Eating Disorders, and Sleep Quality. Int. J. Transl. Med. 2024, 4, 278–285. [Google Scholar] [CrossRef]
- Papagianni, O.; Staramou, A.; Rigopoulos, N.; Dimou, C.; Koutelidakis, E.A. Development and Validation of a Functional Foods Frequency Questionnaire for Greek Adults. Curr. Top. Nutraceutical Res. 2021, 19, 373–381. [Google Scholar] [CrossRef]
- Adan, R.A.H.; van der Beek, E.M.; Buitelaar, J.K.; Cryan, J.F.; Hebebrand, J.; Higgs, S.; Schellekens, H.; Dickson, S.L. Nutritional psychiatry: Towards improving mental health by what you eat. Eur Neuropsychopharmacol. 2019, 29, 1321–1332. [Google Scholar] [CrossRef] [PubMed]
- Christodoulou, E.; Deligiannidou, G.-E.; Kontogiorgis, C.; Giaginis, C.; Koutelidakis, A.E. Natural Functional Foods as a Part of the Mediterranean Lifestyle and Their Association with Psychological Resilience and Other Health-Related Parameters. Appl. Sci. 2023, 13, 4076. [Google Scholar] [CrossRef]
- Almpounioti, K.; Papagianni, O.I.; Koutelidakis, A.E. Traditional foods, the Mediterranean diet, and health promotion. In Handbook of Public Health Nutrition; Preedy, V.R., Patel, V.B., Eds.; Springer: Cham, Switzerland, 2025. [Google Scholar] [CrossRef]
- Muscaritoli, M. The Impact of Nutrients on Mental Health and Well-Being: Insights from the Literature. Front. Nutr. 2021, 8, 656290. [Google Scholar] [CrossRef]
- Dye, L.; Blundell, J. Functional foods: Psychological and behavioural functions. Br. J. Nutr. 2002, 88, S187–S211. [Google Scholar] [CrossRef]
- Steptoe, A.; Pollard, T.M.; Wardle, J. Development of a Measure of the Motives Underlying the Selection of Food: The Food Choice Questionnaire. Appetite 1995, 25, 267–284. [Google Scholar] [CrossRef]
- Onwezen, M.; Reinders, M.; Verain, M.; Snoek, H. The development of a single-item Food Choice Questionnaire. Food Qual. Preference 2019, 71, 34–45. [Google Scholar] [CrossRef]
- Tennant, R.; Hiller, L.; Fishwick, R.; Platt, S.; Joseph, S.; Weich, S.; Parkinson, J.; Secker, J.; Stewart-Brown, S. The Warwick-Edinburgh mental well-being scale (WEMWBS): Development and UK validation. Health Qual. Life Outcomes 2007, 5, 63. [Google Scholar] [CrossRef] [PubMed]
- Bass, M.; Dawkin, M.; Muncer, S.; Vigurs, S.; Bostock, J. Validation of Warwick-Edinburgh Mental Well-being Scale (WEMWBS) in a population of people using Secondary Care Mental Health Services. J. Ment. Health 2016, 25, 323–329. [Google Scholar] [CrossRef]
- Trousselard, M.; Steiler, D.; Dutheil, F.; Claverie, D.; Canini, F.; Fenouillet, F.; Naughton, G.; Stewart-Brown, S.; Franck, N. Validation of the Warwick-Edinburgh Mental Well-Being Scale (WEMWBS) in French psychiatric and general populations. Psychiatry Res. 2016, 245, 282–290. [Google Scholar] [CrossRef]
- Petrogiannis, K.; Sangeorzan, I.; Andriopoulou, P. Validation of the Greek Warwick-Edinburgh Mental Well-Being Scale (WEMWBS) in a Mature Student Community-Based Sample. Advers. Resil. Sci. 2024, 5, 351–368. [Google Scholar] [CrossRef]
- Herdman, M.; Gudex, C.; Lloyd, A.; Janssen, M.; Kind, P.; Parkin, D.; Bonsel, G.; Badia, X. Development and preliminary testing of the new five-level version of EQ-5D (EQ-5D-5L). Qual. Life Res. 2011, 20, 1727–1736. [Google Scholar] [CrossRef] [PubMed]
- Devlin, N.; Pickard, S.; Busschbach, J. The Development of the EQ-5D-5L and its Value Sets. In Value Sets for EQ-5D-5L: A Compendium, Comparative Review & User Guide; Devlin, N., Roudijk, B., Ludwig, K., Eds.; Springer: Cham, Switzerland, 2022; pp. 1–12. [Google Scholar]
- Yfantopoulos, J.N.; Chantzaras, A.E. Validation and comparison of the psychometric properties of the EQ-5D-3L and EQ-5D-5L instruments in Greece. Eur. J. Health Econ. 2017, 18, 519–531. [Google Scholar] [CrossRef]
- Snyder, E.; Cai, B.; DeMuro, C.; Morrison, M.F.; Ball, W. A New Single-Item Sleep Quality Scale: Results of Psychometric Evaluation in Patients with Chronic Primary Insomnia and Depression. J. Clin. Sleep Med. 2018, 14, 1849–1857. [Google Scholar] [CrossRef] [PubMed]
- Dereli, M.; Kahraman, T. Validity and reliability of the Turkish version of single-item Sleep Quality Scale in healthy adults. Sleep Med. 2021, 88, 197–203. [Google Scholar] [CrossRef]
- Jones, T.; Baxter, M.; Khanduja, V. A quick guide to survey research. Ann. R. Coll. Surg. Engl. 2013, 95, 5–7. [Google Scholar] [CrossRef]
- Hodge, J.M.; Shah, R.; McCullough, M.L.; Gapstur, S.M.; Patel, A.V. Validation of self-reported height and weight in a large, nationwide cohort of U.S. adults. PLoS ONE 2020, 15, e0231229. [Google Scholar] [CrossRef]
- Nuttall, F.Q. Body Mass Index: Obesity, BMI, and Health: A Critical Review. Nutr. Today 2015, 50, 117–128. [Google Scholar] [CrossRef]
- Kwak, S.K.; Kim, J.H. Statistical data preparation: Management of missing values and outliers. Korean J. Anesthesiol. 2017, 70, 407–411. [Google Scholar] [CrossRef] [PubMed]
- Ghasemi, A.; Zahediasl, S. Normality Tests for Statistical Analysis: A Guide for Non-Statisticians. Int. J. Endocrinol. Metab. 2012, 10, 486–489. [Google Scholar] [CrossRef]
- Fernqvist, F.; Spendrup, S.; Tellström, R. Understanding food choice: A systematic review of reviews. Heliyon 2024, 10, e32492. [Google Scholar] [CrossRef] [PubMed]
- Zamri, N.A.; Ghani, N.; Ismail, C.A.N.; Zakaria, R.; Shafin, N. Honey on brain health: A promising brain booster. Front. Aging Neurosci. 2023, 14, 1092596. [Google Scholar] [CrossRef]
- Rahman, M.M.; Gan, S.H.; Khalil, M.I. Neurological Effects of Honey: Current and Future Prospects. Evid.-Based Complement. Altern. Med. 2014, 2014, 958721. [Google Scholar] [CrossRef] [PubMed]
- Zulkifli, M.F.; Masimen, M.A.A.; Ridzuan, P.M.; Ismail, W.I.W. Exploring honey’s potential as a functional food for natural sleep aid. Food Funct. 2024, 15, 9678–9689. [Google Scholar] [CrossRef]
- Palma-Morales, M.; Huertas, J.R.; Rodríguez-Pérez, C. A Comprehensive Review of the Effect of Honey on Human Health. Nutrients 2023, 15, 3056. [Google Scholar] [CrossRef]
- Macready, A.L.; Kennedy, O.B.; Ellis, J.A.; Williams, C.M.; Spencer, J.P.E.; Butler, L.T. Flavonoids and cognitive function: A review of human randomized controlled trial studies and recommendations for future studies. Genes Nutr. 2009, 4, 227–242. [Google Scholar] [CrossRef]
- Dighriri, I.M.; Alsubaie, A.M.; Hakami, F.M.; Hamithi, D.M.; Alshekh, M.M.; Khobrani, F.A.; Dalak, F.E.; Hakami, A.A.; Alsueaadi, E.H.; Alsaawi, L.S.; et al. Effects of Omega-3 Polyunsaturated Fatty Acids on Brain Functions: A Systematic Review. Cureus 2022, 14, e30091. [Google Scholar] [CrossRef]
- Zeng, Y.; Yang, J.; Du, J.; Pu, X.; Yang, X.; Yang, S.; Yang, T. Strategies of Functional Foods Promote Sleep in Human Being. Curr. Signal Transduct. Ther. 2014, 9, 148–155. [Google Scholar] [CrossRef] [PubMed]
- Rietman, A.; Schwarz, J.; Blokker, B.A.; Siebelink, E.; Kok, F.J.; Afman, L.A.; Tomé, D.; Mensink, M. Increasing Protein Intake Modulates Lipid Metabolism in Healthy Young Men and Women Consuming a High-Fat Hypercaloric Diet. J. Nutr. 2014, 144, 1174–1180. [Google Scholar] [CrossRef] [PubMed]
- Suárez-López, L.M.; Bru-Luna, L.M.; Martí-Vilar, M. Influence of Nutrition on Mental Health: Scoping Review. Healthcare 2023, 11, 2183. [Google Scholar] [CrossRef]
- Ng, Q.X.; Venkatanarayanan, N.; Ho, C.Y.X. Clinical use of Hypericum perforatum (St John’s wort) in depression: A meta-analysis. J. Affect. Disord. 2017, 210, 211–221. [Google Scholar] [CrossRef] [PubMed]
- Christodoulou, E.; Meca, A.; Koutelidakis, A.E. Herbal Infusions as a Part of the Mediterranean Diet and Their Association with Psychological Resilience: The Paradigm of Greek Mountain Tea. Nutraceuticals 2023, 3, 438–450. [Google Scholar] [CrossRef]
- Bogard, J.R.; Downs, S.; Casey, E.; Farrell, P.; Gupta, A.; Miachon, L.; Naughton, S.; Staromiejska, W.; Reeve, E. Convenience as a dimension of food environments: A systematic scoping review of its definition and measurement. Appetite 2024, 194, 107198. [Google Scholar] [CrossRef]
- Kosicka-Gębska, M.; Jeżewska-Zychowicz, M.; Gębski, J.; Sajdakowska, M.; Niewiadomska, K.; Nicewicz, R. Consumer Motives for Choosing Fruit and Cereal Bars—Differences Due to Consumer Lifestyles, Attitudes toward the Product, and Expectations. Nutrients 2022, 14, 2710. [Google Scholar] [CrossRef]
- Kostecka, J.; Jackowska, I.; Chabros, I.; Kostecka-Jarecka, J.; Kawecka, P.; Kostecka, M. Beverage Consumption and Factors Influencing the Choice of Beverages among Polish Children Aged 11–13 Years in 2018–2023. Nutrients 2024, 16, 1625. [Google Scholar] [CrossRef]
- Alara, O.R.; Abdurahman, N.H.; Ukaegbu, C.I. Extraction of phenolic compounds: A review. Curr. Res. Food Sci. 2021, 4, 200–214. [Google Scholar] [CrossRef]
- Pastorino, R.; van El, C.; Boccia, S. Transforming health systems for incorporating personalized health interventions. Eur. J. Public Health 2024, 34, 1–2. [Google Scholar] [CrossRef]
- Andrade, C. The Limitations of Online Surveys. Indian J. Psychol. Med. 2020, 42, 575–576. [Google Scholar] [CrossRef] [PubMed]









| FFscale | WEMWBS | EQIndex | SQS | BMI | |
|---|---|---|---|---|---|
| FFscale | 1 | 0.296 ** | 0.123 * | 0.139 ** | −0.144 ** |
| WEMWBS | 0.296 ** | 1 | 0.432 ** | 0.206 ** | −0.006 |
| EQindex | 0.123 * | 0.432 ** | 1 | 0.324 ** | −0.091 |
| SQS | 0.139 ** | 0.206 ** | 0.324 ** | 1 | −0.083 |
| BMI | −0.144 ** | −0.006 | −0.091 | −0.083 | 1 |
| Functional Food | WEMWBS | EQindex | SQS | BMI |
|---|---|---|---|---|
| Citrus fruits, e.g., oranges, lemons | 0.018 * | 0.673 | 0.183 | 0.577 |
| Yellow/orange fruits e.g., peaches, apricots | 0.002 * | 0.623 | 0.933 | 0.531 |
| Red fruits, e.g., strawberries, cherries | 0.001 * | 0.745 | 0.764 | 0.076 |
| Berries | 0.038 * | 0.148 | 0.568 | 0.191 |
| Raisins | 0.002 * | 0.118 | 0.045 * | 0.062 |
| Pomegranates | 0.007 * | 0.167 | 0.497 | 0.865 |
| Cruciferous vegetables, e.g., broccoli | 0.066 | 0.273 | 0.110 | 0.111 |
| Wild greens e.g., scallions, radishes | 0.003 * | 0.500 | 0.522 | 0.301 |
| Yellow/orange vegetables, e.g., carrots | 0.004 * | 0.822 | 0.472 | 0.041 * |
| Red vegetables, e.g., tomatoes | 0.014 * | 0.518 | 0.694 | 0.327 |
| Tea (Camelia sinensis) | 0.572 | 0.724 | 0.852 | 0.043 * |
| Greek mountain tea (Sideritis) | 0.044 * | 0.096 | 0.498 | 0.143 |
| St. John’s wort (Hypericum perforatum) | 0.018 * | 0.618 | 0.415 | 0.501 |
| Thyme, oregano, basil | 0.022 * | 0.201 | 0.255 | 0.157 |
| Turmeric | 0.255 | 0.964 | 0.408 | 0.772 |
| Saffron (Crocus sativus) | 0.049 * | 0.967 | 0.711 | 0.594 |
| Coffee | 0.953 | 0.949 | 0.627 | 0.305 |
| Cocoa | 0.016 * | 0.453 | 0.951 | 0.445 |
| Beekeeping products, e.g., honey | 0.001 * | 0.002 * | 0.004 * | 0.068 |
| Chia seeds | 0.228 | 0.395 | 0.037 * | 0.076 |
| Legumes | 0.114 | 0.065 | 0.018 * | 0.042 * |
| Pseudocereals, e.g., quinoa, buckwheat | 0.461 | 0.169 | 0.570 | 0.174 |
| Whole grains | 0.130 | 0.028 * | 0.003 * | 0.677 |
| Nuts | 0.013 * | 0.914 | 0.487 | 0.218 |
| Olive oil | 0.278 | 0.824 | 0.062 | 0.873 |
| Fish and seafood | 0.001 * | 0.010 * | 0.036 * | 0.019 * |
| Total dairy consumption | 0.054 | 0.160 | 0.964 | 0.886 |
| Probiotics/with probiotics | 0.034 * | 0.404 | 0.694 | 0.252 |
| Fortified or enriched dairy products | 0.010 * | 0.509 | 0.531 | 0.620 |
| Eggs | 0.053 | 0.514 | 0.670 | 0.555 |
| Food Choice Motives | FFscale | WEMWBS | EQindex | BMI |
|---|---|---|---|---|
| Pleasurable Sensations | 0.316 | 0.434 | 0.264 | 0.440 |
| Healthy | 0.001 * | 0.002 * | 0.515 | 0.005 * |
| Convenient | 0.294 | 0.709 | 0.021 * | 0.717 |
| Weight Control | 0.001 * | 0.602 | 0.379 | 0.178 |
| Natural | 0.001 * | 0.007 * | 0.387 | 0.910 |
| Mood Monitoring | 0.001 * | 0.098 | 0.012 * | 0.182 |
| Affordable | 0.033 * | 0.042 * | 0.412 | 0.963 |
| Fairly Traded | 0.001 * | 0.012 * | 0.148 | 0.526 |
| Familiar | 0.616 | 0.593 | 0.102 | 0.961 |
| Environmentally Friendly | 0.001 * | 0.041 * | 0.080 | 0.755 |
| Animal Friendly | 0.001 * | 0.314 | 0.285 | 0.683 |
| Food Choice Motives | Age | Gender | Education | Region |
|---|---|---|---|---|
| Pleasurable Sensations | 0.138 | 0.005 * | 0.178 | 0.949 |
| Healthy | 0.403 | 0.144 | 0.184 | 0.657 |
| Convenient | 0.127 | 0.013 * | 0.074 | 0.962 |
| Weight Control | 0.318 | 0.121 | 0.278 | 0.075 |
| Natural | 0.008 * | 0.109 | 0.078 | 0.183 |
| Mood Monitoring | 0.692 | 0.068 | 0.940 | 0.616 |
| Affordable | 0.375 | 0.285 | 0.448 | 0.461 |
| Fairly Traded | 0.027 * | 0.447 | 0.055 | 0.304 |
| Familiar | 0.805 | 0.954 | 0.576 | 0.269 |
| Environmentally Friendly | 0.003 * | 0.215 | 0.325 | 0.014 * |
| Animal Friendly | 0.078 | 0.019 * | 0.028 * | 0.058 |
| Food Choice Motives | Working Hours | Food at Work | Meals Per Day | Nutritional Info | Sweeteners |
|---|---|---|---|---|---|
| Pleasurable Sensations | 0.125 | 0.185 | 0.371 | 0.569 | 0.228 |
| Healthy | 0.022 * | 0.001 * | 0.001 * | 0.001 * | 0.001 * |
| Convenient | 0.043 * | 0.117 | 0.007 * | 0.818 | 0.161 |
| Weight Control | 0.297 | 0.112 | 0.001 * | 0.005 * | 0.001 * |
| Natural | 0.149 | 0.078 | 0.001 * | 0.001 * | 0.001 * |
| Mood Monitoring | 0.225 | 0.003 * | 0.001 * | 0.041 * | 0.024 * |
| Affordable | 0.070 | 0.537 | 0.083 | 0.128 | 0.759 |
| Fairly Traded | 0.723 | 0.619 | 0.117 | 0.110 | 0.681 |
| Familiar | 0.513 | 0.782 | 0.973 | 0.573 | 0.888 |
| Environmentally Friendly | 0.638 | 0.051 | 0.008 * | 0.107 | 0.013 * |
| Animal Friendly | 0.760 | 0.132 | 0.065 | 0.217 | 0.474 |
Disclaimer/Publisher’s Note: The statements, opinions and data contained in all publications are solely those of the individual author(s) and contributor(s) and not of MDPI and/or the editor(s). MDPI and/or the editor(s) disclaim responsibility for any injury to people or property resulting from any ideas, methods, instructions or products referred to in the content. |
© 2025 by the authors. Licensee MDPI, Basel, Switzerland. This article is an open access article distributed under the terms and conditions of the Creative Commons Attribution (CC BY) license (https://creativecommons.org/licenses/by/4.0/).
Share and Cite
Christodoulou, E.; Laoutari, S.; Athanasiou, F.; Poutli, E.; Andreou, D.; Kourkoutas, Y.; Koutelidakis, A.E. Bridging Science and Lifestyle: A Feasibility Study for Developing a Novel Functional Food to Support Well-Being. Nutraceuticals 2025, 5, 10. https://doi.org/10.3390/nutraceuticals5020010
Christodoulou E, Laoutari S, Athanasiou F, Poutli E, Andreou D, Kourkoutas Y, Koutelidakis AE. Bridging Science and Lifestyle: A Feasibility Study for Developing a Novel Functional Food to Support Well-Being. Nutraceuticals. 2025; 5(2):10. https://doi.org/10.3390/nutraceuticals5020010
Chicago/Turabian StyleChristodoulou, Efstratios, Sotiria Laoutari, Fani Athanasiou, Eleni Poutli, Demetriana Andreou, Yiannis Kourkoutas, and Antonios E. Koutelidakis. 2025. "Bridging Science and Lifestyle: A Feasibility Study for Developing a Novel Functional Food to Support Well-Being" Nutraceuticals 5, no. 2: 10. https://doi.org/10.3390/nutraceuticals5020010
APA StyleChristodoulou, E., Laoutari, S., Athanasiou, F., Poutli, E., Andreou, D., Kourkoutas, Y., & Koutelidakis, A. E. (2025). Bridging Science and Lifestyle: A Feasibility Study for Developing a Novel Functional Food to Support Well-Being. Nutraceuticals, 5(2), 10. https://doi.org/10.3390/nutraceuticals5020010

