Measurement of Ultrafine Particles and Other Air Pollutants Emitted by Cooking Activities
Abstract
:1. Introduction
2. Method
2.1. Sampling Site
2.2. Instrument
2.3. Sampling Protocol
3. Results and Discussion
3.1. Characteristics of Cooking Emissions
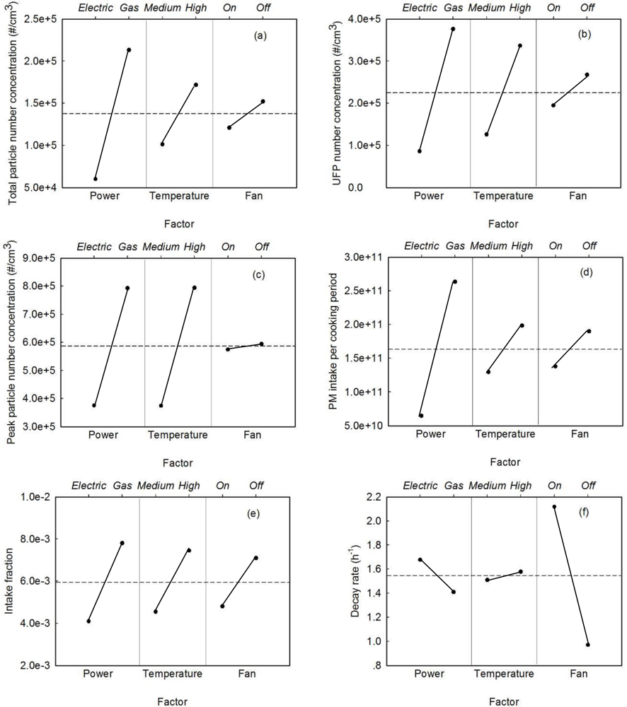
3.2. Factors Affecting Cooking Emissions and Pollutant Decay
3.3. Spatial Dispersion of Cooking Emissions
3.4. Health Risk Implication and Limitation
4. Conclusions
Acknowledgments
References
- Nazaroff, WW; Singer, BC. Inhalation of hazardous air pollutants from environmental tobacco smoking US residences. J. Expos. Anal. Environ. Epidemiol 2004, 14, S71–S77. [Google Scholar]
- Nazaroff, WW; Weschler, CJ. Cleaning products and air fresheners: Exposure to primary and secondary air pollutants. Atmos. Environ 2004, 38, 2841–2865. [Google Scholar]
- Liao, C; Chen, S; Chen, J; Liang, H. Contributions of Chinese-style cooking and incense burning to personal exposure and residential PM concentrations in Taiwan region. Sci. Total Environ 2006, 358, 72–84. [Google Scholar]
- Yang, SC; Jenq, SN; Kang, ZC; Lee, H. Identification of benzo[a]pyrene 7,8-diol 9,10-epoxide N2-deoxyguanosine in human lung adenocarcinoma cells exposed to cooking oil fumes from frying fish under domestic conditions. Chem. Res. Toxicol 2000, 13, 1046–1050. [Google Scholar]
- Lin, JM; Liou, SJ. Aliphatic aldehydes produced by heating Chinese cooking oils. Bull. Environ. Contam. Toxicol 2000, 64, 817–824. [Google Scholar]
- Fullana, A; Carbonell-Barrachina, AA; Sidhu, S. Comparison of volatile aldehydes present in the cooking fumes of extra virgin olive, olive, and canola oils. J. Agric. Food Chem 2004, 52, 5207–5214. [Google Scholar]
- Hung, H; Wu, W; Cheng, Y; Wu, T; Chang, K; Lee, H. Association of cooking oil fumes exposure with lung cancer: Involvement of inhibitor of apoptosis proteins in cell survival and proliferation in vitro. Mutat. Res. Genet. Toxicol. Environ. Mutagen 2007, 628, 107–116. [Google Scholar]
- Boldo, E; Medina, S; LeTertre, A; Hurley, F; Mucke, HG; Ballester, F; Aguilera, I; Eilstein, D. Apheis: Health impact assessment of long-term exposure to PM2.5 in 23 European cities. Eur. J. Epidemiol 2006, 21, 449–458. [Google Scholar]
- Pope, CA; Dockery, DW. Health effects of fine particulate air pollution: Lines that connect. J. Air Waste Manage. Assoc 2006, 56, 709–742. [Google Scholar]
- Oberdörster, G; Gelein, RM; Ferin, J; Weiss, B. Association of particulate air pollution and acute mortality: involvement of ultrafine particles? Inhal. Toxicol 1995, 7, 111–124. [Google Scholar]
- Brown, DM; Wilson, MR; MacNee, W; Stone, V; Donaldson, K. Size-dependent proinflammatory effects of ultrafine polystyrene particles: a role for surface area and oxidative stress in the enhanced activity of ultrafines. Toxicol. Appl. Pharmacol 2001, 175, 191–199. [Google Scholar]
- Kuschner, WG; Wong, H; Alessandro, AD; Quinlan, P; Blanc, PD. Human pulmonary responses to experimental inhalation of high concentration fine and ultrafine magnesium oxide particles. Environ. Health Persp 1997, 105, 1234–1237. [Google Scholar]
- Nemmar, A; Vanbilloen, H; Hoylaerts, MF; Hoet, PHM; Verbruggen, A; Nemery, B. Passage of intratracheally instilled ultrafine particles from the lung into the systemic circulation in hamster. Am. J. Respir. Crit. Care Med 2001, 164, 1665–1668. [Google Scholar]
- Renwick, LC; Brown, D; Clouter, A; Donaldson, K. Increased inflammation and altered macrophage chemotactic responses caused by two ultrafine particle types. Occup. Environ. Med 2004, 61, 442–447. [Google Scholar]
- Wallace, LA; Emmerich, SJ; Howard-Reed, C. Source strengths of ultrafine and fine particles due to cooking with a gas stove. Environ. Sci. Technol 2004, 38, 2304–2311. [Google Scholar]
- Li, C; Lin, W; Jenq, F. Size distributions of submicrometer aerosol from cooking. Environ. Int 1993, 19, 147–154. [Google Scholar]
- He, C; Morawska, L; Hitchins, J; Gilbert, D. Contribution from indoor sources to particle number and mass concentrations in residential houses. Atmos Environ 2004, 38, 3405–3415. [Google Scholar] [Green Version]
- Lee, SC; Li, WM; Chan, LY. Indoor air quality at restaurants with different styles of cooking in metropolitan Hong Kong. Sci. Total Environ 2001, 279, 181–193. [Google Scholar]
- See, SW; Balasubramanian, R. Chemical characteristics of fine particles emitted from different gas cooking methods. Atmos. Environ 2008, 42, 8852–8862. [Google Scholar]
- Buonanno, G; Morawska, L; Stabile, L. Particle emission factors during cooking activities. Atmos. Environ 2009, 43, 3235–3242. [Google Scholar] [Green Version]
- Yanosky, JD; Williams, PL; MacIntosh, DL. A comparison of two direct-reading aerosol monitors with the Federal Reference Method for PM2.5 in indoor air. Atmos. Environ 2002, 36, 107–113. [Google Scholar]
- Nazaroff, WW. Inhalation intake fraction of pollutants from episodic indoor emissions. Build. Environ 2008, 43, 269–277. [Google Scholar]
- Adams, WC. Measurement of breathing rate and volume in routinely performed daily activities. . Contract No. A033-205, Air Resources Board: Sacramento, CA, USA, 1993. [Google Scholar]
- Bennett, DH; McKone, TE; Evans, JS; Nazaroff, WW; Margni, MD; Jolliet, O. Defining intake fraction. Environ. Sci. Technol 2002, 36, A206–A211. [Google Scholar]
- Lai, ACK; Thatcher, TL; Nazaroff, WW. Inhalation transfer factors for air pollution health risk assessment. J. Air Waste Manage. Assoc 2000, 50, 1688–1699. [Google Scholar]
- Klepeis, NE. Using computer simulation to explore multi-compartment effects and mitigation strategies for residential exposure to secondhand tobacco smoke. . PhD Dissertation, University of California, Berkeley, CA, USA 2004. [Google Scholar]
- Ko, YC; Lee, CH; Chen, MJ; Huang, CC; Chang, WY; Lin, HJ. Risk factors for primary lung cancer among non-smoking women in Taiwan. Int. J. Epidemiol 1997, 26, 24–31. [Google Scholar]
- Metayer, C; Wang, ZY; Kleinerman, RA; Wang, LD; Brenner, AV; Cui, HX. Cooking oil fumes and risk of lung cancer in women in rural Gansu, China. 2002, 35, 111–117. [Google Scholar]
- See, SW; Balasubramanian, R. Risk assessment of exposure to indoor aerosols associated with Chinese cooking. Environ. Res 2006, 102, 197–204. [Google Scholar]






| No. | Experimental Variables | Environmental parameters | ||||||||
|---|---|---|---|---|---|---|---|---|---|---|
| Site | Style | Ingredients | Stove | Fan | Temp. | Cooking time (min) | UFPs (×105 #/cm3) | PM2.5 (μg/m3) | BC (μg/m3) | |
| 1 | R1 | Indian | Chicken & rice | E | On | H | 62 | 1.13 | 94.3 | 0.6 |
| 2 | R1 | Indian | Egg & vegetable | E | On | H | 36 | 0.92 | 38.6 | 0.2 |
| 3 | R1 | Italian | Pasta & vegetable | E | On | H | 43 | 0.13 | 34.5 | 0.2 |
| 4 | R1 | Indian | Onion & tomato | E | On | H | 38 | 0.99 | 36.5 | 0.3 |
| 5 | R1 | Chinese | Chicken, shrimp & vegetable | E | On | H | 38 | 1.99 | 230.9 | 0.8 |
| 6 | R1 | Indian | Chicken & rice | E | On | H | 39 | 1.27 | 143.7 | 0.5 |
| 7 | S1 | American | Fried chicken | E | On | M | 27 | 0.30 | 20.4 | 0.2 |
| 8 | S1 | American | Fried chicken | E | On | H | 11 | 1.15 | 78.3 | 0.3 |
| 9 | A1 | American | Fried chicken | E | Off | M | 28 | 0.35 | 10.0 | 0.1 |
| 10 | A1 | American | Fried chicken | E | Off | H | 12 | 1.65 | 22.2 | 0.3 |
| 11 | A2 | American | Fried chicken | G | On | M | 23 | 1.73 | 18.8 | 0.2 |
| 12 | A2 | American | Fried chicken | G | On | H | 14 | 4.62 | 98.1 | 0.5 |
| 13 | A2 | American | Fried chicken | G | Off | M | 26 | 2.65 | 12.4 | 0.3 |
| 14 | A2 | American | Fried chicken | G | Off | H | 12 | 6.04 | 63.7 | 0.3 |
© 2010 by the authors; licensee Molecular Diversity Preservation International, Basel, Switzerland. This article is an open-access article distributed under the terms and conditions of the Creative Commons Attribution license (http://creativecommons.org/licenses/by/3.0/).
Share and Cite
Zhang, Q.; Gangupomu, R.H.; Ramirez, D.; Zhu, Y. Measurement of Ultrafine Particles and Other Air Pollutants Emitted by Cooking Activities. Int. J. Environ. Res. Public Health 2010, 7, 1744-1759. https://doi.org/10.3390/ijerph7041744
Zhang Q, Gangupomu RH, Ramirez D, Zhu Y. Measurement of Ultrafine Particles and Other Air Pollutants Emitted by Cooking Activities. International Journal of Environmental Research and Public Health. 2010; 7(4):1744-1759. https://doi.org/10.3390/ijerph7041744
Chicago/Turabian StyleZhang, Qunfang, Roja H. Gangupomu, David Ramirez, and Yifang Zhu. 2010. "Measurement of Ultrafine Particles and Other Air Pollutants Emitted by Cooking Activities" International Journal of Environmental Research and Public Health 7, no. 4: 1744-1759. https://doi.org/10.3390/ijerph7041744
APA StyleZhang, Q., Gangupomu, R. H., Ramirez, D., & Zhu, Y. (2010). Measurement of Ultrafine Particles and Other Air Pollutants Emitted by Cooking Activities. International Journal of Environmental Research and Public Health, 7(4), 1744-1759. https://doi.org/10.3390/ijerph7041744
