Temperature Effect on Water Extractability of Cadmium, Copper, Lead and Zinc from Composted Organic Solid Wastes of South-West Nigeria
Abstract
:1. Introduction
2. Materials and Methods
2.1. Composting
2.2. Batch Extraction Experiment at Different Temperature Regimes
2.3. Statistics
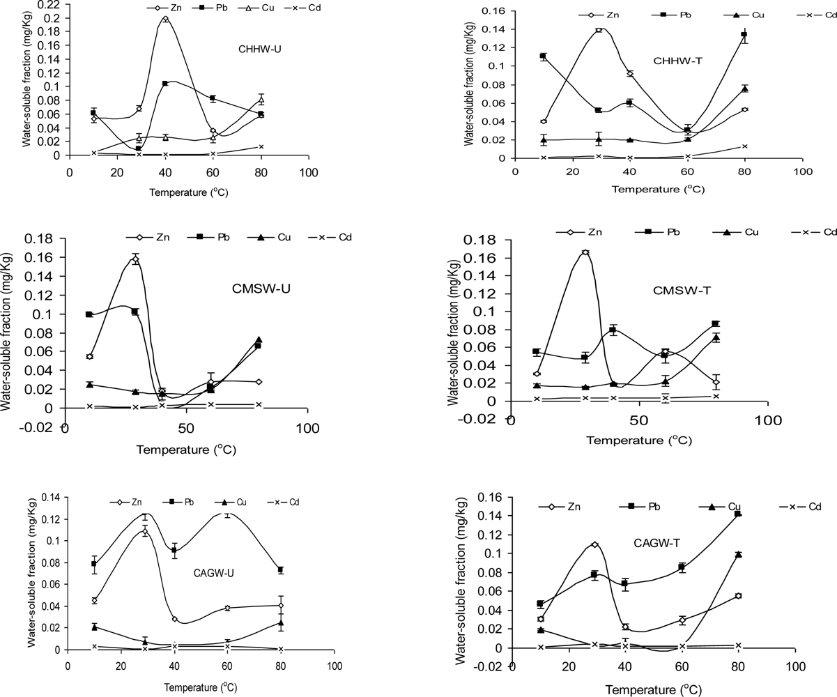
3. Results
4. Discussion
5. Conclusions
References
- Garg, SK. Environmental Engineering, vol. II: Sewage Disposal and Air Pollution Engineering; Khanna Publishers: New Delhi, India, 1979; pp. 749–764. [Google Scholar]
- Uberoi, NK. Environmental Management, 2nd ed; Excel Books: New Delhi, India, 2003; pp. 85–98. [Google Scholar]
- He, X; Traina, SJ; Logan, TJ. Chemical properties of municipal solid waste composts. J. Environ. Qual 1992, 21, 318–329. [Google Scholar]
- Barker, AV; Gretchen, MB. Bioremediation of heavy metals and organic toxicant by composting. Sci. Word J 2002, 2, 407–420. [Google Scholar]
- Nriagu, NJ. Toxic metal pollution in Africa. Sci. Total Environ 1992, 121, 1–37. [Google Scholar]
- Ikem, A; Osibanjo, O; Sridhar, MKC; Sobande, A. Evaluation of groundwater quality characteristics near two waste sites in Ibadan and Lagos, Nigeria. Water, Air Soil Pollut 2002, 140, 307–333. [Google Scholar]
- Adekunle, IM; Adetunji, MT; Gbadebo, AM; Banjoko, O. Toxicological assessment of groundwater quality in a typical rural settlement of south west Nigeria. Int. J. Environ. Res. Public Health 2007, 4, 307–318. [Google Scholar]
- Stevenson, FJ. Humus Chemistry: Genesis, Composition and Reaction; John Wiley & Sons: New York, NY, USA, 1994. [Google Scholar]
- Iwegbue, CMA; Emuh, FN; Isirimah, NO; Egun, AC. Review on fractionation, characterization and speciation of heavy metals in compost and compost amended soils. Afr. J. Biotechnol 2007, 6, 67–78. [Google Scholar]
- Chu, LM; Wong, MH. Heavy metal contents of vegetable crops treated with refuse compost and sewage sludge. Plant Soil 1987, 103, 191–197. [Google Scholar]
- Greenway, GM; Song, QJ. Heavy metal speciation in the composting process. J. Environ. Monit 2002, 4, 300–305. [Google Scholar]
- Sridhar, MKC; Adeoye, GO. Organo-mineral fertilizers from urban wastes: developments in Nigeria. The Nigerian Field 2003, 68, 91–111. [Google Scholar]
- Adeoye, GO; Sridhar, MKC; Mohammed, OE. Poultry waste management for crop production: Nigerian experience. Waste Manage. Res 1994, 12, 165–172. [Google Scholar]
- Gigliotti, G; Businelli, D; Giusquiani, PL. Trace metal uptake and distribution in corn plants grown on a 6-year urban waste compost amended soil. Agric. Ecosyst. Environ 1996, 58, 199–206. [Google Scholar]
- Garrido, S; Campo, G; Esteller, M; Vaca, R; Lugo, J. Heavy metals in soils treated with sewage sludge composting, their effect on yield and uptake of broad bean seed (Vicia faba L.). Water, Air Soil Pollut 2005, 166, 303–319. [Google Scholar]
- Adekunle, IM; Adekunle, AA. Creating awareness on solid waste re-use as organic fertilizer in Nigeria. In Proceedings of the 4th Annual National Conference of the Senate on the Nigerian Environment; Imobvare, E, Ed.; Port Harcourt: Nigeria, 5–7 July 2006; pp. 126–132. [Google Scholar]
- Intanwongse, M; Dean, JR. Uptake of heavy metals by vegetable plants grown on contaminated soil and their bioavailability in the human gastrointestinal tract. Food Addit. Contam 2006, 23, 36–48. [Google Scholar]
- Adekunle, IM; Delay, M; Frimmel, FH. Elutionsversuche zur Bestimmung der Freisetzung Anorganischer Stoffe aus Abfallmaterialien (Leaching test to determine the release of inorganic compounds from waste materials). Wissenschaftliche Abschlussberichte, Internationales Seminar fur Forschung und Lehre in Chemieingenieurwissen, Technicher und Physikalischer Chemie, Universitaet Karlsruhe, Germany 2004, 39, 5–14. [Google Scholar]
- Sawhney, BI; Bugbee, GJ; Stilwell, DE. Leachability of arsenic from field containers filled with plant growth medium amended with biosolids compost. Compost. Sci. Util 1996, 4, 33–39. [Google Scholar]
- Adekunle, IM; Onianwa, PC. Functional group characteristics of humic and fulvic acids extracted from some agricultural wastes. Nigerian J. Sci 2001, 35, 15–19. [Google Scholar]
- Porasso, RD; Benegas, JC; van den Hoop, MAGT. Analysis of trace metal humic acid interactions using counterion condenstation theory. Environ. Sci Technol 2002, 36, 3815–3821. [Google Scholar]
- Adekunle, IM; Ndahi, NP; Adekunle, IO; Akinbowale, AA. Soil organic amendment affects soil factors and heavy metal availability. In Proceedings of the 1st National Conference on Organic Agriculture in Nigeria; Olasantan, FO, Aiyelaagbe, IOO, Olowe, VIO, Phillip, BB, Eds.; University of Agriculture Abeokuta: Abeokuta, Nigeria, October 25–28 2005; pp. 175–182. [Google Scholar]
- Adekunle, IM; Olagundudu, SO; Ogunleye, OO. Influence of humic acid on plant metal uptake and translocation. In Proceedings of the 13th International Conference of the International Humic Substance Society (IHSS); Frimmel, FH, Abbt-Braun, G, Eds.; University of Karlsruhe: Karlsruhe, Germany; July 30 to August 4, 2006; pp. 433–436. [Google Scholar]
- Adekunle, IM; Akinola, OA; Kuyoro, MA. Role of humic acid on metal accumulation in plant tissue. In Proceedings of the 13th International Conference of the International Humic Substance Society (IHSS); Frimmel, FH, Abbt-Braun, G, Eds.; University of Karlsruhe: Karlsruhe, Germany; July 30 to August 4, 2006; pp. 817–820. [Google Scholar]
- Adekunle, IM; Arowolo, TA; Ndahi, NP; Bello, B; Owolabi, DA. Chemical characteristics of humic acids in relation to lead, copper and cadmium levels in contaminated soils from southwest Nigeria. Ann. Environ. Sci 2007, 1, 23–34. [Google Scholar]

| Zn | Pb | Cu | Cd | |||||||||
|---|---|---|---|---|---|---|---|---|---|---|---|---|
| Compost type | Total Water Wm/Tm (Tm) extractable × 100 (Wm) (%) | Total Water Wm/Tm (Tm) extractable × 100 (Wm) (%) | Total Water Wm/Tm (Tm) extractable × 100 (Wm) (%) | Total Water Wm/Tm (Tm) extractable × 100 (Wm) (%) | ||||||||
| 10 °C | ||||||||||||
| CHHW-U | 3.38 ± 0.75 | 0.053 | 1.57 | 0.13 ± 0.01 | 0.006 | 4.62 | 0.77 ± 0.09 | 0.031 | 4.03 | 0.13 ± 0.003 | 0.003 | 2.30 |
| CHHW-T | 2.83 ± 0.53 | 0.040 | 1.41 | 4.33 ± 0.26 | 0.110 | 2.54 | 0.82 ± 0.05 | 0.020 | 2.44 | 0.13 ± 0.003 | 0.001 | 0.77 |
| CMSW-U | 6.00 ± 0.29 | 0.055 | 0.92 | 4.33 ± 0.25 | 0.099 | 2.29 | 0.82 ± 0.09 | 0.025 | 3.05 | 0.22 ± 0.001 | 0.002 | 0.91 |
| CMSW-T | 1.67 ± 0.89 | 0.300 | 1.80 | 7.50 ± 0.18 | 0.054 | 0.72 | 0.70 ± 0.13 | 0.097 | 2.43 | 0.22 ± 0.001 | 0.002 | 0.91 |
| CAGW-U | 2.33 ± 0.04 | 0.045 | 1.93 | 4.33 ± 0.26 | 0.078 | 1.80 | 0.73 ± 0.06 | 0.038 | 5.21 | 0.15 ± 0.005 | 0.003 | 2.00 |
| CAGW-T | 0.83 ± 0.44 | 0.300 | 3.61 | 2.17 ± 0.06 | 0.046 | 2.12 | 0.67 ± 0.04 | 0.033 | 4.93 | 0.15 ± 0.005 | 0.009 | 6.00 |
| 29 °C | ||||||||||||
| CHHW-U | 3.38 ± 0.75 | 0.068 | 2.01 | 0.13 ± 0.01 | 0.009 | 6.92 | 0.77 ± 0.09 | 0.025 | 3.25 | 0.13 ± 0.003 | 0.001 | 0.77 |
| CHHW-T | 2.83 ± 0.53 | 0.139 | 4.91 | 4.33 ± 0.26 | 0.052 | 1.20 | 0.82 ± 0.05 | 0.029 | 2.56 | 0.13 ± 0.003 | 0.002 | 1.54 |
| CMSW-U | 6.00 ± 0.29 | 0.158 | 2.63 | 4.33 ± 0.25 | 0.102 | 2.36 | 0.82 ± 0.09 | 0.097 | 2.07 | 0.22 ± 0.001 | 0.003 | 1.36 |
| CMSW-T | 1.67 ± 0.89 | 0.166 | 9.94 | 7.50 ± 0.18 | 0.048 | 0.64 | 0.70 ± 0.11 | 0.015 | 2.14 | 0.22 ± 0.001 | 0.002 | 0.91 |
| CAGW-U | 2.33 ± 0.04 | 0.109 | 4.68 | 4.33 ± .26 | 0.125 | 2.89 | 0.73 ± 0.06 | 0.019 | 2.60 | 0.15 ± 0.005 | 0.004 | 2.67 |
| CAGW-T | 0.83 ± 0.44 | 0.110 | 13.25 | 2.17 ± 0.06 | 0.077 | 3.55 | 0.67 ± 0.04 | 0.019 | 2.84 | 0.15 ± 0.005 | 0.004 | 2.67 |
| 40 °C | ||||||||||||
| CHHW-U | 3.38 ± 0.75 | 0.200 | 5.92 | 0.13 ± 0.01 | 0.004 | 3.07 | 0.77 ± 0.09 | 0.260 | 3.38 | 0.13 ± 0.003 | 0.001 | 0.77 |
| CHHW-T | 2.83 ± 0.53 | 0.092 | 3.25 | 4.33 ± 0.26 | 0.060 | 1.39 | 0.82 ± 0.05 | 0.200 | 2.44 | 0.13 ± 0.003 | 0.001 | 0.77 |
| CMSW-U | 6.00 ± 0.29 | 0.018 | 0.30 | 4.33 ± 0.25 | 0.004 | 0.09 | 0.82 ± 0.09 | 0.015 | 1.83 | 0.22 ± 0.001 | 0.003 | 1.36 |
| CMSW-T | 1.67 ± 0.89 | 0.019 | 1.14 | 7.50 ± 0.18 | 0.079 | 1.05 | 0.70 ± 0.01 | 0.019 | 2.71 | 0.22 ± 0.001 | 0.002 | 0.91 |
| CAGW-U | 2.33 ± 0.04 | 0.028 | 1.20 | 4.33 ± 0.26 | 0.091 | 2.10 | 0.73 ± 0.06 | 0.017 | 2.33 | 0.15 ± 0.005 | 0.003 | 2.00 |
| CAGW-T | 0.83 ± 0.44 | 0.022 | 2.65 | 2.17 ± 0.06 | 0.097 | 4.47 | 0.67 ± 0.04 | 0.014 | 2.09 | 0.15 ± 0.005 | 0.002 | 1.33 |
| 60 °C | ||||||||||||
| CHHW-U | 3.38 ± 0.75 | 0.036 | 1.07 | 0.13 ± 0.01 | 0.002 | 1.54 | 0.77 ± 0.09 | 0.026 | 3.38 | 0.13 ± 0.003 | 0.002 | 1.54 |
| CHHW-T | 2.83 ± 0.53 | 0.029 | 1.02 | 4.33 ± 0.26 | 0.031 | 0.72 | 0.82 ± 0.05 | 0.021 | 2.56 | 0.13 ± 0.003 | 0.002 | 1.54 |
| CMSW-U | 6.00 ± 0.29 | 0.028 | 0.47 | 4.33 ± 0.25 | 0.022 | 0.51 | 0.82 ± 0.09 | 0.020 | 2.44 | 0.22 ± 0.001 | 0.004 | 1.82 |
| CMSW-T | 1.67 ± 0.89 | 0.055 | 3.29 | 7.50 ± 0.18 | 0.050 | 0.67 | 0.70 ± 0.13 | 0.022 | 3.14 | 0.22 ± 0.001 | 0.004 | 1.82 |
| CAGW-U | 2.33 ± 0.04 | 0.038 | 1.63 | 4.33 ± 0.26 | 0.067 | 1.55 | 0.73 ± 0.06 | 0.023 | 3.15 | 0.15 ± 0.005 | 0.003 | 2.00 |
| CAGW-T | 0.83 ± 0.44 | 0.029 | 3.49 | 2.17 ± 0.06 | 0.078 | 3.59 | 0.67 ± 0.04 | 0.020 | 2.99 | 0.15 ± 0.005 | 0.003 | 2.00 |
| 80 °C | ||||||||||||
| CHHW-U | 3.38 ± 0.75 | 0.057 | 1.69 | 0.13 ± 0.01 | 0.009 | 6.92 | 0.77 ± 0.09 | 0.071 | 9.22 | 0.13 ± 0.003 | 0.012 | 9.23 |
| CHHW-T | 2.83 ± 0.53 | 0.053 | 1.87 | 4.33 ± 0.26 | 0.114 | 2.63 | 0.82 ± 0.05 | 0.076 | 9.27 | 0.13 ± 0.003 | 0.009 | 6.92 |
| CMSW-U | 6.00 ± 0.29 | 0.028 | 0.47 | 4.33 ± 0.25 | 0.065 | 1.50 | 0.82 ± 0.09 | 0.073 | 8.90 | 0.22 ± 0.001 | 0.004 | 1.82 |
| CMSW-T | 1.67 ± 0.89 | 0.041 | 2.46 | 7.50 ± 0.18 | 0.860 | 1.15 | 0.70 ± 0.13 | 0.065 | 9.29 | 0.22 ± 0.001 | 0.005 | 2.27 |
| CAGW-U | 2.33 ± 0.04 | 0.041 | 1.76 | 4.33 ± 0.26 | 0.098 | 2.26 | 0.73 ± 0.06 | 0.530 | 7.26 | 0.15 ± 0.005 | 0.001 | 0.67 |
| CAGW-T | 0.83 ± 0.44 | 0.055 | 6.63 | 2.17 ± 0.06 | 0.163 | 7.51 | 0.67 ± 0.04 | 0.060 | 8.96 | 0.15 ± 0.005 | 0.003 | 2.00 |
| Compost type | Metal type | Linear regression equation (Y = bx + c) | R2 | r |
|---|---|---|---|---|
| CHHW-U | Cd | Y = 0.001x – 0.0014 | 0.4699 | 0.685* |
| Cu | Y = 0.0009x – 0.00084 | 0.7756 | 0.881*** | |
| Pb | Y = 0.003x + 0.0497 | 0.0565 | 0.238 | |
| Zn | Y = −0.0003x + 0.0963 | 0.0159 | 0.126 | |
| CHHW-T | Cd | Y = 0.001x – 0.0020 | 0.6031 | 0.777** |
| Cu | Y = 0.0007x + 0.0015 | 0.5661 | 0.752* | |
| Pb | Y = 0.0002x + 0.0679 | 0.0187 | 0.137 | |
| Zn | Y = −0.0005x + 0.091 | 0.0785 | 0.280 | |
| CMSW-U | Cd | Y = 4E-05x + 0.0011 | 0.6687 | 0.818** |
| Cu | Y = 0.0006x + 0.0031 | 0.4707 | 0.686* | |
| Pb | Y = −0.0007x + 0.0905 | 0.2012 | 0.449 | |
| Zn | Y = −0.0009x + 0.099 | 0.1981 | 0.445 | |
| CMSW-T | Cd | Y = 4E-05x + 0.0016 | 0.7968 | 0.893*** |
| Cu | Y = 0.0007x – 0.0018 | 0.6374 | 0.798** | |
| Pb | Y = 0.0004x + 0.0472 | 0.3184 | 0.564 | |
| Zn | Y = −0.0006x + 0.0863 | 0.0791 | 0.281 | |
| CAGW-U | Cd | Y = −1E-05x + 0.0028 | 0.1294 | 0.360 |
| Cu | Y = 6E-05x + 0.0102 | 0.0341 | 0.185 | |
| Pb | Y = −5E-05x + 0.1008 | 0.0029 | 0.054 | |
| Zn | Y = −0.0004x + 0.0691 | 0.1059 | 0.325 | |
| CAGW-T | Cd | Y = 1E-05x + 0.0018 | 0.1064 | 0.326 |
| Cu | Y = 0.001x – 0.0177 | 0.4224 | 0.650 | |
| Pb | Y = 0.0012x + 0.0307 | 0.8414 | 0.917*** | |
| Zn | Y = −9E-05x + 0.0531 | 0.0045 | 0.067 | |
| Temp. (°C) | Compost_HHW-T | Compost_HH W-U | Compost_AGW-T | Compost_AGW-U | Compost_MSW-T | Compost_MSW-U |
|---|---|---|---|---|---|---|
| Pb | Y = 0.0002x + 0.0679 | Y = 0.003x + 0.0479 | Y = 0.0012x + 0.0307 | Y = −5E-05x + 0.1008 | Y = 0.0004x + 0.0472 | Y = −0.0007x + 0.0905 |
| 0.1 | 0.06792 | 0.0482 | 0.03082 | 0.100795 | 0.04724 | 0.09043 |
| 0.2 | 0.06794 | 0.0485 | 0.03094 | 0.100790 | 0.04728 | 0.09036 |
| 0.3 | 0.06796 | 0.0488 | 0.03106 | 0.100785 | 0.04732 | 0.09029 |
| 0.4 | 0.06798 | 0.0491 | 0.03118 | 0.100780 | 0.04736 | 0.09022 |
| 0.5 | 0.06800 | 0.0494 | 0.03130 | 0.100775 | 0.04740 | 0.09015 |
| 0.6 | 0.06802 | 0.0497 | 0.03142 | 0.100770 | 0.04744 | 0.09008 |
| 0.7 | 0.06804 | 0.0500 | 0.03154 | 0.100765 | 0.04748 | 0.09007 |
| 0.8 | 0.06806 | 0.0503 | 0.03166 | 0.100760 | 0.04752 | 0.09000 |
| 0.9 | 0.06808 | 0.0506 | 0.03178 | 0.100755 | 0.04756 | 0.08987 |
| 1.0 | 0.06810 | 0.0509 | 0.03190 | 0.100750 | 0.04760 | 0.08980 |
| 1.1 | 0.06812 | 0.0512 | 0.03202 | 0.100745 | 0.04764 | 0.08973 |
| 1.2 | 0.06814 | 0.0515 | 0.03214 | 0.100740 | 0.04768 | 0.08966 |
| 1.3 | 0.06816 | 0.0518 | 0.03226 | 0.100735 | 0.04772 | 0.08959 |
| 1.4 | 0.06818 | 0.0521 | 0.03238 | 0.100730 | 0.04726 | 0.08952 |
| 1.5 | 0.06820 | 0.0524 | 0.03250 | 0.100725 | 0.04730 | 0.08945 |
| *Δ | 0.00002 | 0.0003 | 0.00012 | −0.000005 | 0.00004 | −0.00007 |
| **Δ 0.1, 1.5 | 0.41 % | 8.71% | 5.45% | −0.07% | 0.13% | −1.08% |
| Cd | Y = 0.001x – 0.0020 | Y = 0.001x – 0.0014 | Y = 1E-05x + 0.0018 | Y = −1E-05x + 0.0028 | Y= 4E-05x + 0.0016 | Y= 4E-05x + 0.0011 |
| 0.1 | −0.0019 | −0.0013 | 0.001801 | 0.002799 | 0.001604 | 0.001104 |
| 0.2 | −0.0018 | −0.0012 | 0.001802 | 0.002798 | 0.001608 | 0.001108 |
| 0.3 | −0.0017 | −0.0011 | 0.001803 | 0.002797 | 0.001612 | 0.001112 |
| 0.4 | −0.0016 | −0.0010 | 0.001804 | 0.002796 | 0.001616 | 0.001116 |
| 0.5 | −0.0015 | −0.0009 | 0.001805 | 0.002795 | 0.001620 | 0.001120 |
| 0.6 | −0.0014 | −0.0008 | 0.001806 | 0.002794 | 0.001624 | 0.001124 |
| 0.7 | −0.0013 | −0.0007 | 0.001807 | 0.002793 | 0.001628 | 0.001128 |
| 0.8 | −0.0012 | −0.0006 | 0.001808 | 0.002792 | 0.001632 | 0.001132 |
| 0.9 | −0.0011 | −0.0005 | 0.001809 | 0.002791 | 0.001636 | 0.001136 |
| 1.0 | −0.0010 | −0.0004 | 0.001810 | 0.002790 | 0.001640 | 0.001140 |
| 1.1 | −0.0009 | −0.0003 | 0.001811 | 0.002789 | 0.001644 | 0.001144 |
| 1.2 | −0.0008 | −0.0002 | 0.001812 | 0.002788 | 0.001648 | 0.001148 |
| 1.3 | −0.0007 | −0.0001 | 0.001813 | 0.002787 | 0.001652 | 0.001152 |
| 1.4 | −0.0006 | 0.000 | 0.001814 | 0.002786 | 0.001656 | 0.001156 |
| 1.5 | −0.0005 | 0.0001 | 0.001815 | 0.002785 | 0.001660 | 0.001162 |
| *Δ | 0.0001 | 0.0001 | 0.000001 | −0.000001 | 0.000004 | 0.000004 |
| **Δ 0.1, 1.5 | 73.68% | 108% | 0.78% | −0.50% | 3.49% | 5.25% |
| Temp. (°C) | Compost_HHW-T | Compost_HH W-U | Compost_AGW-T | Compost_AGW-U | Compost_MSW-T | Compost_MSW-U |
|---|---|---|---|---|---|---|
| Cu | Y = 0.0007x + 0.0015 | Y = 0.0009x – 0.00084 | Y = 0.001x – 0.0177 | Y = 6E-05x + 0.0102 | Y = 0.0007x – 0.0018 | Y = 0.0006x + 0.0031 |
| 0.1 | 0.00157 | −0.00075 | −0.0176 | 0.010206 | −0.00173 | 0.00316 |
| 0.2 | 0.00164 | −0.00066 | −0.0175 | 0.010212 | −0.00166 | 0.00322 |
| 0.3 | 0.00171 | −0.00057 | −0.0174 | 0.010218 | −0.00159 | 0.00328 |
| 0.4 | 0.00178 | −0.00048 | −0.0173 | 0.010224 | −0.00152 | 0.00334 |
| 0.5 | 0.00185 | −0.00039 | −0.0172 | 0.010230 | −0.00145 | 0.00340 |
| 0.6 | 0.00192 | −0.00030 | −0.0171 | 0.010236 | −0.00138 | 0.00346 |
| 0.7 | 0.00199 | −0.00021 | −0.0170 | 0.010242 | −0.00131 | 0.00352 |
| 0.8 | 0.00206 | −0.00012 | −0.0169 | 0.010248 | −0.00124 | 0.00358 |
| 0.9 | 0.00213 | −0.00003 | −0.0168 | 0.010254 | −0.00117 | 0.00364 |
| 1.0 | 0.00220 | −0.00006 | −0.0167 | 0.010260 | −0.00110 | 0.00370 |
| 1.1 | 0.00227 | 0.00015 | −0.0166 | 0.010266 | −0.00103 | 0.00376 |
| 1.2 | 0.00234 | 0.00024 | −0.0165 | 0.010272 | −0.00096 | 0.00382 |
| 1.3 | 0.00241 | 0.00033 | −0.0164 | 0.010278 | −0.00089 | 0.00388 |
| 1.4 | 0.00248 | 0.00042 | −0.0163 | 0.010284 | −0.00082 | 0.00394 |
| 1.5 | 0.00255 | 0.00051 | −0.0162 | 0.010290 | −0.00075 | 0.00400 |
| *Δ | 0.00007 | 0.00009 | 0.0001 | 0.000006 | 0.00007 | 0.00006 |
| **Δ 0.1, 1.5 | 62.42% | 168% | 7.95% | 0.82% | 56.65% | 26.58 |
| Zn | Y = −0.0005x + 0.091 | Y = −0.0003x + 0.0963 | Y = −9E-05x + 0.0531 | Y = −0.0004x + 0.0691 | Y = −0.0006x + 0.0863 | Y = −0.0009x + 0.099 |
| 0.1 | 0.09095 | 0.09627 | 0.053091 | 0.06906 | 0.08624 | 0.09891 |
| 0.2 | 0.09090 | 0.09624 | 0.053082 | 0.06902 | 0.08618 | 0.09882 |
| 0.3 | 0.09085 | 0.09623 | 0.053073 | 0.06898 | 0.08612 | 0.09873 |
| 0.4 | 0.09080 | 0.09618 | 0.053064 | 0.06894 | 0.08606 | 0.09864 |
| 0.5 | 0.09075 | 0.09615 | 0.053055 | 0.06890 | 0.08600 | 0.09855 |
| 0.6 | 0.09070 | 0.09612 | 0.053046 | 0.06886 | 0.08594 | 0.09846 |
| 0.7 | 0.09065 | 0.09609 | 0.053037 | 0.06882 | 0.08588 | 0.09837 |
| 0.8 | 0.09060 | 0.09606 | 0.053028 | 0.06878 | 0.08582 | 0.09828 |
| 0.9 | 0.09055 | 0.09603 | 0.053019 | 0.06874 | 0.08576 | 0.09819 |
| 1.0 | 0.09050 | 0.09600 | 0.053010 | 0.06870 | 0.08570 | 0.09810 |
| 1.1 | 0.09045 | 0.09597 | 0.053001 | 0.06866 | 0.08564 | 0.09801 |
| 1.2 | 0.09040 | 0.09594 | 0.052992 | 0.06862 | 0.08558 | 0.09792 |
| 1.3 | 0.09035 | 0.09591 | 0.052983 | 0.06858 | 0.08552 | 0.09783 |
| 1.4 | 0.09030 | 0.09588 | 0.052974 | 0.06854 | 0.08546 | 0.09774 |
| 1.5 | 0.09025 | 0.09585 | 0.052965 | 0.06850 | 0.08540 | 0.09765 |
| *Δ | −0.00005 | −0.00003 | −0.000009 | −0.00004 | −0.00006 | −0.00009 |
| **Δ 0.1, 1.5 | −0.77% | −0.44% | −0.24% | −0.81% | −0.97% | −1.27% |
© 2009 by the authors; licensee Molecular Diversity Preservation International, Basel, Switzerland. This article is an open-access article distributed under the terms and conditions of the Creative Commons Attribution license (http://creativecommons.org/licenses/by/3.0/).
Share and Cite
Adekunle, I.M. Temperature Effect on Water Extractability of Cadmium, Copper, Lead and Zinc from Composted Organic Solid Wastes of South-West Nigeria. Int. J. Environ. Res. Public Health 2009, 6, 2397-2407. https://doi.org/10.3390/ijerph6092397
Adekunle IM. Temperature Effect on Water Extractability of Cadmium, Copper, Lead and Zinc from Composted Organic Solid Wastes of South-West Nigeria. International Journal of Environmental Research and Public Health. 2009; 6(9):2397-2407. https://doi.org/10.3390/ijerph6092397
Chicago/Turabian StyleAdekunle, Iheoma M. 2009. "Temperature Effect on Water Extractability of Cadmium, Copper, Lead and Zinc from Composted Organic Solid Wastes of South-West Nigeria" International Journal of Environmental Research and Public Health 6, no. 9: 2397-2407. https://doi.org/10.3390/ijerph6092397
APA StyleAdekunle, I. M. (2009). Temperature Effect on Water Extractability of Cadmium, Copper, Lead and Zinc from Composted Organic Solid Wastes of South-West Nigeria. International Journal of Environmental Research and Public Health, 6(9), 2397-2407. https://doi.org/10.3390/ijerph6092397
