Leveraging Machine Learning to Predict Warfarin Sensitivity in the Puerto Rican Population: A Pharmacogenomic Approach
Highlights
- Warfarin therapy is associated with substantial adverse drug events and hospitalizations in older adults.
- Genetic and clinical heterogeneity complicates safe warfarin dosing in admixed Hispanic populations.
- Many existing warfarin pharmacogenomic models have limited applicability across populations with differing genetic architectures.
- Incorporation of population specific genetic variation improves classification of warfarin sensitivity.
- Population-informed prediction models may improve the clinical management of anticoagulation therapy.
- Broader representation of genetic backgrounds is needed to enhance the generalizability of pharmacogenomic tools.
Abstract
1. Introduction
2. Materials and Methods
3. Results
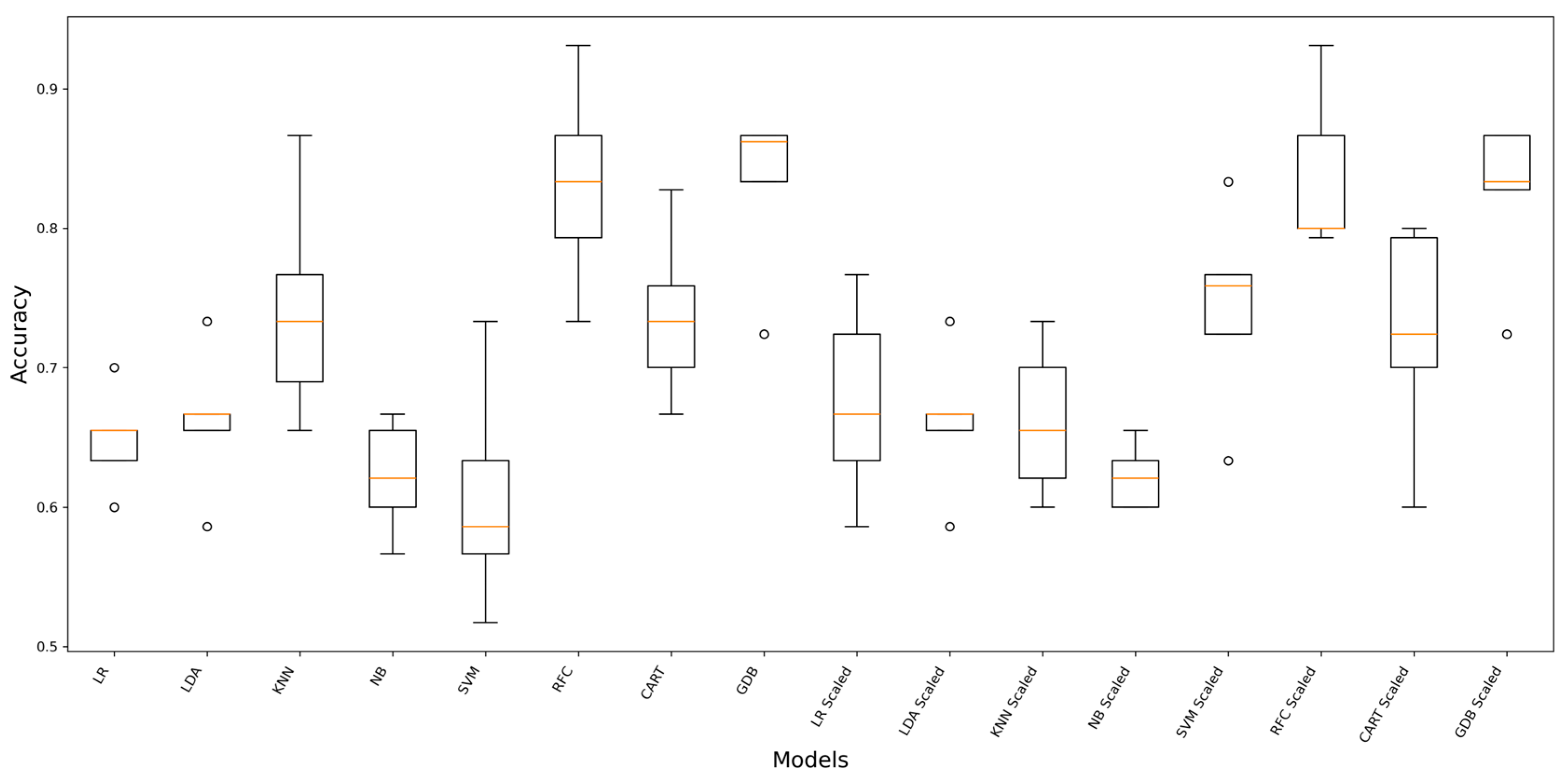
3.1. Predictive Algorithm Comparison
3.2. Predictive Algorithm Tuning
3.3. Permutation Feature Importance
4. Discussion
5. Conclusions
Author Contributions
Funding
Institutional Review Board Statement
Informed Consent Statement
Data Availability Statement
Acknowledgments
Conflicts of Interest
Abbreviations
| BMI | Body Mass Index |
| CART | Decision Tree Classifier |
| CPIC | Clinical Pharmacogenetics Implementation Consortium |
| CYP2C9 | Cytochrome P450 Family 2 Subfamily C Member 9 |
| CYP4F2 | Cytochrome P450 Family 4 Subfamily F Member 2 |
| GDB | Gradient Boosting Classifier |
| GWAS | Genome-Wide Association Studies |
| KNN | k-Nearest Neighbor |
| LDA | Linear Discriminant Analysis |
| LR | Logistic Regression |
| ML | Machine Learning |
| NB | Gaussian Naïve Bayes |
| NTI | Narrow Therapeutic Index |
| NQO1 | NAD(P)H Quinone Oxidoreductase 1 |
| PGx | Pharmacogenomics |
| PR-AUC | Area Under The Precision–Recall Curve |
| RFC | Random Forest Classifier |
| SMOTE | Synthetic Minority Oversampling |
| SNPs | Single Nucleotide Polymorphisms |
| SVM | Support Vector Machine Classifier |
| VKORC1 | Vitamin K Epoxide Reductase Complex 1 |
References
- Sadee, W.; Wang, D.; Hartmann, K.; Toland, A.E. Pharmacogenomics: Driving Personalized Medicine. Pharmacol. Rev. 2023, 75, 789–814. [Google Scholar] [CrossRef] [PubMed]
- Auwerx, C.; Sadler, M.C.; Reymond, A.; Kutalik, Z. From Pharmacogenetics to Pharmaco-Omics: Milestones and Future Directions. Hum. Genet. Genom. Adv. 2022, 3, 100100. [Google Scholar] [CrossRef]
- Aneesh, T.P.; Sekhar, S.; Jose, A.; Chandran, L.; Zachariah, S.M. Pharmacogenomics: The Right Drug to the Right Person. J. Clin. Med. Res. 2009, 1, 191–194. [Google Scholar] [CrossRef][Green Version]
- Quiñones, L.; Roco, Á.; Cayún, J.P.; Escalante, P.; Miranda, C.; Varela, N.; Meneses, F.; Gallegos, B.; Zaruma-Torres, F.; Lares-Asseff, I. Clinical Applications of Pharmacogenomics. Rev. Med. Chil. 2017, 145, 483–500. [Google Scholar] [CrossRef]
- Relling, M.V.; Klein, T.E. CPIC: Clinical Pharmacogenetics Implementation Consortium of the Pharmacogenomics Research Network. Clin. Pharmacol. Ther. 2011, 89, 464–467. [Google Scholar] [CrossRef]
- Drozda, K.; Pacanowski, M.A.; Grimstein, C.; Zineh, I. Pharmacogenetic Labeling of FDA-Approved Drugs. JACC Basic Transl. Sci. 2018, 3, 545–549. [Google Scholar] [CrossRef]
- Kim, J.A.; Ceccarelli, R.; Lu, C.Y. Pharmacogenomic Biomarkers in US FDA-Approved Drug Labels (2000–2020). J. Pers. Med. 2021, 11, 179. [Google Scholar] [CrossRef]
- Food and Drug Administration. Table of Pharmacogenetic Associations; FDA: Silver Spring, MD, USA, 2020; Volume 21, pp. 1–9. [Google Scholar]
- Zhang, H.; De, T.; Zhong, Y.; Perera, M.A. The Advantages and Challenges of Diversity in Pharmacogenomics: Can Minority Populations Bring Us Closer to Implementation? Clin. Pharmacol. Ther. 2019, 106, 338–349. [Google Scholar] [CrossRef]
- Wardrop, D.; Keeling, D. The Story of the Discovery of Heparin and Warfarin. Br. J. Haematol. 2008, 141, 757–763. [Google Scholar] [CrossRef] [PubMed]
- Pirmohamed, M. Warfarin: Almost 60 Years Old and Still Causing Problems. Br. J. Clin. Pharmacol. 2006, 62, 509–511. [Google Scholar] [CrossRef] [PubMed]
- Shi, K.; Deng, J. Comparative Performance of Pharmacogenetics-Based Warfarin Dosing Algorithms in Chinese Population: Use of a Pharmacokinetic/Pharmacodynamic Model to Explore Dosing Regimen through Clinical Trial Simulation. Pharmacogenetics Genom. 2024, 34, 275–284. [Google Scholar] [CrossRef] [PubMed]
- Budnitz, D.S.; Lovegrove, M.C.; Shehab, N.; Richards, C.L. Emergency Hospitalizations for Adverse Drug Events in Older Americans. N. Engl. J. Med. 2011, 365, 2002–2012. [Google Scholar] [CrossRef] [PubMed]
- Johnson, J.A.; Cavallari, L.H. Warfarin Pharmacogenetics. Trends Cardiovasc. Med. 2015, 25, 33–41. [Google Scholar] [CrossRef] [PubMed]
- Johnson, J.; Caudle, K.; Gong, L.; Whirl-Carrillo, M.; Stein, C.; Scott, S.; Lee, M.; Gage, B.; Kimmel, S.; Perera, M.; et al. Clinical Pharmacogenetics Implementation Consortium (CPIC) Guideline for Pharmacogenetics-Guided Warfarin Dosing: 2017 Update. Clin. Pharmacol. Ther. 2017, 102, 397–404. [Google Scholar] [CrossRef]
- Sangkuhl, K.; Claudio-Campos, K.; Cavallari, L.H.; Agundez, J.A.G.; Whirl-Carrillo, M.; Duconge, J.; Del Tredici, A.L.; Wadelius, M.; Rodrigues Botton, M.; Woodahl, E.L.; et al. PharmVar GeneFocus: CYP2C9. Clin. Pharmacol. Ther. 2021, 110, 662–676. [Google Scholar] [CrossRef]
- Zubiaur, P.; Rodríguez-Antona, C.; Boone, E.C.; Daly, A.K.; Tsermpini, E.E.; Khasawneh, L.Q.; Sangkuhl, K.; Duconge, J.; Botton, M.R.; Savieo, J.; et al. PharmVar GeneFocus: CYP4F2. Clin. Pharmacol. Ther. 2024, 116, 963–975. [Google Scholar] [CrossRef]
- Dean, L. Warfarin Therapy and VKORC1 and CYP Genotype. In Medical Genetics Summaries; Pratt, V.M., Scott, S.A., Pirmohamed, M., Esquivel, B., Kattman, B.L., Malheiro, A.J., Eds.; National Center for Biotechnology Information (US): Bethesda, MD, USA, 2012. [Google Scholar]
- Sirugo, G.; Williams, S.M.; Tishkoff, S.A. The Missing Diversity in Human Genetic Studies. Cell 2019, 177, 26–31. [Google Scholar] [CrossRef]
- Suarez-Kurtz, G.; Parra, E.J. Population Diversity in Pharmacogenetics: A Latin American Perspective. Adv. Pharmacol. 2018, 83, 133–154. [Google Scholar]
- Peterson, R.E.; Kuchenbaecker, K.; Walters, R.K.; Chen, C.-Y.; Popejoy, A.B.; Periyasamy, S.; Lam, M.; Iyegbe, C.; Strawbridge, R.J.; Brick, L.; et al. Genome-Wide Association Studies in Ancestrally Diverse Populations: Opportunities, Methods, Pitfalls, and Recommendations. Cell 2019, 179, 589–603. [Google Scholar] [CrossRef]
- Mills, M.; Rahal, C. The GWAS Diversity Monitor Tracks Diversity by Disease in Real Time. Nat. Genet. 2020, 52, 242–243. [Google Scholar] [CrossRef]
- Popejoy, A.B. Diversity In Precision Medicine And Pharmacogenetics: Methodological And Conceptual Considerations For Broadening Participation. Pharmacogenomics Pers. Med. 2019, 12, 257–271. [Google Scholar] [CrossRef]
- Martínez-Cruzado, J.C.; Toro-Labrador, G.; Ho-Fung, V.; Estévez-Montero, M.A.; Lobaina-Manzanet, A.; Padovani-Claudio, D.A.; Sánchez-Cruz, H.; Ortiz-Bermúdez, P.; Sánchez-Crespo, A. Mitochondrial DNA Analysis Reveals Substantial Native American Ancestry in Puerto Rico. Hum. Biol. 2001, 73, 491–511. [Google Scholar] [CrossRef]
- Alpaydin, E. Introduction to Machine Learning; MIT Press: Cambridge, MA, USA, 2020; p. 25. [Google Scholar]
- MacEachern, S.; Forkert, N. Machine Learning for Precision Medicine. Genome 2021, 64, 416–425. [Google Scholar] [CrossRef]
- Rahmani, A.M.; Yousefpoor, E.; Yousefpoor, M.S.; Mehmood, Z.; Haider, A.; Hosseinzadeh, M.; Ali Naqvi, R. Machine Learning (ML) in Medicine: Review, Applications, and Challenges. Mathematics 2021, 9, 2970. [Google Scholar] [CrossRef]
- Sigala, R.E.; Lagou, V.; Shmeliov, A.; Atito, S.; Kouchaki, S.; Awais, M.; Prokopenko, I.; Mahdi, A.; Demirkan, A. Machine Learning to Advance Human Genome-Wide Association Studies. Genes 2023, 15, 34. [Google Scholar] [CrossRef]
- Squires, S.; Weedon, M.N.; Oram, R.A. Exploring the Application of Deep Learning Methods for Polygenic Risk Score Estimation. Biomed. Phys. Eng. Express 2023, 11, 25056. [Google Scholar] [CrossRef]
- Elgart, M.; Lyons, G.; Romero-Brufau, S.; Kurniansyah, N.; Brody, J.A.; Guo, X.; Lin, H.J.; Raffield, L.; Gao, Y.; Chen, H.; et al. Non-Linear Machine Learning Models Incorporating SNPs and PRS Improve Polygenic Prediction in Diverse Human Populations. Commun. Biol. 2022, 5, 856. [Google Scholar] [CrossRef]
- Libbrecht, M.W.; Noble, W.S. Machine Learning Applications in Genetics and Genomics. Nat. Rev. Genet. 2015, 16, 321–332. [Google Scholar] [CrossRef]
- Cilluffo, G.; Fasola, S.; Ferrante, G.; Malizia, V.; Montalbano, L.; La Grutta, S. Machine Learning: An Overview and Applications in Pharmacogenetics. Genes 2021, 12, 1511. [Google Scholar] [CrossRef] [PubMed]
- Claudio-Campos, K.; Moneró-Paredes, M.; Hernández, E.; Renta, J.; Duconge, J. Low-Frequency Variants at the CYP2C9 Locus Among Puerto Rican Patients on Warfarin: In Silico Predictions of Functionality and Conservation. Pharmacogenomics 2019, 20, 891–902. [Google Scholar] [CrossRef] [PubMed]
- Claudio-Campos, K.; Labastida, A.; Ramos, A.; Gaedigk, A.; Renta-Torres, J.; Padilla, D.; Rivera-Miranda, G.; Scott, S.A.; Ruaño, G.; Cadilla, C.L.; et al. Warfarin Anticoagulation Therapy in Caribbean Hispanics of Puerto Rico: A Candidate Gene Association Study. Front. Pharmacol. 2017, 8, 347. [Google Scholar] [CrossRef] [PubMed]
- Claudio-Campos, K.I.; González-Santiago, P.; Renta, J.Y.; Rodríguez, J.; Carrasquillo, K.; Gaedigk, A.; Roche, A.; Ducongé, J. CYP2C9*61, a Rare Missense Variant Identified in a Puerto Rican Patient with Low Warfarin Dose Requirements. Pharmacogenomics 2019, 20, 3–8. [Google Scholar] [CrossRef] [PubMed]
- Tang, F.; Ishwaran, H. Random Forest Missing Data Algorithms. Stat. Anal. Data Min. ASA Data Sci. J. 2017, 10, 363–377. [Google Scholar] [CrossRef]
- Shah, A.D.; Bartlett, J.W.; Carpenter, J.; Nicholas, O.; Hemingway, H. Comparison of Random Forest and Parametric Imputation Models for Imputing Missing Data Using MICE: A CALIBER Study. Am. J. Epidemiol. 2014, 179, 764–774. [Google Scholar] [CrossRef]
- Johnson, J.A.; Gong, L.; Whirl-Carrillo, M.; Gage, B.F.; Scott, S.A.; Stein, C.M.; Anderson, J.L.; Kimmel, S.E.; Lee, M.T.M.; Pirmohamed, M.; et al. Clinical Pharmacogenetics Implementation Consortium Guidelines for CYP2C9 and VKORC1 Genotypes and Warfarin Dosing. Clin. Pharmacol. Ther. 2011, 90, 625–629. [Google Scholar] [CrossRef]
- Saleh, M.I. Clinical Predictors Associated With Warfarin Sensitivity. Am. J. Ther. 2016, 23, e1690–e1694. [Google Scholar] [CrossRef] [PubMed]
- Finkelman, B.S.; Gage, B.F.; Johnson, J.A.; Brensinger, C.M.; Kimmel, S.E. Genetic Warfarin Dosing. J. Am. Coll. Cardiol. 2011, 57, 612–618. [Google Scholar] [CrossRef]
- The International Warfarin Pharmacogenetics Consortium. Estimation of the Warfarin Dose with Clinical and Pharmacogenetic Data. N. Engl. J. Med. 2009, 360, 753–764. [Google Scholar] [CrossRef]
- Duconge, J.; Ramos, A.S.; Claudio-Campos, K.; Rivera-Miranda, G.; Bermúdez-Bosch, L.; Renta, J.Y.; Cadilla, C.L.; Cruz, I.; Feliu, J.F.; Vergara, C.; et al. A Novel Admixture-Based Pharmacogenetic Approach to Refine Warfarin Dosing in Caribbean Hispanics. PLoS ONE 2016, 11, e0145480. [Google Scholar] [CrossRef]
- Chawla, N.V.; Bowyer, K.W.; Hall, L.O.; Kegelmeyer, W.P. SMOTE: Synthetic Minority Over-Sampling Technique. J. Artif. Intell. Res. 2002, 16, 321–357. [Google Scholar] [CrossRef]
- Martinez-Jimenez, J. Flowchart Describing Methodology from Dataset Preparation to Permutation Feature Importance. Available online: https://biorender.com/y34c352 (accessed on 14 January 2026).
- Tharwat, A.; Gaber, T.; Ibrahim, A.; Hassanien, A.E. Linear Discriminant Analysis: A Detailed Tutorial. AI Commun. 2017, 30, 169–190. [Google Scholar] [CrossRef]
- Natekin, A.; Knoll, A. Gradient Boosting Machines, a Tutorial. Front. Neurorobot. 2013, 7, 21. [Google Scholar] [CrossRef]
- Navada, A.; Ansari, A.N.; Patil, S.; Sonkamble, B.A. Overview of Use of Decision Tree Algorithms in Machine Learning. In Proceedings of the 2011 IEEE Control and System Graduate Research Colloquium; IEEE: Piscataway, NJ, USA, 2011; pp. 37–42. [Google Scholar]
- Lewis, D.P.; Jebara, T.; Noble, W.S. Support Vector Machine Learning from Heterogeneous Data: An Empirical Analysis Using Protein Sequence and Structure. Bioinformatics 2006, 22, 2753–2760. [Google Scholar] [CrossRef]
- Zou, X.; Hu, Y.; Tian, Z.; Shen, K. Logistic Regression Model Optimization and Case Analysis. In Proceedings of the 2019 IEEE 7th International Conference on Computer Science and Network Technology (ICCSNT); IEEE: Piscataway, NJ, USA, 2019; pp. 135–139. [Google Scholar]
- Khorshidpour, Z.; Hashemi, S.; Hamzeh, A. Evaluation of Random Forest Classifier in Security Domain. Appl. Intell. 2017, 47, 558–569. [Google Scholar] [CrossRef]
- Cunningham, P.; Delany, S.J. K-Nearest Neighbour Classifiers—A Tutorial. ACM Comput. Surv. 2022, 54, 1–25. [Google Scholar] [CrossRef]
- Bemando, C.; Miranda, E.; Aryuni, M. Machine-Learning-Based Prediction Models of Coronary Heart Disease Using Naïve Bayes and Random Forest Algorithms. In Proceedings of the 2021 International Conference on Software Engineering & Computer Systems and 4th International Conference on Computational Science and Information Management (ICSECS-ICOCSIM); IEEE: Piscataway, NJ, USA, 2021; pp. 232–237. [Google Scholar]
- Sultana, Z.; Rahman, M.; Nahar, L. Leaf Classification Using Machine Learning Algorithms. J. Appl. Comput. Sci. Math. 2022, 16, 18–23. [Google Scholar] [CrossRef]
- Krstinić, D.; Braović, M.; Šerić, L.; Božić-Štulić, D. Multi-Label Classifier Performance Evaluation with Confusion Matrix. Comput. Sci. Inf. Technol. 2020, 1, 1–14. [Google Scholar] [CrossRef]
- Zhang, Y.; Nie, B.; Du, J.; Chen, J.; Du, Y.; Jin, H.; Zheng, X.; Chen, X.; Miao, Z. Feature Selection Based on Neighborhood Rough Sets and Gini Index. PeerJ Comput. Sci. 2023, 9, e1711. [Google Scholar] [CrossRef]
- Ahsan, M.; Mahmud, M.; Saha, P.; Gupta, K.; Siddique, Z. Effect of Data Scaling Methods on Machine Learning Algorithms and Model Performance. Technologies 2021, 9, 52. [Google Scholar] [CrossRef]
- Wei, Z.; Wang, W.; Bradfield, J.; Li, J.; Cardinale, C.; Frackelton, E.; Kim, C.; Mentch, F.; Van Steen, K.; Visscher, P.M.; et al. Large Sample Size, Wide Variant Spectrum, and Advanced Machine-Learning Technique Boost Risk Prediction for Inflammatory Bowel Disease. Am. J. Hum. Genet. 2013, 92, 1008–1012. [Google Scholar] [CrossRef]
- Shi, H.; Kichaev, G.; Pasaniuc, B. Contrasting the Genetic Architecture of 30 Complex Traits from Summary Association Data. Am. J. Hum. Genet. 2016, 99, 139–153. [Google Scholar] [CrossRef] [PubMed]
- López, B.; Torrent-Fontbona, F.; Viñas, R.; Fernández-Real, J.M. Single Nucleotide Polymorphism Relevance Learning with Random Forests for Type 2 Diabetes Risk Prediction. Artif. Intell. Med. 2018, 85, 43–49. [Google Scholar] [CrossRef] [PubMed]


| Variables | Groups | |
|---|---|---|
| Non-Sensitive Warfarin Dosing (%) | Sensitive Warfarin Dosing (%) | |
| CYP2C9*2 (rs1799853; C > T) | 119 (81.51) | 27 (18.49) |
| C/C | 85 (71.43) | 17 (62.96) |
| C/T | 32 (26.89) | 8 (29.63) |
| T/T | 2 (1.68) | 2 (7.41) |
| CYP2C9 rs202201137; c.1370A > G | ||
| A/A | 118 (99.16) | 26 (96.30) |
| A/G | 1 (0.84) | 1 (3.70) |
| G/G | 0 (0.00) | 0 (0.00) |
| CYP2C9 rs2860905 (G > A) | ||
| G/G | 59 (49.58) | 9 (33.33) |
| G/A | 51 (42.86) | 14 (51.85) |
| A/A | 9 (7.56) | 4 (14.81) |
| CYP2C9 rs1856908 (T > G) | ||
| T/T | 22 (18.49) | 4 (14.81) |
| T/G | 76 (63.87) | 20 (74.07) |
| G/G | 21 (17.65) | 3 (11.11) |
| CYP2C9*8 (rs7900194; G > A) | ||
| G/G | 105 (88.24) | 26 (96.30) |
| G/A | 5 (4.20) | 1 (3.70) |
| A/A | 9 (7.56) | 0 (0.00) |
| CYP2C9 Cluster | ||
| 0 | 30 (25.21) | 5 (18.52) |
| 1 | 72 (60.50) | 19 (70.37) |
| 2 | 17 (14.29) | 3 (11.11) |
| VKORC1*2 (rs9923231; G > A) | ||
| G/G | 55 (46.22) | 11 (40.74) |
| G/A | 52 (43.70) | 13 (48.15) |
| A/A | 12 (10.08) | 3 (11.11) |
| NQO1*2 (rs1800566; C > T) | ||
| C/C | 86 (72.27) | 24 (88.89) |
| C/T | 26 (21.85) | 2 (7.41) |
| T/T | 7 (5.88) | 1 (3.70) |
| CYP4F2*3 (rs2108622; c.1297G > A) | ||
| G/G | 93 (78.15) | 20 (74.07) |
| G/A | 20 (16.81) | 6 (22.22) |
| A/A | 6 (5.04) | 1 (3.70) |
| ABCB1 rs10276036 (C > T) | ||
| C/C | 20 (16.81) | 3 (11.11) |
| C/T | 91 (76.47) | 23 (85.19) |
| T/T | 8 (6.72) | 1 (3.70) |
| CES2 rs4783745 (G > A) | ||
| G/G | 101 (84.87) | 25 (92.59) |
| G/A | 16 (13.45) | 2 (7.41) |
| A/A | 2 (1.68) | 0 (0.00) |
| Sex | ||
| Male | 95 (79.83) | 23 (85.19) |
| Female | 24 (20.17) | 4 (14.81) |
| Age in Years (Mean ± SD) | 65.59 ± 11.56 | 67.33 ± 14.79 |
| Height in Inches (Mean ± SD) | 66.53 ± 3.59 | 66.61 ± 2.38 |
| BMI (Mean ± SD) | 29.97 ± 6.33 | 29.71 ± 5.63 |
| ML Algorithms | Accuracy | Precision | Recall (Sensitivity) | Specificity | PPV | NPV | PR-AUC | PR-AUC 95% CI |
|---|---|---|---|---|---|---|---|---|
| GDB | 0.7500 | 0.7642 | 0.1429 | 0.8444 | 0.125 | 0.8636 | 0.1686 | 0.066–0.419 |
| RFC | 0.7308 | 0.7596 | 0.1429 | 0.8222 | 0.1111 | 0.8605 | 0.1786 | 0.068–0.442 |
| CART | 0.6538 | 0.7176 | 0 | 0.7556 | 0 | 0.8293 | 0.1346 | 0.057–0.231 |
| Feature | Rankings CART | Rankings GDB | Rankings RFC | Rankings Mean |
|---|---|---|---|---|
| CYP2C9 rs202201137 (A > G) | 4 | 6 | 4 | 4.666667 |
| VKORC1*2 | 4 | 5 | 6 | 5 |
| BMI | 1 | 2 | 13 | 5.333333 |
| Height in Inches | 13 | 1 | 2 | 5.333333 |
| CYP4F2*3 | 4 | 6 | 7 | 5.666667 |
| NQO1*2 | 4 | 12 | 1 | 5.666667 |
| CYP2C9 rs2860905 (G > A) | 2 | 11 | 5 | 6 |
| Sex | 4 | 6 | 8 | 6 |
| CES2 rs4783745 (G > A) | 4 | 13 | 3 | 6.666667 |
| CYP2C9*2 | 3 | 4 | 14 | 7 |
| CYP2C9 rs1856908 (T > G) | 4 | 6 | 11 | 7 |
| CYP2C9*8 | 4 | 10 | 12 | 8.666667 |
| ABCB1 rs10276036 (C > T) | 4 | 14 | 9 | 9 |
| CYP2C9 Cluster | 14 | 3 | 10 | 9 |
| Age in Years | 15 | 15 | 15 | 15 |
Disclaimer/Publisher’s Note: The statements, opinions and data contained in all publications are solely those of the individual author(s) and contributor(s) and not of MDPI and/or the editor(s). MDPI and/or the editor(s) disclaim responsibility for any injury to people or property resulting from any ideas, methods, instructions or products referred to in the content. |
© 2026 by the authors. Licensee MDPI, Basel, Switzerland. This article is an open access article distributed under the terms and conditions of the Creative Commons Attribution (CC BY) license.
Share and Cite
Martínez-Jiménez, J.E.; Ortega-Lampón, Y.; Cedres-Rivera, D.; Heredia-Negrón, F.; Roche-Lima, A.; Duconge, J. Leveraging Machine Learning to Predict Warfarin Sensitivity in the Puerto Rican Population: A Pharmacogenomic Approach. Int. J. Environ. Res. Public Health 2026, 23, 337. https://doi.org/10.3390/ijerph23030337
Martínez-Jiménez JE, Ortega-Lampón Y, Cedres-Rivera D, Heredia-Negrón F, Roche-Lima A, Duconge J. Leveraging Machine Learning to Predict Warfarin Sensitivity in the Puerto Rican Population: A Pharmacogenomic Approach. International Journal of Environmental Research and Public Health. 2026; 23(3):337. https://doi.org/10.3390/ijerph23030337
Chicago/Turabian StyleMartínez-Jiménez, Jorge E., Yolianne Ortega-Lampón, Dylan Cedres-Rivera, Frances Heredia-Negrón, Abiel Roche-Lima, and Jorge Duconge. 2026. "Leveraging Machine Learning to Predict Warfarin Sensitivity in the Puerto Rican Population: A Pharmacogenomic Approach" International Journal of Environmental Research and Public Health 23, no. 3: 337. https://doi.org/10.3390/ijerph23030337
APA StyleMartínez-Jiménez, J. E., Ortega-Lampón, Y., Cedres-Rivera, D., Heredia-Negrón, F., Roche-Lima, A., & Duconge, J. (2026). Leveraging Machine Learning to Predict Warfarin Sensitivity in the Puerto Rican Population: A Pharmacogenomic Approach. International Journal of Environmental Research and Public Health, 23(3), 337. https://doi.org/10.3390/ijerph23030337

