Health-Related Quality of Life and Functional Status of Post-COVID-19 Patients
Abstract
1. Introduction
2. Materials and Methods
2.1. Study Design
2.2. Ethical Aspects
2.3. Selection of Participants
2.4. Inclusion Criteria
2.5. Exclusion Criteria
2.6. Outcomes and Measurement Instruments
2.6.1. Exercise Capacity: Six-Minute Test
2.6.2. Muscle Fatigue: Fatigue Severity Scale (FSS)
2.6.3. Severity of Dyspnea: Medical Research Council (MRC) Dyspnea Scale
2.6.4. Functional Status: Post-COVID-19 Functional Status Scale (PCFS)
2.6.5. HRQoL: Short-Form Health Survey 36 (SF-36)
2.7. Statistical Analysis
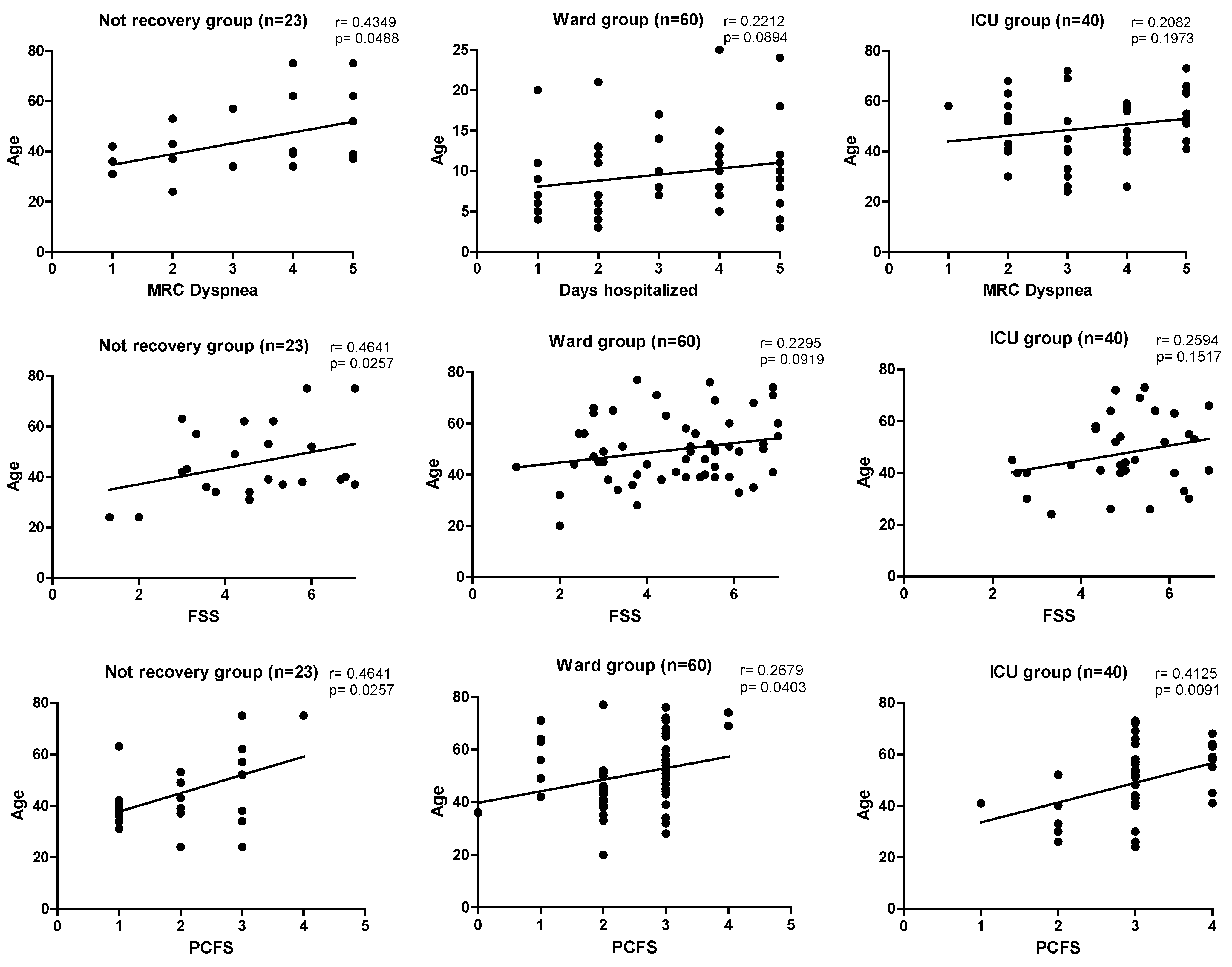
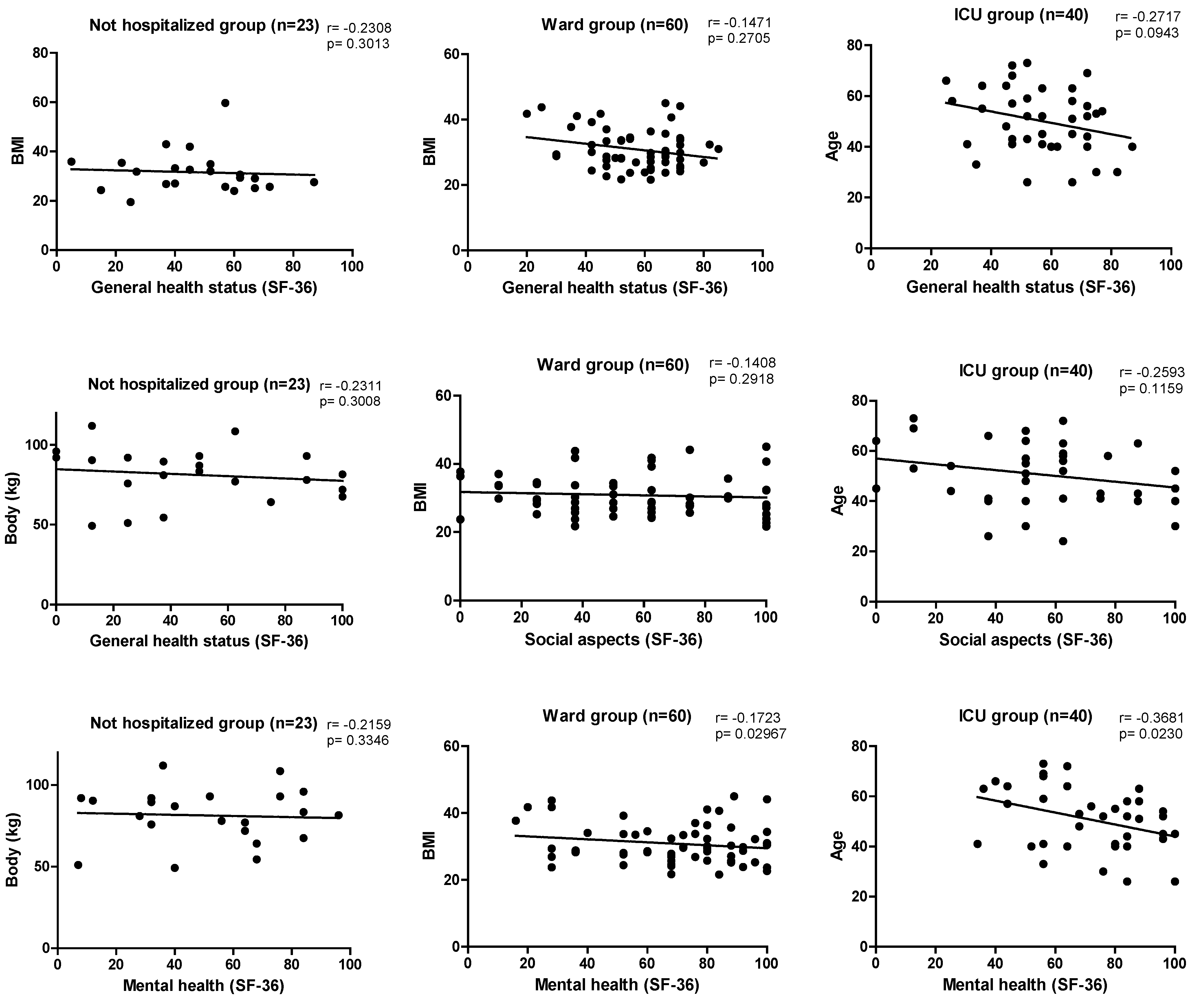
3. Results
4. Discussion
5. Conclusions
Author Contributions
Funding
Institutional Review Board Statement
Informed Consent Statement
Data Availability Statement
Acknowledgments
Conflicts of Interest
References
- Del Rio, C.; Malani, P.N. 2019 Novel Coronavirus-Important Information for Clinicians. JAMA 2020, 323, 1039–1040. [Google Scholar] [CrossRef] [PubMed]
- Parasher, A. COVID-19: Current understanding of its Pathophysiology, Clinical presentation and Treatment. Postgrad. Med. J. 2021, 97, 312–320. [Google Scholar] [CrossRef] [PubMed]
- Van Eijk, L.E.; Binkhorst, M.; Bourgonje, A.R.; Offringa, A.K.; Mulder, D.J.; Bos, E.M.; Kolundzic, N.; Abdulle, A.E.; van der Voort, P.H.; Olde Rikkert, M.G.; et al. COVID-19: Immunopathology, pathophysiological mechanisms, and treatment options. J. Pathol. 2021, 254, 307–331. [Google Scholar] [CrossRef]
- Cheng, Z.J.; Shan, J. Review 2019 Novel coronavirus: Where we are and what we know. Infection 2020, 48, 155–163. [Google Scholar] [CrossRef] [PubMed]
- Kakodkar, P.; Kaka, N.; Baig, M.N. A Comprehensive Literature Review on the Clinical Presentation, and Management of the Pandemic Coronavirus Disease 2019 (COVID-19). Cureus 2020, 12, e7560. [Google Scholar] [CrossRef] [PubMed]
- Grasselli, G.; Zangrillo, A.; Zanella, A.; Antonelli, M.; Cabrini, L.; Castelli, A.; Cereda, D.; Coluccello, A.; Foti, G.; Fumagalli, R.; et al. Baseline Characteristics and Outcomes of 1591 Patients Infected with SARS-CoV-2 Admitted to ICUs of the Lombardy Region, Italy. JAMA 2020, 323, 1574–1581. [Google Scholar] [CrossRef] [PubMed]
- Oronsky, B.; Larson, C.; Hammond, T.C.; Oronsky, A.; Kesari, S.; Lybeck, M.; Reid, T.R. A Review of Persistent Post-COVID Syndrome (PPCS). Clin. Rev. Allergy Immunol. 2023, 64, 66–74. [Google Scholar] [CrossRef] [PubMed]
- Yuan, N.; Lv, Z.H.; Sun, C.R.; Wen, Y.Y.; Tao, T.Y.; Qian, D.; Tao, F.P.; Yu, J.H. Post-acute COVID-19 symptom risk in hospitalized and non-hospitalized COVID-19 survivors: A systematic review and meta-analysis. Front. Public. Health 2023, 11, 1112383. [Google Scholar] [CrossRef] [PubMed]
- Nalbandian, A.; Sehgal, K.; Gupta, A.; Madhavan, M.V.; McGroder, C.; Stevens, J.S.; Cook, J.R.; Nordvig, A.S.; Shalev, D.; Sehrawat, T.S.; et al. Post-acute COVID-19 syndrome. Nat. Med. 2021, 27, 601–615. [Google Scholar] [CrossRef]
- Chippa, V.; Aleem, A.; Anjum, F. Post-Acute Coronavirus (COVID-19) Syndrome. In StatPearls; StatPearls Publishing: Treasure Island, FL, USA, 2024. [Google Scholar]
- Rochmawati, E.; Iskandar, A.C.; Kamilah, F. Persistent symptoms among post-COVID-19 survivors: A systematic review and meta-analysis. J. Clin. Nurs. 2024, 33, 29–39. [Google Scholar] [CrossRef] [PubMed]
- Carfì, A.; Bernabei, R.; Landi, F. Gemelli Against COVID-19 Post-Acute Care Study Group. Persistent Symptoms in Patients After Acute COVID-19. JAMA 2020, 324, 603–605. [Google Scholar] [CrossRef]
- Carenzo, L.; Protti, A.; Dalla Corte, F.; Aceto, R.; Iapichino, G.; Milani, A.; Santini, A.; Chiurazzi, C.; Ferrari, M.; Heffler, E.; et al. Short-term health-related quality of life, physical function and psychological consequences of severe COVID-19. Ann. Intensive Care 2021, 11, 91. [Google Scholar] [CrossRef] [PubMed]
- Gemelli Against COVID-19 Post-Acute Care Study Group. Post-COVID-19 global health strategies: The need for an interdisciplinary approach. Aging Clin. Exp. Res. 2020, 32, 1613–1620. [Google Scholar] [CrossRef] [PubMed]
- Barker-Davies, R.M.; O’Sullivan, O.; Prathima Senaratne, P.K.; Baker, P.; Cranley, M.; Dharm-Datta, S.; Ellis, H.; Goodall, D.; Gough, M.; Lewis, S.; et al. The Stanford Hall consensus statement for post-COVID-19 rehabilitation. Br. J. Sports Med. 2020, 54, 949–959. [Google Scholar] [CrossRef] [PubMed]
- Von Elm, E.; Altman, D.G.; Egger, M.; Pocock, S.J.; Gøtzsche, P.C.; Vandenbroucke, J.P.; Initiative, S. The Strengthening the Reporting of Observational Studies in Epidemiology (STROBE) statement: Guidelines for reporting observational studies. Lancet 2007, 370, 1453–1457. [Google Scholar] [CrossRef] [PubMed]
- Sciurba, F.C.; Slivka, W.A. Six-minute walk-testing. Semin. Resp. Crit. Care Med. 1998, 9, 383–391. [Google Scholar] [CrossRef]
- ATS Committee on Proficiency Standards for Clinical Pulmonary Function Laboratories. ATS statement: Guidelines for the six-minute walk test. Am. J. Respir. Crit. Care Med. 2002, 166, 111–117. [Google Scholar] [CrossRef]
- Britto, R.R.; Probst, V.S.; de Andrade, A.F.; Samora, G.A.R.; Hernandes, N.A.; Marinho, P.E.M.; Karsten, M.; Pitta, F.; Parreira, V.F. Reference equations for the six-minute walk distance based on a Brazilian multicenter study. Braz. J. Phys. Ther. 2013, 17, 556–563. [Google Scholar] [CrossRef]
- Krupp, L.B.; LaRocca, N.G.; Muir-Nash, J.; Steinberg, A.D. The fatigue severity scale: Application to patients with multiple sclerosis and systemic lupus erythematosus. Arch. Neurol. 1989, 46, 1121–1123. [Google Scholar] [CrossRef]
- Valderramas, S.; Feres, A.C.; Melo, A. Reliability and validity study of a Brazilian-Portuguese version of the fatigue severity scale in Parkinson’s disease patients. Arq. Neuro-Psiquiatr. 2012, 70, 497–500. [Google Scholar] [CrossRef] [PubMed]
- Bestall, J.C.; Paul, E.A.; Garrod, R.; Garnham, R.; Jones, P.W.; Wedzicha, J.A. Usefulness of the Medical Research Council (MRC) dyspnoea scale as a measure of disability in patients with chronic obstructive pulmonary disease. Thorax 1999, 54, 581–586. [Google Scholar] [CrossRef] [PubMed]
- Kovelis, D.; Segretti, N.O.; Probst, V.S.; Lareau, S.C.; Brunetto, A.F.; Pitta, F. Validation of the Modified Pulmonary Functional Status and Dyspnea Questionnaire and the Medical Research Council scale for use in Brazilian patients with chronic obstructive pulmonary disease. J. Bras. Pneumol. 2008, 34, 1008–1018. [Google Scholar] [CrossRef]
- Boon, G.J.A.M.; Barco, S.; Bertoletti, L.; Ghanima, W.; Huisman, M.V.; Kahn, S.R.; Noble, S.; Prandoni, P.; Rosovsky, R.P.; Sista, A.K.; et al. Measuring functional limitations after venous thromboembolism: Optimization of the Post-VTE Functional Status (PVFS) Scale. Thromb. Res. 2020, 190, 45–51. [Google Scholar] [CrossRef] [PubMed]
- Klok, F.A.; Boon, G.J.; Barco, S.; Endres, M.; Geelhoed, J.M.; Knauss, S.; Rezek, S.A.; Spruit, M.A.; Vehreschild, J.; Siegerink, B. The Post-COVID-19 Functional Status scale: A tool to measure functional status over time after COVID-19. Eur. Respir. J. 2020, 56, 2001494. [Google Scholar] [CrossRef]
- Erber, J.; Wießner, J.R.; Zimmermann, G.S.; Barthel, P.; Burian, E.; Lohöfer, F.; Martens, E.; Mijočević, H.; Rasch, S.; Schmid, R.M.; et al. Longitudinal Assessment of Health and Quality of Life of COVID-19 Patients Requiring Intensive Care—An Observational Study. J. Clin. Med. 2021, 10, 5469. [Google Scholar] [CrossRef] [PubMed]
- Ware, J.E., Jr.; Sherbourne, C.D. The MOS 36-item short-form health survey (SF-36): I. Conceptual framework and item selection. Med. Care 1992, 30, 473–483. [Google Scholar] [CrossRef]
- Ciconelli, R.M.; Ferraz, M.B.; Santos, W.; Meinão, I.; Quaresma, M.R. Tradução para a língua portuguesa e validação do questionário genérico de avaliação de qualidade de vida SF-36 (Brasil SF-36). Rev. Bras Reumatol. 1999, 39, 143–150. [Google Scholar]
- Li, L.Q.; Huang, T.; Wang, Y.Q.; Wang, Z.P.; Liang, Y.; Huang, T.B.; Zhang, H.Y.; Sun, W.; Wang, Y. COVID-19 patients’ clinical characteristics, discharge rate, and fatality rate of meta-analysis. J. Med. Virol. 2020, 92, 577–583. [Google Scholar] [CrossRef]
- Luo, D.; Mei, B.; Wang, P.; Li, X.; Chen, X.; Wei, G.; Kuang, F.; Li, B.; Su, S. Prevalence and risk factors for persistent symptoms after COVID-19: A systematic review and meta-analysis. Clin. Microbiol. Infect. 2024, 30, 328–335. [Google Scholar] [CrossRef]
- Taboada, M.; Moreno, E.; Cariñena, A.; Rey, T.; Pita-Romero, R.; Leal, S.; Sanduende, Y.; Rodríguez, A.; Nieto, C.; Vilas, E.; et al. Quality of life, functional status, and persistent symptoms after intensive care of COVID-19 patients. Br. J. Anaesth. 2021, 126, e110–e113. [Google Scholar] [CrossRef] [PubMed]
- Demoule, A.; Morawiec, E.; Decavele, M.; Ohayon, R.; Malrin, R.; Galarza-Jimenez, M.A.; Laveneziana, P.; Morelot-Panzini, C.; Similowski, T.; De Rycke, Y.; et al. Health-related quality of life of COVID-19 two and 12 months after intensive care unit admission. Ann. Intensive Care 2022, 12, 16. [Google Scholar] [CrossRef] [PubMed]
- Leidy, N.K. Functional status and the forward progress of merry-go-rounds: Toward a coherent analytical framework. Nurs. Res. 1994, 43, 196–202. [Google Scholar] [CrossRef] [PubMed]
- Torres-Castro, R.; Núñez-Cortés, R.; Larrateguy, S.; Alsina-Restoy, X.; Barberà, J.A.; Gimeno-Santos, E.; García, A.R.; Sibila, O.; Blanco, I. Assessment of Exercise Capacity in Post-COVID-19 Patients: How Is the Appropriate Test Chosen? Life 2023, 13, 621. [Google Scholar] [CrossRef] [PubMed]
- Lombardi, F.; Calabrese, A.; Iovene, B.; Pierandrei, C.; Lerede, M.; Varone, F.; Richeldi, L.; Sgalla, G. Residual respiratory impairment after COVID-19 pneumonia. BMC Pulm. Med. 2021, 21, 241. [Google Scholar] [CrossRef]
- Cortés-Telles, A.; López-Romero, S.; Figueroa-Hurtado, E.; Pou-Aguilar, Y.N.; Wong, A.W.; Milne, K.M.; Ryerson, C.J.; Guenette, J.A. Pulmonary function and functional capacity in COVID-19 survivors with persistent dyspnoea. Respir. Physiol. Neurobiol. 2021, 288, 103644. [Google Scholar] [CrossRef] [PubMed]
- Magdy, D.M.; Metwally, A.; Tawab, D.A.; Hassan, S.A.; Makboul, M.; Farghaly, S. Long-term COVID-19 effects on pulmonary function, exercise capacity, and health status. Ann. Thorac. Med. 2022, 17, 28–36. [Google Scholar] [CrossRef] [PubMed]
- Betschart, M.; Rezek, S.; Unger, I.; Ott, N.; Beyer, S.; Böni, A.; Gisi, D.; Shannon, H.; Spruit, M.A.; Sieber, C. One year follow-up of physical performance and quality of life in patients surviving COVID-19: A prospective cohort study. Swiss Med. Wkly. 2021, 151, w30072. [Google Scholar] [CrossRef] [PubMed]
- Wu, X.; Liu, X.; Zhou, Y.; Yu, H.; Li, R.; Zhan, Q.; Ni, F.; Fang, S.; Lu, Y.; Ding, X.; et al. 3-month, 6-month, 9-month, and 12-month respiratory outcomes in patients following COVID-19-related hospitalisation: A prospective study. Lancet Respir. Med. 2021, 9, 747–754. [Google Scholar] [CrossRef]
- Núñez-Cortés, R.; Malhue-Vidal, C.; Gath, F.; Valdivia-Lobos, G.; Torres-Castro, R.; Cruz-Montecinos, C.; Martinez-Arnau, F.M.; Pérez-Alenda, S.; López-Bueno, R.; Calatayud, J. The Impact of Charlson Comorbidity Index on the Functional Capacity of COVID-19 Survivors: A Prospective Cohort Study with One-Year Follow-Up. Int. J. Environ. Res. Public Health 2022, 19, 7473. [Google Scholar] [CrossRef] [PubMed]
- Johnsen, S.; Sattler, S.M.; Miskowiak, K.W.; Kunalan, K.; Victor, A.; Pedersen, L.; Andreassen, H.F.; Jørgensen, B.J.; Heebøll, H.; Andersen, M.B.; et al. Descriptive analysis of long COVID sequelae identified in a multidisciplinary clinic serving hospitalised and non-hospitalised patients. ERJ Open Res. 2021, 7, 00205–02021. [Google Scholar] [CrossRef] [PubMed]
- Smith, J.M.; Lee, A.C.; Zeleznik, H.; Scott, J.P.C.; Fatima, A.; Needham, D.M.; Ohtake, P.J. Home and community-based physical therapist management of adults with post-intensive care syndrome. Phys. Ther. 2020, 100, 1062–1073. [Google Scholar] [CrossRef]
- Giurgi-Oncu, C.; Tudoran, C.; Pop, G.N.; Bredicean, C.; Pescariu, S.A.; Giurgiuca, A.; Tudoran, M. Cardiovascular Abnormalities and Mental Health Difficulties Result in a Reduced Quality of Life in the Post-Acute COVID-19 Syndrome. Brain Sci. 2021, 11, 1456. [Google Scholar] [CrossRef] [PubMed]
- Grover, S.; Sahoo, S.; Mishra, E.; Gill, K.S.; Mehra, A.; Nehra, R.; Suman, A.; Bhalla, A.; Puri, G.D. Fatigue, perceived stigma, self-reported cognitive deficits and psychological morbidity in patients recovered from COVID-19 infection. Asian J. Psychiatr. 2021, 64, 102815. [Google Scholar] [CrossRef] [PubMed]
- Eleftheriou, A.; Rokou, A.; Arvaniti, A.; Nena, E.; Steiropoulos, P. Sleep Quality and Mental Health of Medical Students in Greece During the COVID-19 Pandemic. Front. Public Health 2021, 9, 775374. [Google Scholar] [CrossRef]
- AlRasheed, M.M.; Al-Aqeel, S.; Aboheimed, G.I.; AlRasheed, N.M.; Abanmy, N.O.; Alhamid, G.A.; Alnemari, H.M.; Alkhowaiter, S.; Alharbi, A.R.; Khurshid, F.; et al. Quality of Life, Fatigue, and Physical Symptoms Post-COVID-19 Condition: A Cross-Sectional Comparative Study. Healthcare 2023, 11, 1660. [Google Scholar] [CrossRef]
- The WHOQOL Group. The World Health Organization Quality of Life assessment (WHOQOL): Position paper from the World Health Organization. Soc. Sci. Med. 1995, 41, 1403–1409.
- Rubenstein, L.V.; Calkins, D.R.; Greenfield, S.; Jette, A.M.; Meenan, R.F.; Nevins, M.A.; Rubenstein, L.Z.; Wasson, J.H.; Williams, M.E. Health status assessment for elderly patients. Report of the Society of General Internal Medicine Task Force on Health Assessment. J. Am. Geriatr. Soc. 1989, 37, 562–569. [Google Scholar] [CrossRef] [PubMed]
- Beyer, S.; Haufe, S.; Meike, D.; Scharbau, M.; Lampe, V.; Dopfer-Jablonka, A.; Tegtbur, U.; Pink, I.; Drick, N.; Kerling, A. Post-COVID-19 syndrome: Physical capacity, fatigue and quality of life. PLoS ONE 2023, 18, e0292928. [Google Scholar] [CrossRef]
- Toh, M.R.; Teo, Y.R.; Poh, L.C.R.; Tang, Y.; Soh, R.Y.; Sharma, K.; Kalyanasundaram, G.; Poh, K.C. Impact of COVID infection on lung function test and quality of life. Sci. Rep. 2023, 13, 17275. [Google Scholar] [CrossRef] [PubMed]
- Simonelli, C.; Paneroni, M.; Vitacca, M.; Ambrosino, N. Measures of physical performance in COVID-19 patients: A mapping review. Pulmonology 2021, 27, 518–528. [Google Scholar] [CrossRef] [PubMed]





| Variables | Not Hospitalized (n = 23) | Hospitalized | p | |
|---|---|---|---|---|
| Ward (n = 60) | ICU (n = 40) | |||
| Sex | ns | |||
| Male | 12 (52.17%) | 34 (56.67%) | 27 (67.5%) | |
| Feminine | 11 (47.83%) | 26 (43.33%) | 13 (32.6%) | |
| Ethnicity | ns | |||
| White | 8 (34.78%) | 23 (38.33%) | 13 (32.5%) | |
| Brown | 11 (47.83%) | 28 (46.67%) | 23 (57.5%) | |
| Black | 4 (17.39%) | 9 (15.00%) | 4 (10%) | |
| Age (years) | 45.78 ± 15.25 | 50.32 ± 12.97 | 49.48 ± 13.18 | ns |
| Weight (kg) | 85.61± 24.02 | 85.49 ± 16.7 | 87.1 ± 20.59 | ns |
| BMI | 31.42 ± 8.34 | 30.84 ± 5.9 | 31.06 ± 6.52 | ns |
| SBP (mmHg) | 125.45 ± 16.54 | 121.87 ± 12.31 | 120.5 ± 13.39 | ns |
| DBP (mmHg) | 81.36 ± 15.21 | 81.00 ± 10.69 | 80.25 ± 12.09 | ns |
| Hospitalization time (days) | N/A | 9.48 ± 4.94 | 18.26 ± 9.42 | *** |
| ICU stay (days) | N/A | N/A | 11.97 ± 9.36 | |
| Oxygen therapy | 2 (8.70%) | 60 (100%) | 40 (100%) | ns |
| NIV | N/A | 30 (50%) | 40 (100%) | *** |
| IMV | N/A | N/A | 12 (20%) | |
| Variables | Not Hospitalized (n = 23) | Hospitalized | p | |
|---|---|---|---|---|
| Ward (n = 60) | ICU (n = 40) | |||
| Ageusia | 4 (17.39%) | 13 (21.67%) | 9 (22.5%) | ns |
| Anosmia | 5 (21.74%) | 12 (20%) | 8 (20%) | ns |
| Changes in sleep | 15 (65.22%) | 30 (50%) | 19 (47.5%) | ns |
| Visual changes | 4 (17.39%) | 10 (16.67%) | 6 (15%) | ns |
| Arthralgia | 5 (21.74%) | 15 (25%) | 12 (30%) | ns |
| Headache | 14 (60.87%) | 26 (43.33%) | 19 (47.5%) | ns |
| Concentration deficit | 4 (17.39%) | 9 (15%) | 4 (10%) | ns |
| Memory deficit | 13 (65.52%) | 25 (41.67%) | 10 (25%) | ns |
| Balance deficit | 9 (39.13%) | 23 (38.33%) | 19 (47.5%) | ns |
| Dyspnea | 17 (73.91%) | 39 (65%) | 29 (72.5%) | ns |
| Muscle weakness | 14 (60.87%) | 41 (68.33%) | 36 (90%) a,b | * |
| Myalgia | 12 (52.17%) | 25 (41.67%) | 19 (47.5%) | ns |
| Paresthesia | 10 (43.48%) | 16 (26.67%) | 13 (32.5%) | ns |
| Tachycardia | 12 (52.17%) | 29 (48.33%) | 18 (45%) | ns |
| Tremors | 9 (39.13%) | 23 (38.33%) | 14 (35%) | ns |
| Dizziness | 13 (65.52%) | 22 (36.67%) | 13 (32.5%) | ns |
| Cough | 6 (26.09%) | 30 (50%) | 23 (57.5%) | ns |
| Variables | Not Hospitalized (n = 23) | Hospitalized | p | |
|---|---|---|---|---|
| Ward (n = 60) | ICU (n = 40) | |||
| Anxiety | 7 (30.43%) | 13 (21.67%) | 14 (35%) | ns |
| Asthma | 1 (4.35%) | 3 (5%) | 0 (0%) | ns |
| Depression | 2 (8.7%) | 6 (10%) | 2 (5%) | ns |
| Dyslipidemia | 4 (17.39%) | 6 (10%) | 4 (10%) | ns |
| Diabetes Mellitus | 1 (4.35%) | 5 (8.33%) | 9 (22.5%) b | ** |
| COPD | 1 (4.35%) | 2 (3.33%) | 0 (0%) | ns |
| Hypothyroidism | 2 (8.0%) | 6 (10%) | 1 (2.5%) | *** |
| Hepatic steatosis | 2 (8.7%) | 2 (3.33%) | 3 (7.5%) | ns |
| SAH | 5 (21.74%) | 17 (28.33%) a | 18 (45%) b | ns |
| Obesity | 2 (8.7%) | 12 (20) a | 10 (25%) b | ** |
| Variables | Not Hospitalized (n = 23) | Hospitalized | p | |
|---|---|---|---|---|
| Ward (n = 60) | ICU (n = 40) | |||
| 6MWD’ (m) | 520.42 ± 93.89 | 450.03 ± 96.43 a | 420.73 ± 122.78 b | ** |
| 6MWD’ pred (%) | 87.17 ± 16.00 | 79.79 ± 13.92 a | 71.18 ± 18.74 b | ** |
| MRC dyspnea | 3.38 ± 1.56 | 3.02 ± 1.46 | 3.44 ± 1.23 | ns |
| Grade 1 | 6 (26.09%) | 11 (18.33%) | 1 (2.5%) | |
| Grade 2 | 3 (13.04%) | 15 (25%) | 10 (25%) | |
| Grade 3 | 2 (8.70%) | 9 (15%) | 10 (25%) | |
| Grade 4 | 5 (21.74%) | 12 (20%) | 8 (20%) | |
| Grade 5 | 7 (30.43%) | 13 (21.67%) | 11 (27.5%) | |
| PCFS | 2.17 ± 1.03 | 2.42 ± 0.7 a | 2.98 ± 0.7 b | *** |
| Grade 1 | 8 (34.78%) | 6 (10%) | 2 (5%) | |
| Grade 2 | 5 (21.74%) | 22 (36.67%) | 6 (15%) | |
| Grade 3 | 8 (34.78%) | 29 (48.33%) | 23 (57%) | |
| Grade 4 | 2 (8.70%) | 2 (3.33%) | 9 (22.5%) | |
| FSS | 4.77 ± 1.55 | 4.24 ± 1.78 | 4.87 ± 1.36 | ns |
| Variables | Not Hospitalized (n = 23) | Hospitalized | p | |
|---|---|---|---|---|
| Ward (n = 60) | ICU (n = 40) | |||
| SF-36 (0–100) | ||||
| Functional capacity | 50.23 ± 32.42 | 47.29 ± 31.93 | 37.63 ± 25.7 | ns |
| Limitation by physical aspects | 19.32 ± 35.3 | 27.59 ± 38.81 | 9.38 ± 26.97 b,c | * |
| Pain | 53.23 ± 27.21 | 60.98 ± 30.74 | 54.50 ± 29.11 | ns |
| General health status | 46.95 ± 20.12 | 57.53 ± 14.49 a | 56.53 ± 15.35 c | * |
| Vitality | 45.23 ± 24.08 | 56.29 ± 26.08 | 55.75 ± 20.77 | ns |
| Social aspects | 47.73 ± 32.88 | 55.17 ± 30.17 | 54.44 ± 28.43 | ns |
| Emotional aspects | 43.94 ± 41.64 | 51.72 ± 43.79 | 44.16 ± 42.96 | ns |
| Mental health | 54.36 ± 27.09 | 69.47 ± 23.31 a | 70.95 ± 19.48 c | * |
Disclaimer/Publisher’s Note: The statements, opinions and data contained in all publications are solely those of the individual author(s) and contributor(s) and not of MDPI and/or the editor(s). MDPI and/or the editor(s) disclaim responsibility for any injury to people or property resulting from any ideas, methods, instructions or products referred to in the content. |
© 2025 by the authors. Licensee MDPI, Basel, Switzerland. This article is an open access article distributed under the terms and conditions of the Creative Commons Attribution (CC BY) license (https://creativecommons.org/licenses/by/4.0/).
Share and Cite
Oliveira, M.C.; Alves, L.R.; Soares, J.M.P.; Souza, S.K.A.; Silva, B.M.R.; Fonseca, A.L.; Silva, C.H.M.; Oliveira, C.S.; Vieira, R.P.; Oliveira, D.A.A.P.; et al. Health-Related Quality of Life and Functional Status of Post-COVID-19 Patients. Int. J. Environ. Res. Public Health 2025, 22, 338. https://doi.org/10.3390/ijerph22030338
Oliveira MC, Alves LR, Soares JMP, Souza SKA, Silva BMR, Fonseca AL, Silva CHM, Oliveira CS, Vieira RP, Oliveira DAAP, et al. Health-Related Quality of Life and Functional Status of Post-COVID-19 Patients. International Journal of Environmental Research and Public Health. 2025; 22(3):338. https://doi.org/10.3390/ijerph22030338
Chicago/Turabian StyleOliveira, Miriã C., Larissa R. Alves, Juliana M. P. Soares, Shayra K. A. Souza, Bruna M. R. Silva, Adriano L. Fonseca, Carlos H. M. Silva, Claudia S. Oliveira, Rodolfo P. Vieira, Deise A. A. P. Oliveira, and et al. 2025. "Health-Related Quality of Life and Functional Status of Post-COVID-19 Patients" International Journal of Environmental Research and Public Health 22, no. 3: 338. https://doi.org/10.3390/ijerph22030338
APA StyleOliveira, M. C., Alves, L. R., Soares, J. M. P., Souza, S. K. A., Silva, B. M. R., Fonseca, A. L., Silva, C. H. M., Oliveira, C. S., Vieira, R. P., Oliveira, D. A. A. P., Oliveira-Silva, I., Oliveira, R. F., Sampaio, L. M. M., Maldaner, V., Santos, D. B., Palma, R. K., Nacif, S. R., Insalaco, G., & Oliveira, L. V. F. (2025). Health-Related Quality of Life and Functional Status of Post-COVID-19 Patients. International Journal of Environmental Research and Public Health, 22(3), 338. https://doi.org/10.3390/ijerph22030338

