Polypharmacy in Older Patients with Multimorbidity: The Agreement Between Patient and General Practitioner-Reported Drugs Observed in a Pilot cRCT
Abstract
1. Introduction
- What is the agreement about the drugs reported by patients and those reported by GPs, in relation to the drug name and strength?
- Does agreement improve after introducing a paper-based patient portfolio?
- Are there differences in drug agreement between gender subgroups?
- Are there differences in drug agreement between single active pharmaceutical ingredients (APIs) or anatomical therapeutic chemical (ATC) groups?
2. Materials and Methods
2.1. Data Collection
2.2. Data Analysis
3. Results
3.1. Baseline Characteristics
3.2. Cross-Sectional Analysis at t0
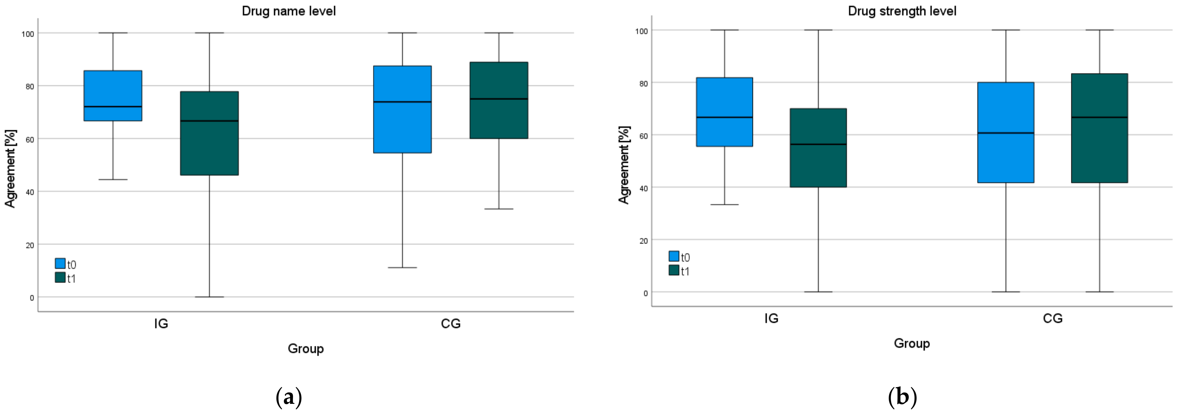
3.3. Longitudinal Analysis
3.4. Differences in ATC Groups
4. Discussion
Strengths and Limitations
5. Conclusions
Author Contributions
Funding
Institutional Review Board Statement
Informed Consent Statement
Data Availability Statement
Acknowledgments
Conflicts of Interest
Abbreviation
| API | active pharmaceutical ingredient |
| ATC | anatomical therapeutic chemical |
| BMP | Federal standardized medication plan |
| CG | control group |
| GP | general practitioner |
| IG | intervention group |
| IQR | interquartile range |
| OTC | over-the-counter |
| PZN | German pharmaceutical registration number |
| Rx | prescription-only |
| SD | standard deviation |
| TB | treatment burden |
| t0 | baseline |
| t1 | follow-up after 6 months |
Appendix A
| CG [%] (Median, IQR 2) | IG [%] (Median, IQR 2) | p | |
|---|---|---|---|
| Agreement of drug name | |||
| Baseline (t0) | 73.9 (54.2–87.5) | 72.1 (65.0–85.7) | 0.667 |
| Follow-up (t1) | 75.0 (59.3–89.2) | 66.7 (44.6–78.3) | 0.079 |
| Agreement of drug name and strength | |||
| Baseline (t0) | 60.0 (41.3–80.8) | 66.7 (55.6–82.0) | 0.243 |
| Follow-up (t1) | 66.7 (41.3–83.9) | 56.3 (40.7–71.3) | 0.199 |
| Agreement of drug name (excluding OTC 1) | |||
| Baseline (t0) | 76.4 (56.3–85.7) | 80.0 (66.7–93.8) | 0.306 |
| Follow-up (t1) | 76.4 (61.2–90.2) | 69.0 (50.0–80.5) | 0.196 |
| Agreement of drug name and strength (excluding OTC 1) | |||
| Baseline (t0) | 61.3 (41.3–80.8) | 66.7 (54.2–83.9) | 0.134 |
| Follow-up (t1) | 68.3 (40.0–82.8) | 60.0 (45.2–75.7) | 0.302 |
Appendix B
| API | ATC Group | Agreement [%] |
|---|---|---|
| Bisoprolol | C | 100.00 |
| Levothyroxine | H | 100.00 |
| Metformin | A | 100.00 |
| Valsartan | C | 100.00 |
| Spironolactone | C | 100.00 |
| Rosuvastatin | C | 100.00 |
| Sacubitril | C | 100.00 |
| Rivaroxaban | C | 100.00 |
| Acetylsalicylic acid | B | 94.74 |
| Apixaban | B | 90.00 |
| Atorvastatin | C | 89.47 |
| Ramipril | C | 89.47 |
| Torasemide | C | 89.29 |
| Metoprolol | C | 82.35 |
| Candesartan | C | 81.82 |
| Hydrochlorothiazide | C | 81.82 |
| Amlodipine | C | 80.95 |
| Simvastatin | C | 78.57 |
| Tamsulosin | G | 75.00 |
| Edoxaban | B | 71.43 |
| Allopurinol | M | 66.67 |
| Beclometasone | R | 66.67 |
| Ezetimibe | C | 66.67 |
| Colecalciferol | A | 65.22 |
| Pantoprazole | A | 60.00 |
| Insulin | A | 60.00 |
| Formoterol | R | 54.55 |
| Metamizole | N | 29.41 |
References
- Neumann-Podczaska, A.; Tobis, S.; Antimisiaris, D.; Mossakowska, M.; Puzianowska-Kuznicka, M.; Chudek, J.; Wierucki, L.; Merks, P.; Wizner, B.; Sobieszczanska, M.; et al. Polypharmacy in Polish Older Adult Population—A Cross-Sectional Study: Results of the PolSenior Project. Int. J. Environ. Res. Public Health 2022, 19, 1030. [Google Scholar] [CrossRef] [PubMed]
- Viktil, K.K.; Blix, H.S.; Moger, T.A.; Reikvam, A. Polypharmacy as Commonly Defined Is an Indicator of Limited Value in the Assessment of Drug-Related Problems. Br. J. Clin. Pharmacol. 2007, 63, 187–195. [Google Scholar] [CrossRef] [PubMed]
- Bregnhøj, L.; Thirstrup, S.; Kristensen, M.B.; Bjerrum, L.; Sonne, J. Prevalence of Inappropriate Prescribing in Primary Care. Pharm. World Sci. 2007, 29, 109–115. [Google Scholar] [CrossRef] [PubMed]
- Maher, R.L.; Hanlon, J.; Hajjar, E.R. Clinical Consequences of Polypharmacy in Elderly. Expert Opin. Drug Saf. 2014, 13, 57–65. [Google Scholar] [CrossRef] [PubMed]
- Osanlou, R.; Walker, L.; Hughes, D.A.; Burnside, G.; Pirmohamed, M. Adverse Drug Reactions, Multimorbidity and Polypharmacy: A Prospective Analysis of 1 Month of Medical Admissions. BMJ Open 2022, 12, e055551. [Google Scholar] [CrossRef] [PubMed]
- Green, J.L.; Hawley, J.N.; Rask, K.J. Is the Number of Prescribing Physicians an Independent Risk Factor for Adverse Drug Events in an Elderly Outpatient Population? Am. J. Geriatr. Pharmacother. 2007, 5, 31–39. [Google Scholar] [CrossRef]
- Bosold, A.L.; Lin, S.-Y.; Taylor, J.O.; Demiris, G.; Turner, A.M. Older Adults’ Personal Health Information Management: The Role and Perspective of Various Healthcare Providers. AMIA. Annu. Symp. Proc. 2021, 2021, 255–264. [Google Scholar]
- Elliott, J.; Stolee, P.; Boscart, V.; Giangregorio, L.; Heckman, G. Coordinating Care for Older Adults in Primary Care Settings: Understanding the Current Context. BMC Fam. Pract. 2018, 19, 137. [Google Scholar] [CrossRef]
- Frank, C.; Godwin, M.; Verma, S.; Kelly, A.; Birenbaum, A.; Seguin, R.; Anderson, M.J. What Drugs Are Our Frail Elderly Patients Taking? Can. Fam. Physician 2001, 47, 1198–1204. [Google Scholar]
- U.S. Department of Health & Human Services. Multiple Chronic Conditions: A Strategic Framework Optimum Health and Quality of Life for Individuals with Multiple Chronic Conditions 2010; U.S. Department of Health & Human Services: Atlanta, GA, USA, 2010.
- Syyrilä, T.; Vehviläinen-Julkunen, K.; Härkänen, M. Healthcare Professionals’ Perceptions on Medication Communication Challenges and Solutions—Text Mining and Manual Content Analysis—Cross-Sectional Study. BMC Health Serv. Res. 2021, 21, 1226. [Google Scholar] [CrossRef]
- Foss, S.; Schmidt, J.R.; Andersen, T.; Rasmussen, J.J.; Damsgaard, J.; Schaefer, K.; Munck, L.K. Congruence on Medication between Patients and Physicians Involved in Patient Course. Eur. J. Clin. Pharmacol. 2004, 59, 841–847. [Google Scholar] [CrossRef] [PubMed]
- Wilson, I.B.; Schoen, C.; Neuman, P.; Strollo, M.K.; Rogers, W.H.; Chang, H.; Safran, D.G. Physician–Patient Communication About Prescription Medication Nonadherence: A 50-State Study of America’s Seniors. J. Gen. Intern. Med. 2007, 22, 6–12. [Google Scholar] [CrossRef] [PubMed]
- Junius-Walker, U.; Theile, G.; Hummers-Pradier, E. Prevalence and Predictors of Polypharmacy among Older Primary Care Patients in Germany. Fam. Pract. 2006, 24, 14–19. [Google Scholar] [CrossRef] [PubMed]
- Bosch-Lenders, D.; Maessen, D.W.H.A.; Stoffers, H.E.J.H.J.; Knottnerus, J.A.; Winkens, B.; van den Akker, M. Factors Associated with Appropriate Knowledge of the Indications for Prescribed Drugs among Community-Dwelling Older Patients with Polypharmacy. Age Ageing 2016, 45, 402–408. [Google Scholar] [CrossRef]
- Klein, A.-A.; Petermann, J.; Brosse, F.; Piller, S.; Kramer, M.; Hanf, M.; Dinh, T.S.; Schulz-Rothe, S.; Engler, J.; Mergenthal, K.; et al. Implementation and Evaluation of a Complex Intervention to Improve Information Availability at the Interface between Inpatient and Outpatient Care in Older Patients with Multimorbidity and Polypharmacy (HYPERION-TransCare)—Study Protocol for a Pilot and Feasibility Cluster-Randomized Controlled Trial in General Practice in Germany. Pilot Feasibility Stud. 2023, 9, 146. [Google Scholar] [CrossRef]
- Zufällige Zuteilung von Versuchspersonen (Vpn) Zu Den Experimentellen Gruppen. Available online: http://bildungswissenschaften.uni-saarland.de/personal/jacobs/seminar/vpl_1/prinzipien/myrandomizer.htm (accessed on 6 August 2024).
- Leitliniengruppe Hessen, D. S3-Leitlinie Multimedikation, Langfassung. In AWMF-Regist. 053-043; AWMF: Berlin, Germany, 2021. [Google Scholar]
- Hagelstein, V.; Ortland, I.; Wilmer, A.; Mitchell, S.A.; Jaehde, U. Validation of the German Patient-Reported Outcomes Version of the Common Terminology Criteria for Adverse Events (PRO-CTCAETM). Ann. Oncol. 2016, 27, 2294–2299. [Google Scholar] [CrossRef]
- Seidl, H.; Bowles, D.; Bock, J.-O.; Brettschneider, C.; Greiner, W.; König, H.-H.; Holle, R. FIMA—Fragebogen zur Erhebung von Gesundheitsleistungen im Alter: Entwicklung und Pilotstudie. Gesundheitswesen 2014, 77, 46–52. [Google Scholar] [CrossRef]
- Seidl, H.; Hein, L.; Scholz, S.; Bowles, D.; Greiner, W.; Brettschneider, C.; König, H.-H.; Holle, R. Validierung des FIMA-Fragebogens zur Inanspruchnahme von Versorgungsleistungen anhand von Routinedaten der Krankenversicherung: Welchen Einfluss hat der Erinnerungszeitraum? Gesundheitswesen 2021, 83, 66–74. [Google Scholar] [CrossRef]
- Harris, P.A.; Taylor, R.; Thielke, R.; Payne, J.; Gonzalez, N.; Conde, J.G. Research Electronic Data Capture (REDCap)—A Metadata-Driven Methodology and Workflow Process for Providing Translational Research Informatics Support. J. Biomed. Inform. 2009, 42, 377–381. [Google Scholar] [CrossRef]
- Harris, P.A.; Taylor, R.; Minor, B.L.; Elliott, V.; Fernandez, M.; O’Neal, L.; McLeod, L.; Delacqua, G.; Delacqua, F.; Kirby, J.; et al. The REDCap Consortium: Building an International Community of Software Platform Partners. J. Biomed. Inform. 2019, 95, 103208. [Google Scholar] [CrossRef]
- Nationaler Messplan Rehabilitation. CIRS—Cumulative Illness Rating Scale: Skala Zur Kumulierten Bewertung von Erkrankungen. Available online: https://www.anq.ch/fileadmin/redaktion/deutsch/CIRS_V_201303_D.pdf (accessed on 6 May 2024).
- Wickham, H.; Averick, M.; Bryan, J.; Chang, W.; McGowan, L.; François, R.; Grolemund, G.; Hayes, A.; Henry, L.; Hester, J.; et al. Welcome to the Tidyverse. J. Open Source Softw. 2019, 4, 1686. [Google Scholar] [CrossRef]
- GKV-Arzneimittelindex im Wissenschaftlichen Institut der AOK (WIdO) des AOK-Bundesverbandes GbR Anatomisch-Therapeutischchemische Klassifikation Mit Tagesdosen Amtliche Fassung Des ATC-Index Mit DDD-Angaben Für Deutschland Im Jahre 2023. 2023. Available online: https://www.wido.de/publikationen-produkte/analytik/arzneimittel-klassifikation/amtliche-atc-klassifikation/ (accessed on 27 May 2024).
- Karkov, L.L.; Schytte-Hansen, S.; Haugbølle, L.S. Discrepancies between Sources Providing the Medication Histories of Acutely Hospitalised Patients. Pharm. World Sci. 2010, 32, 449–454. [Google Scholar] [CrossRef]
- Shitu, Z.; Hassan, I.; Thwe Aung, M.; Tuan Kamaruzaman, T.; Musa, R. Avoiding Medication Errors Through Effective Communication in A Healthcare Environment. Malays. J. Mov. Health Exerc. 2018, 7, 115. [Google Scholar] [CrossRef]
- Mihajlovic, M.; Simic, J.; Marinkovic, M.; Kovacevic, V.; Kocijancic, A.; Mujovic, N.; Potpara, T.S. Sex-Related Differences in Self-Reported Treatment Burden in Patients with Atrial Fibrillation. Front. Cardiovasc. Med. 2022, 9, 1029730. [Google Scholar] [CrossRef]
- Eton, D.; Ramalho de Oliveira, D.; Egginton, J.; Ridgeway, J.; Odell, L.; May, C.; Montori, V. Building a Measurement Framework of Burden of Treatment in Complex Patients with Chronic Conditions: A Qualitative Study. Patient Relat. Outcome Meas. 2012, 2012, 39–49. [Google Scholar] [CrossRef]
- Sawicki, G.S.; Sellers, D.E.; Robinson, W.M. High Treatment Burden in Adults with Cystic Fibrosis: Challenges to Disease Self-Management. J. Cyst. Fibros. 2009, 8, 91–96. [Google Scholar] [CrossRef]
- Henry, D.H.; Viswanathan, H.N.; Elkin, E.P.; Traina, S.; Wade, S.; Cella, D. Symptoms and Treatment Burden Associated with Cancer Treatment: Results from a Cross-Sectional National Survey in the U.S. Support. Care Cancer 2008, 16, 791–801. [Google Scholar] [CrossRef]
- Deeks, A.; Lombard, C.; Michelmore, J.; Teede, H. The Effects of Gender and Age on Health Related Behaviors. BMC Public Health 2009, 9, 213. [Google Scholar] [CrossRef]
- Klungel, O.H.; de Boer, A.; Paes, A.H.P.; Herings, R.M.C.; Seidell, J.C.; Bakker, A. Agreement between Self-Reported Antihypertensive Drug Use and Pharmacy Records in a Population-Based Study in The Netherlands. Pharm. World Sci. 1999, 21, 217–220. [Google Scholar] [CrossRef]
- Woroń, J.; Chrobak, A.A.; Ślęzak, D.; Siwek, M. Unprescribed and Unnoticed: Retrospective Chart Review of Adverse Events of Interactions between Antidepressants and over-the-Counter Drugs. Front. Pharmacol. 2022, 13, 965432. [Google Scholar] [CrossRef]
- Mutebi, A.; Warholak, T.L.; Hines, L.E.; Plummer, R.; Malone, D.C. Assessing Patients’ Information Needs Regarding Drug–Drug Interactions. J. Am. Pharm. Assoc. 2013, 53, 39–45. [Google Scholar] [CrossRef] [PubMed]
- Kokaly, A.N.; Kurlander, J.E.; Pais, K.; Lee, C.; Schaefer, J.K.; Heung, M.; Vordenberg, S.E. Identification of Undocumented Over-the-Counter Medications in an Academic Nephrology Clinic. J. Am. Pharm. Assoc. 2020, 60, e236–e245. [Google Scholar] [CrossRef]
- Scherf-Clavel, O. Drug-Drug Interactions with OTC Medicines: Mind the Unprescribed. Ther. Drug Monit. 2021; ahead of print. [Google Scholar] [CrossRef]


| CG | IG | p | |
|---|---|---|---|
| GP practice (n 3) | 6 | 5 | |
| Age of GPs (median, IQR 2) | 55.5 (45.0–60.5) | 48.0 (42.5–59.0) | * |
| Female GP (n 3,%) | 0 (0) | 4 (80) | * |
| Proportion of group practice (n 3,%) | 2 (33) | 4 (80) | * |
| Region of Hesse (n 3,%) | 4 (67) | 3 (60) | * |
| Region of Saxony (n 3,%) | 2 (33) | 2 (40) | * |
| Patients (n 3) | 34 | 34 | |
| Age of patients (mean, SD 1) | 77.4 ± 6.4 | 78.8 ± 7.3 | 0.484 |
| Female patients (n 3, %) | 10 (29) | 16 (47) | 0.134 |
| Education level | |||
| Low (n 3, %) | 13 (38) | 7 (21) | 0.110 |
| Medium (n 3, %) | 11 (32) | 15 (44) | 0.318 |
| High (n 3, %) | 10 (29) | 12 (35) | 0.604 |
| Morbidity | |||
| 2–4 disease categories (n 3, %) | 11 (32) | 5 (15) | 0.086 |
| 5–7 disease categories (n 3, %) | 17 (50) | 13 (38) | 0.329 |
| 8–10 disease categories (n 3, %) | 4 (12) | 15 (44) | 0.003 |
| 11–13 disease categories (n 3, %) | 2 (6) | 1 (3) | 0.555 |
| Living arrangement | |||
| Living alone (n 3, %) | 5 (15) | 8 (24) | 0.355 |
| Living with other persons (partner/family) (n 3, %) | 28 (82) | 18 (53) | 0.010 |
| Assisted living/nursing home (n 3, %) | 0 (0) | 5 (15) | 0.020 |
| Unknown (n 3, %) | 1 (3) | 3 (9) | 0.303 |
| Number of drugs reported by GP at t0 (median, IQR 2) | 8.00 (5.75–10.00) | 7.00 (5.00–9.25) | 0.753 |
| Number of drugs reported by GP at t1 (median, IQR 2) | 7.00 (6.00–10.00) | 7.00 (3.75–9.00) | 0.176 |
| Number of drugs reported by patient at t0 (median, IQR 2) | 7.50 (5.75–10.00) | 7.00 (5.00–9.00) | 0.574 |
| Number of drugs reported by patient at t1 (median, IQR 2) | 7.50 (6.00–10.25) | 7.50 (5.00–8.25) | 0.177 |
| t0 [%] | t1 [%] | p | |
|---|---|---|---|
| Agreement of drug name | |||
| CG (median, IQR 2) | 73.9 (54.2–87.5) | 75.0 (59.3–89.2) | 0.554 |
| IG (median, IQR 2) | 72.1 (65.0–85.7) | 66.7 (44.6–78.3) | 0.017 |
| Agreement of drug name and strength | |||
| CG (median, IQR 2) | 60.0 (41.3–80.8) | 66.7 (41.3–83.9) | 0.178 |
| IG (median, IQR 2) | 66.7 (55.6–82.0) | 56.3 (40.7–71.3) | 0.005 |
| Agreement of drug name (excluding OTC 1) | |||
| CG (median, IQR 2) | 76.4 (56.3–85.7) | 76.4 (61.2–90.2) | 0.207 |
| IG (median, IQR 2) | 80.0 (66.7–93.8) | 69.0 (50.0–80.5) | 0.023 |
| Agreement of drug name and strength (excluding OTC 1) | |||
| CG (median, IQR 2) | 61.3 (41.3–80.8) | 68.3 (40.0–82.8) | 0.094 |
| IG (median, IQR 2) | 66.7 (54.2–83.9) | 60.0 (45.2–75.7) | 0.010 |
| Agreement of drug name in subgroups | |||
| CG women (median, IQR 2) | 63.1 (41.7–73.3) | 74.2 (60.0–83.9) | 0.139 |
| CG men (median, IQR 2) | 81.8 (60.4–88.5) | 78.9 (51.8–92.4) | 0.781 |
| IG women (median, IQR 2) | 68.3 (60.0–81.9) | 66.7 (42.5–85.6) | 0.328 |
| IG men (median, IQR 2) | 78.4 (66.7–89.3) | 66.4 (44.6–75.7) | 0.014 |
| ATC Group | Additions * t0 | Deletions ** t0 | Agreement *** t0 | Additions * t1 | Deletions ** t1 | Agreement *** t1 |
|---|---|---|---|---|---|---|
| A: alimentary tract and metabolism | 13 (16.5%) | 16 (20.2%) | 50 (63.3%) | 15 (18.1%) | 17 (20.5%) | 51 (61.4%) |
| B: blood and blood-forming organs | 0 (0%) | 4 (9.5%) | 38 (90.5%) | 3 (8.6%) | 1 (2.9%) | 31 (88.5%) |
| C: cardiovascular system | 12 (5.0%) | 19 (7.9%) | 208 (87.1%) | 24 (10.2%) | 20 (8.5%) | 192 (81.3%) |
| D: dermatologicals | 1 (100%) | 0 (0%) | 0 (0%) | 0 (0%) | 0 (0%) | 0 (0%) |
| G: genitourinary system and sex hormones | 2 (10.0%) | 2 (10.0%) | 16 (80.0%) | 5 (25.0%) | 3 (15.0%) | 12 (60.0%) |
| H: systemic hormonal preparations | 1 (4.2%) | 1 (4.2%) | 22 (91.6%) | 3 (12.0%) | 4 (16.0%) | 18 (72.0%) |
| J: systemic anti-infectives | 0 (0%) | 0 (0%) | 1 (100%) | 0 (0%) | 1 (50.0%) | 1 (50.0%) |
| L: antineoplastic and immunomodulating agents | 0 (0%) | 0 (0%) | 2 (100%) | 0 (0%) | 1 (33.3%) | 2 (66.7%) |
| M: musculoskeletal system | 1 (6.3%) | 3 (18.7%) | 12 (75.0%) | 0 (0%) | 2 (11.8%) | 15 (88.2%) |
| N: nervous system | 19 (27.1%) | 21 (30.0%) | 30 (42.9%) | 16 (28.6%) | 13 (23.2%) | 28 (48.2%) |
| P: antiparasitic products | 1 (100%) | 0 (0%) | 0 (0%) | 1 (100%) | 0 (0%) | 0 (0%) |
| R: respiratory system | 6 (20.0%) | 9 (30%) | 15 (50.0%) | 4 (15.4%) | 9 (34.6%) | 13 (50.0%) |
| S: sensory organs | 1 (14.2%) | 3 (42.9%) | 3 (42.9%) | 2 (25.0%) | 1 (12.5%) | 5 (62.5%) |
| V: variable | 0 (0%) | 0 (0%) | 0 (0%) | 0 (0%) | 0 (0%) | 0 (0%) |
| Z: over-the-counter drugs | 28 (38.4%) | 8 (11.0%) | 37 (50.6%) | 26 (33.3%) | 13 (16.7%) | 39 (50.0%) |
Disclaimer/Publisher’s Note: The statements, opinions and data contained in all publications are solely those of the individual author(s) and contributor(s) and not of MDPI and/or the editor(s). MDPI and/or the editor(s) disclaim responsibility for any injury to people or property resulting from any ideas, methods, instructions or products referred to in the content. |
© 2024 by the authors. Licensee MDPI, Basel, Switzerland. This article is an open access article distributed under the terms and conditions of the Creative Commons Attribution (CC BY) license (https://creativecommons.org/licenses/by/4.0/).
Share and Cite
Schäfer, L.; Paulitsch, M.; Hanf, M.; Dinh, T.S.; Klein, A.-A.; Klasing, S.; Seidling, H.; Voigt, K.; van den Akker, M. Polypharmacy in Older Patients with Multimorbidity: The Agreement Between Patient and General Practitioner-Reported Drugs Observed in a Pilot cRCT. Int. J. Environ. Res. Public Health 2024, 21, 1389. https://doi.org/10.3390/ijerph21101389
Schäfer L, Paulitsch M, Hanf M, Dinh TS, Klein A-A, Klasing S, Seidling H, Voigt K, van den Akker M. Polypharmacy in Older Patients with Multimorbidity: The Agreement Between Patient and General Practitioner-Reported Drugs Observed in a Pilot cRCT. International Journal of Environmental Research and Public Health. 2024; 21(10):1389. https://doi.org/10.3390/ijerph21101389
Chicago/Turabian StyleSchäfer, Lena, Michael Paulitsch, Maria Hanf, Truc Sophia Dinh, Astrid-Alexandra Klein, Sophia Klasing, Hanna Seidling, Karen Voigt, and Marjan van den Akker. 2024. "Polypharmacy in Older Patients with Multimorbidity: The Agreement Between Patient and General Practitioner-Reported Drugs Observed in a Pilot cRCT" International Journal of Environmental Research and Public Health 21, no. 10: 1389. https://doi.org/10.3390/ijerph21101389
APA StyleSchäfer, L., Paulitsch, M., Hanf, M., Dinh, T. S., Klein, A.-A., Klasing, S., Seidling, H., Voigt, K., & van den Akker, M. (2024). Polypharmacy in Older Patients with Multimorbidity: The Agreement Between Patient and General Practitioner-Reported Drugs Observed in a Pilot cRCT. International Journal of Environmental Research and Public Health, 21(10), 1389. https://doi.org/10.3390/ijerph21101389

