Binaural Listening with Head Rotation Helps Persons with Blindness Perceive Narrow Obstacles
Abstract
1. Introduction
2. Methods
2.1. Participants
2.2. Experimental Setup
2.3. Procedure
2.4. Analysis
3. Results and Discussion
3.1. Discrimination Power and Detection Bias in Identifying the Obstacle
3.2. Localization Certainty
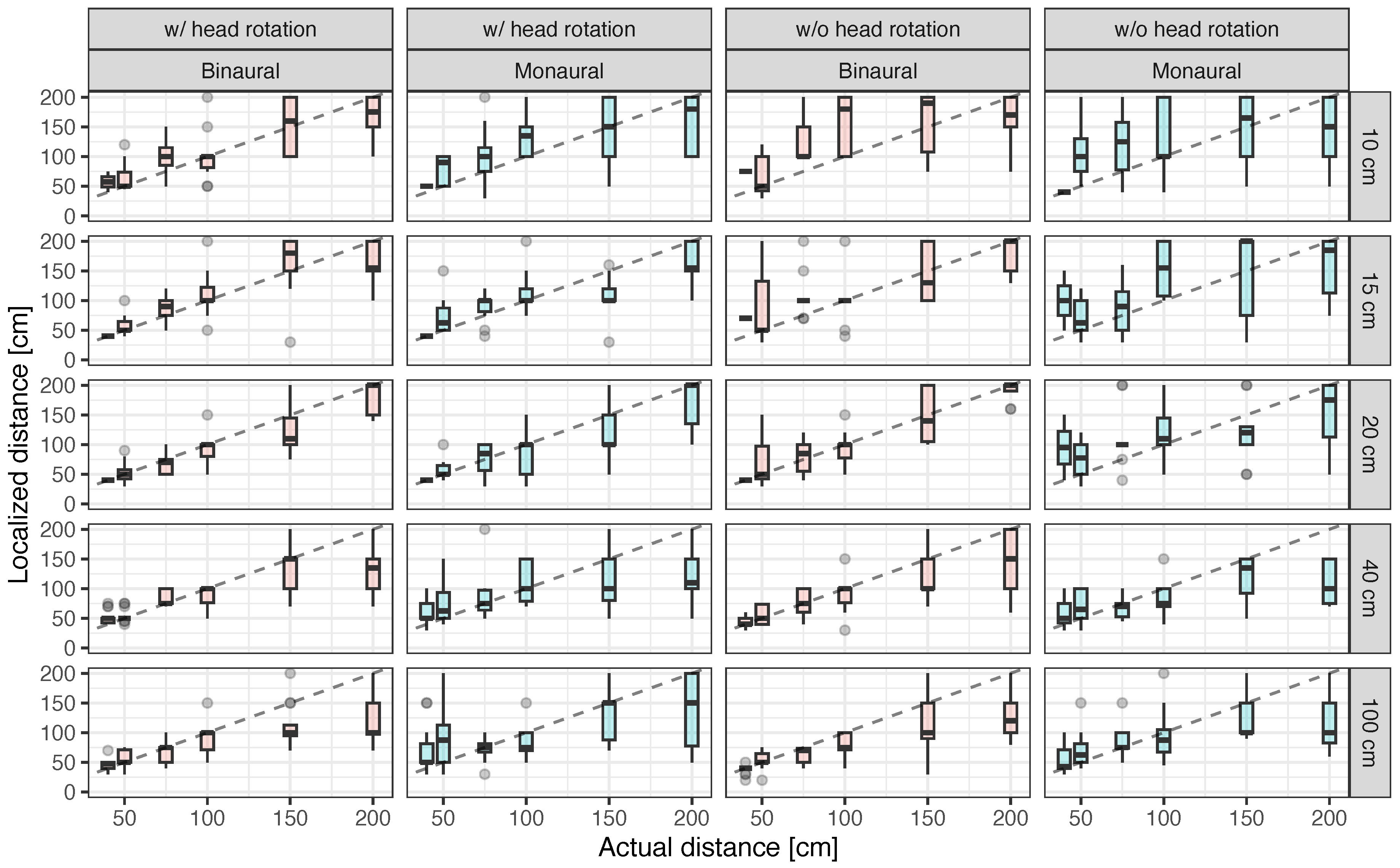
3.2.1. Localized Distance
3.2.2. Ratio of Localized to Actual Distances
4. Limitations
5. Conclusions
Author Contributions
Funding
Institutional Review Board Statement
Informed Consent Statement
Data Availability Statement
Conflicts of Interest
References
- Ponchillia, P.E.; Ponchillia, S.K.V. Foundations of Rehabilitation Teaching with Persons Who Are Blind or Visually Impaired; American Foundation for the Blind: Arlington, VA, USA, 1996. [Google Scholar]
- Ifukube, T. Sound-Based Assistive Technology; Springer: Berlin, Germany, 2017. [Google Scholar]
- Hakobyan, L.; Lumsden, J.; O’Sullivan, D.; Bartlett, H. Mobile assistive technologies for the visually impaired. Surv. Ophthalmol. 2013, 58, 513–528. [Google Scholar] [CrossRef]
- Hersh, M.A.; Johnson, M.A. Assistive Technology for Visually Impaired and Blind People; Springer: Berlin, Germany, 2008. [Google Scholar]
- Bhagotra, S.; Sharma, A.K.; Raina, B. Psycho-social adjustments and rehabilitation of the blind. Soc. Med. 2008, 10, 48–52. [Google Scholar]
- Tuttle, D.W.; Tuttle, N.R. Self-Esteem and Adjusting with Blindness: The Process of Responding to Life’s Demands; Charles C Thomas Publisher: Springfield, IL, USA, 2004. [Google Scholar]
- LaGrow, S.; Wiener, W.; LaDuke, R. Independent travel for developmentally disabled persons: A comprehensive model of instruction. Res. Dev. Disabil. 1990, 11, 289–301. [Google Scholar] [CrossRef] [PubMed]
- LaGrow, S.J.; Weessies, M.J. Orientation and Mobility: Techniques for Independence; Dunmore Press: Palmerston North, New Zealand, 1994. [Google Scholar]
- Hill, E.W.; Ponder, P. Orientation and Mobility Techniques: A Guide for the Practitioner; American Foundation for the Blind: Arlington, VA, USA, 1976. [Google Scholar]
- Long, R.G.; Hill, E. Establishing and maintaining orientation for mobility. Found. Orientat. Mobil. 1997, 1, 45–62. [Google Scholar]
- Wiener, W.R.; Welsh, R.L.; Blasch, B.B. Foundations of Orientation and Mobility; American Foundation for the Blind: Arlington, VA, USA, 2010; Volume 1. [Google Scholar]
- Thinus-Blanc, C.; Gaunet, F. Representation of space in blind persons: Vision as a spatial sense? Psychol. Bull. 1997, 121, 20. [Google Scholar] [CrossRef] [PubMed]
- Ambrose, G.V. Sighted children’s knowledge of environmental concepts and ability to orient in an unfamiliar residential environment. J. Vis. Impair. Blind. 2000, 94, 509–521. [Google Scholar] [CrossRef]
- Huebner, K.; Merk-Adam, B.; Stryker, D.; Wolffe, K. The National Agenda for the Education of Children and Youths with Visual Impairments, Including Those with Multiple Disabilities; revised; American Foundation for the Blind: New York, NY, USA, 2004. [Google Scholar]
- Leong, S. Preschool orientation and mobility: A review of the literature. J. Vis. Impair. Blind. 1996, 90, 145–153. [Google Scholar] [CrossRef]
- Pogrund, R.; Rosen, S. The preschool blind child can be a cane user. J. Vis. Impair. Blind. 1989, 83, 431–439. [Google Scholar] [CrossRef]
- Silberman, R.K. Children and Youths with Visual Impairments and Other Exceptionalities. Found. Educ. Hist. Theory Teach. Child. Youths Vis. Impair. 2000, 1, 173–196. [Google Scholar]
- Koenig, A.J.; Holbrook, M.C. Foundations of Education, Volume II: Instructional Strategies for Teaching Children and Youths with Visual Impairments; American Printing House for the Blind: Louisville, KY, USA, 2000. [Google Scholar]
- Engel, R.J.; Welsh, R.L.; Lewis, L.J. Improving the well-being of vision-impaired older adults through orientation and mobility training and rehabilitation: An evaluation. RE View 2000, 32, 67. [Google Scholar]
- Long, R.; Boyette, L.; Griffin-Shirley, N. Older persons and community travel: The effect of visual impairment. J. Vis. Impair. Blind. 1996, 90, 302–313. [Google Scholar] [CrossRef]
- Hensley, M. Rehabilitation in daily living skills: Effects on anxiety and self-worth in elderly blind persons. J. Vis. Impair. Blind. 1987, 81, 330. [Google Scholar] [CrossRef]
- Kuyk, T.; Elliott, J.L.; Wesley, J.; Scilley, K.; McIntosh, E.; Mitchell, S.; Owsley, C. Mobility function in older veterans improves after blind rehabilitation. J. Rehabil. Res. Dev. 2004, 41, 337–345. [Google Scholar] [CrossRef] [PubMed]
- McKenzie, A.R.; Lewis, S. The role and training of paraprofessionals who work with students who are visually impaired. J. Vis. Impair. Blind. 2008, 102, 459–471. [Google Scholar] [CrossRef]
- Dodds, A.G.; Bailey, P.; Pearson, A.; Yates, L. Psychological factors in acquired visual impairment: The development of a scale of adjustment. J. Vis. Impair. Blind. 1991, 85, 306–310. [Google Scholar] [CrossRef]
- De l’Aune, W.R.; Welsh, R.L.; Williams, M.D. A national outcomes assessment of the rehabilitation of adults with visual impairments. J. Vis. Impair. Blind. 2000, 94, 281–291. [Google Scholar] [CrossRef]
- Muchnik, C.; Efrati, M.; Nemeth, E.; Malin, M.; Hildesheimer, M. Central auditory skills in blind and sighted subjects. Scand. Audiol. 1991, 20, 19–23. [Google Scholar] [CrossRef]
- Lessard, N.; Pare, M.; Lepore, F.; Lassonde, M. Early-blind human subjects localize sound sources better than sighted subjects. Nature 1998, 395, 278–280. [Google Scholar] [CrossRef]
- Zwiers, M.; Van Opstal, A.; Cruysberg, J. A spatial hearing deficit in early-blind humans. J. Neurosci. 2001, 21, RC142. [Google Scholar] [CrossRef]
- Ammons, C.H.; Worchel, P.; Dallenbach, K.M. “Facial vision”: The perception of obstacles out of doors by blindfolded and blindfolded-deafened subjects. Am. J. Psychol. 1953, 66, 519–553. [Google Scholar] [CrossRef]
- Cotzin, M.; Dallenbach, K.M. “Facial vision:” The role of pitch and loudness in the perception of obstacles by the blind. Am. J. Psychol. 1950, 485–515. [Google Scholar] [CrossRef]
- Worchel, P.; Dallenbach, K.M. “Facial Vision”: Perception of Obstacles by the Deaf-Blind. Am. J. Psychol. 1947, 60, 502–553. [Google Scholar] [CrossRef] [PubMed]
- Supa, M.; Cotzin, M.; Dallenbach, K.M. “Facial vision”: The perception of obstacles by the blind. Am. J. Psychol. 1944, 57, 133–183. [Google Scholar] [CrossRef]
- Kohler, I. Orientation by aural clues. Res. Bull. Am. Found. Blind 1964, 14–53. [Google Scholar]
- Miura, T.; Muraoka, T.; Ifukube, T. Comparison of obstacle sense ability between the blind and the sighted: A basic psychophysical study for designs of acoustic assistive devices. Acoust. Sci. Technol. 2010, 31, 137–147. [Google Scholar] [CrossRef]
- Miura, T.; Ifukube, T.; Furukawa, S. Contribution of acoustical characteristics to auditory perception of silent object. In Proceedings of the Systems, Man, and Cybernetics (SMC), 2011 IEEE International Conference, Anchorage, AK, USA, 9–12 October 2011; pp. 1074–1079. [Google Scholar]
- Seki, Y.; Ito, K. Coloration perception depending on sound direction. IEEE Trans. Speech Audio Process. 2003, 11, 817–825. [Google Scholar] [CrossRef]
- Seki, Y.; Nakamura, N. Obstacle Sense in Sound Field with Plural Circumstance Noise. Trans. Virtual Real. Soc. Jpn. 2000, 5, 989–995. [Google Scholar]
- Welch, J. A psychoacoustic study of factors affecting human echolocation. Res. Bull. Am. Found. Blind 1964, 4, 1–13. [Google Scholar]
- Welch, J.R. Psychoacoustical Study of Some Factors Affecting Human Echolocation. J. Acoust. Soc. Am. 1963, 35, 803. [Google Scholar] [CrossRef]
- Wright, H. Principles of auditory training for travel. Proc. Int. Congr. Technol. Blind. 1963, 149–157. [Google Scholar]
- Seki, Y.; Ito, K. Objective Evaluation of Obstacle Perception Using Spontaneous Body Movements of Blind People Evoked by Movements of Acoustic Virtual Wall. Hum. Behav. Emerg. Technol. 2022, 2022, 9475983. [Google Scholar] [CrossRef]
- Kellogg, W.N. Sonar System of the Blind: New research measures their accuracy in detecting the texture, size, and distance of objects “by ear”. Science 1962, 137, 399–404. [Google Scholar] [CrossRef] [PubMed]
- Rice, C.E.; Feinstein, S.H. Sonar system of the blind: Size discrimination. Science 1965, 148, 1107–1108. [Google Scholar] [CrossRef] [PubMed]
- Rice, C.E. Human Echo Perception: Behavioral measurements are being made of human ability to detect objects by use of echoes. Science 1967, 155, 656–664. [Google Scholar] [CrossRef]
- Strelow, E.R.; Brabyn, J.A. Locomotion of the blind controlled by natural sound cues. Perception 1982, 11, 635–640. [Google Scholar] [CrossRef] [PubMed]
- Schenkman, B.N.; Jansson, G. The detection and localization of objects by the blind with the aid of long-cane tapping sounds. Hum. Factors 1986, 28, 607–618. [Google Scholar] [CrossRef]
- Rojas, J.A.M.; Hermosilla, J.A.; Montero, R.S.; Espí, P.L.L. Physical analysis of several organic signals for human echolocation: Oral vacuum pulses. Acta Acust. United Acust. 2009, 95, 325–330. [Google Scholar] [CrossRef]
- Rojas, J.A.M.; Hermosilla, J.A.; Montero, R.S.; Espí, P.L.L. Physical analysis of several organic signals for human echolocation: Hand and finger produced pulses. Acta Acust. United Acust. 2010, 96, 1069–1077. [Google Scholar] [CrossRef]
- Thaler, L.; Arnott, S.R.; Goodale, M.A. Neural correlates of natural human echolocation in early and late blind echolocation experts. PLoS ONE 2011, 6, e20162. [Google Scholar] [CrossRef]
- Rosenblum, L.D.; Gordon, M.S.; Jarquin, L. Echolocating distance by moving and stationary listeners. Ecol. Psychol. 2000, 12, 181–206. [Google Scholar] [CrossRef]
- Seki, Y. Acoustical design of city for the visually handicapped. J. Acoust. Soc. JPN 1998, 54, 387–392. [Google Scholar]
- Thurlow, W.R.; Runge, P.S. Effect of induced head movements on localization of direction of sounds. J. Acoust. Soc. Am. 1967, 42, 480–488. [Google Scholar] [CrossRef]
- Perrett, S.; Noble, W. The contribution of head motion cues to localization of low-pass noise. Percept. Psychophys. 1997, 59, 1018–1026. [Google Scholar] [CrossRef] [PubMed]
- Iwaya, Y.; Suzuki, Y.; Kimura, D. Effects of head movement on front-back error in sound localization. Acoust. Sci. Technol. 2003, 24, 322–324. [Google Scholar] [CrossRef]
- Thurlow, W.R.; Mangels, J.W.; Runge, P.S. Head movements during sound localization. J. Acoust. Soc. Am. 1967, 42, 489–493. [Google Scholar] [CrossRef]
- Loetscher, T.; Schwarz, U.; Schubiger, M.; Brugger, P. Head turns bias the brain’s internal random generator. Curr. Biol. 2008, 18, R60–R62. [Google Scholar] [CrossRef]
- Miura, T.; Ebihara, Y.; Sakajiri, M.; Ifukube, T. Utilization of auditory perceptions of sounds and silent objects for orientation and mobility by visually-impaired people. In Proceedings of the 2011 IEEE International Conference on Systems, Man, and Cybernetics, Anchorage, AK, USA, 9–12 October 2011; pp. 1080–1087. [Google Scholar]
- Blauert, J. Sound localization in the median plane. Acta Acust. United Acust. 1969, 22, 205–213. [Google Scholar]
- Brungart, D.S.; Kordik, A.J.; Simpson, B.D.; McKinley, R.L. Auditory localization in the horizontal plane with single and double hearing protection. Aviat. Space Environ. Med. 2003, 74, 937–946. [Google Scholar] [CrossRef]
- Ohuchi, M.; Iwaya, Y.; Suzuki, Y.; Munekata, T. A comparative study of sound localization acuity of congenital blind and sighted people. Acoust. Sci. Technol. 2006, 27, 290–293. [Google Scholar] [CrossRef]
- Nakamura-Funaba, H.; Ueda, M.; Iwamiya, S. Questionnaire survey of the use of sound to support the mobility of the visually impaired. J. Acoust. Soc. JPN 2006, 62, 839–847. [Google Scholar]
- Green, D.M.; Swets, J.A. Signal Detection Theory and Psychophysics; Wiley: New York, NY, USA, 1966; Volume 1. [Google Scholar]
- Wobbrock, J.O.; Findlater, L.; Gergle, D.; Higgins, J.J. The aligned rank transform for nonparametric factorial analyses using only anova procedures. In Proceedings of the SIGCHI conference on human factors in computing systems, Vancouver, BC, Canada, 7–12 May 2011; pp. 143–146. [Google Scholar]
- Elkin, L.A.; Kay, M.; Higgins, J.J.; Wobbrock, J.O. An aligned rank transform procedure for multifactor contrast tests. In Proceedings of the 34th Annual ACM Symposium on User Interface Software and Technology, Virtual Event, 10–14 October 2021; pp. 754–768. [Google Scholar]
- Lenth, R.V. Least-Squares Means: The R Package lsmeans. J. Stat. Softw. 2016, 69, 1–33. [Google Scholar] [CrossRef]
- Lenth, R.; Singmann, H.; Love, J.; Buerkner, P.; Herve, M. Emmeans: Estimated marginal means, aka least-squares means. R Package Version 2018, 1, 3. [Google Scholar]
- Cohen, J. A power primer. Psychol. Bull. 1992, 112, 155. [Google Scholar] [CrossRef] [PubMed]
- Kouchi, M.; Mochimaru, M. AIST Anthropometric Database; H16PRO National Institute of Advanced Industrial Science and Technology: Tokyo, Japan, 2005; Volume 287. [Google Scholar]
- Brungart, D.S.; Rabinowitz, W.M. Auditory localization of nearby sources. Head-related transfer functions. J. Acoust. Soc. Am. 1999, 106, 1465–1479. [Google Scholar] [CrossRef]








| β | ||||||||||
|---|---|---|---|---|---|---|---|---|---|---|
| 10 | 15 | 20 | 40 | 10 | 15 | 20 | 40 | |||
| 15 | 0.221 | 15 | 0.225 | |||||||
| 20 | 0.405 | 0.184 | 20 | 0.312 | 0.087 | |||||
| 40 | 1.47 *** | 1.25 *** | 1.07 ** | 40 | 1.48 *** | 1.25 *** | 1.17 ** | |||
| 100 | 1.43 *** | 1.21 *** | 1.02 ** | 0.047 | 100 | 1.49 *** | 1.27 *** | 1.18 ** | 0.014 | |
| β | ||||||||||||
|---|---|---|---|---|---|---|---|---|---|---|---|---|
| 40 | 50 | 75 | 100 | 150 | 40 | 50 | 75 | 100 | 150 | |||
| 50 | 0.543 ** | 50 | 0.724 *** | |||||||||
| 75 | 0.275 *** | 0.912 | 75 | 0.314 ** | 0.909 | |||||||
| 100 | 0.661 *** | −0.024 | 50 | 100 | 0.624 *** | −0.029 | 50 | |||||
| 150 | 0.637 | 0 | 0 | 0.851 * | 150 | 0.595 | 0 | 0 | 0.992 * | |||
| 200 | 0.936 | 0 | 1 | 0.479 † | 0.526 | 200 | 0.938 | 0 | 0.999 | 0.18 † | 0.215 | |
| β | ||||||||||
|---|---|---|---|---|---|---|---|---|---|---|
| 10 | 15 | 20 | 40 | 10 | 15 | 20 | 40 | |||
| 15 | 0.225 | 15 | 0.141 | |||||||
| 20 | 0.355 | 0.13 | 20 | 0.25 | 0.109 | |||||
| 40 | 2.35 ** | 2.58 ** | 2.71 ** | 40 | 2.35 * | 2.58 * | 2.71 * | |||
| 100 | 2.21 * | 2.44 * | 2.57 * | 0.137 | 100 | 2.21 † | 2.24 † | 2.57 † | 0.154 | |
| Obstacle Width | Obstacle Distance | ||||||||||
|---|---|---|---|---|---|---|---|---|---|---|---|
| 10 | 15 | 20 | 40 | 40 | 55 | 75 | 100 | 150 | |||
| 15 | 0.163 | 50 | 0.461 * | ||||||||
| 20 | 0.371 * | 0.208 | 75 | 1.08 *** | 0.619 *** | ||||||
| 40 | 2.35 *** | 2.58 *** | 2.71 *** | 100 | 1.63 *** | 1.17 *** | 0.548 *** | ||||
| 100 | 2.21 *** | 2.44 *** | 2.57 *** | 0.029 | 150 | 2.25 *** | 1.79 *** | 1.17 *** | 0.627 *** | ||
| 200 | 2.62 *** | 2.16 *** | 1.54 *** | 0.993 *** | 0.366 ** | ||||||
Disclaimer/Publisher’s Note: The statements, opinions and data contained in all publications are solely those of the individual author(s) and contributor(s) and not of MDPI and/or the editor(s). MDPI and/or the editor(s) disclaim responsibility for any injury to people or property resulting from any ideas, methods, instructions or products referred to in the content. |
© 2023 by the authors. Licensee MDPI, Basel, Switzerland. This article is an open access article distributed under the terms and conditions of the Creative Commons Attribution (CC BY) license (https://creativecommons.org/licenses/by/4.0/).
Share and Cite
Miura, T.; Okochi, N.; Suzuki, J.; Ifukube, T. Binaural Listening with Head Rotation Helps Persons with Blindness Perceive Narrow Obstacles. Int. J. Environ. Res. Public Health 2023, 20, 5573. https://doi.org/10.3390/ijerph20085573
Miura T, Okochi N, Suzuki J, Ifukube T. Binaural Listening with Head Rotation Helps Persons with Blindness Perceive Narrow Obstacles. International Journal of Environmental Research and Public Health. 2023; 20(8):5573. https://doi.org/10.3390/ijerph20085573
Chicago/Turabian StyleMiura, Takahiro, Naoyuki Okochi, Junya Suzuki, and Tohru Ifukube. 2023. "Binaural Listening with Head Rotation Helps Persons with Blindness Perceive Narrow Obstacles" International Journal of Environmental Research and Public Health 20, no. 8: 5573. https://doi.org/10.3390/ijerph20085573
APA StyleMiura, T., Okochi, N., Suzuki, J., & Ifukube, T. (2023). Binaural Listening with Head Rotation Helps Persons with Blindness Perceive Narrow Obstacles. International Journal of Environmental Research and Public Health, 20(8), 5573. https://doi.org/10.3390/ijerph20085573

