Tell Me Where to Go: An Experiment in Spreading Visitor Flows in The Netherlands
Abstract
1. Introduction
2. Literature Review
2.1. Tourism Flows and Overtourism
2.2. Conversational Recommender Systems
2.3. Tourist Experience
2.4. Our Study—Justification and Approach
- differ in their spatial movements?
- visit different types of attractions?
- experience different self-reported emotions day-to-day?
- visit different proportions of urban and rural destinations?
- evaluate their experiences differently?
3. Materials and Methods
3.1. Study Design
- Popularity-driven information via a conventional passive map app;
- Policy-driven information via a conventional passive map app;
- Popularity-driven information via a personalized conversation on WhatsApp;
- Policy-driven information via a personalized conversation over WhatsApp;
3.2. Sample
3.3. Measures
3.3.1. Location
3.3.2. Self-Reported Emotion
3.3.3. Experience Evaluation
3.4. Analyses
4. Results
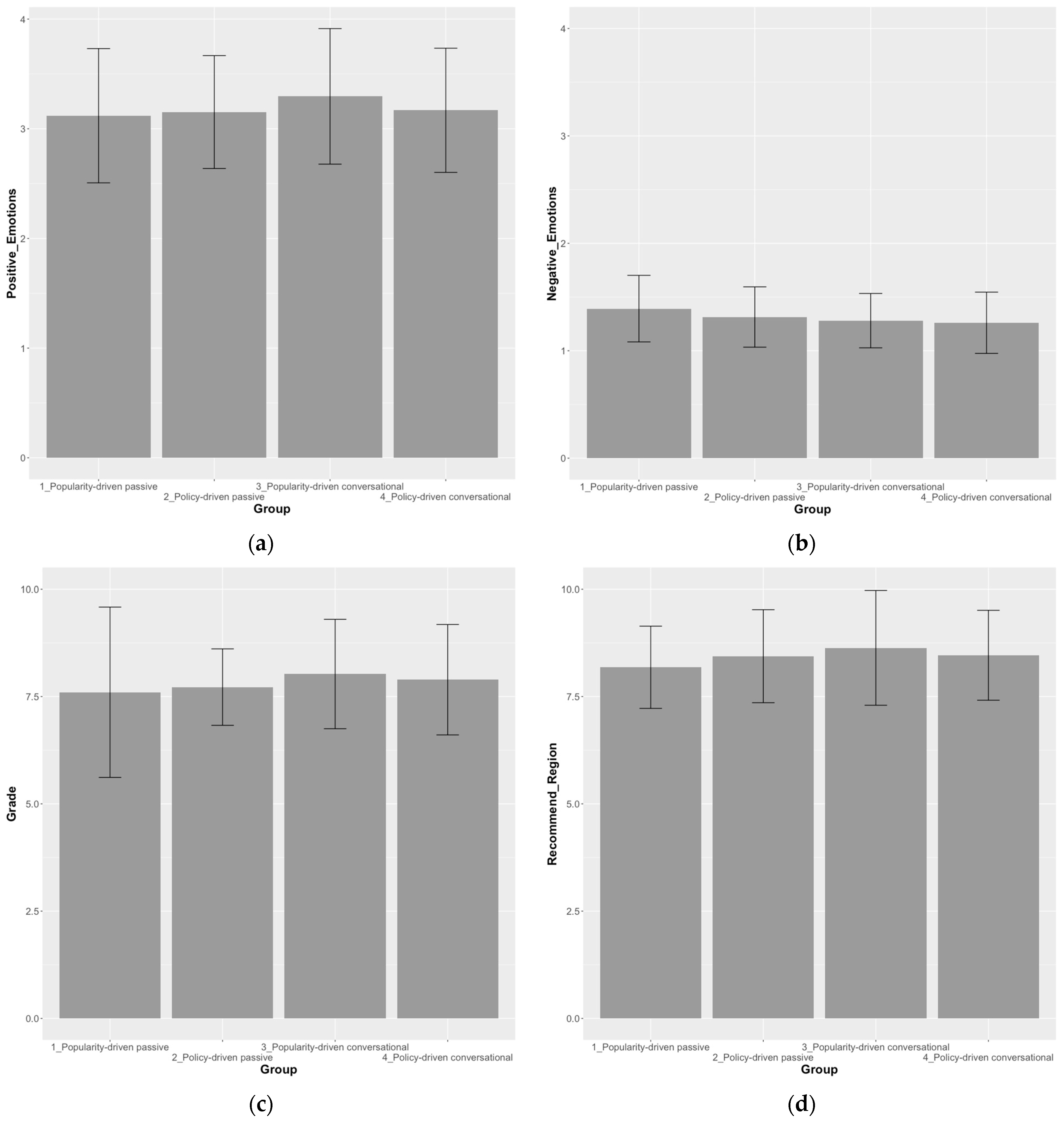
4.1. Descriptive Statistics
4.2. Differences between Groups
4.3. Spatial Distribution between Groups
4.4. Experience over Space
5. Discussion
5.1. Theoretical Implications
5.2. Professional Implications
5.3. Limitations and Future Directions
6. Conclusions
Author Contributions
Funding
Institutional Review Board Statement
Informed Consent Statement
Data Availability Statement
Acknowledgments
Conflicts of Interest
References
- Gössling, S.; McCabe, S.; Chen, N.C. A socio-psychological conceptualisation of overtourism. Ann. Tour. Res. 2020, 84, 102976. [Google Scholar] [CrossRef] [PubMed]
- NBTC. Perspective 2030: Destination the Netherlands; Netherlands Board of Tourism and Conventions: Den Haag, The Netherlands, 2019; p. 41. [Google Scholar]
- Buhalis, D.; Amaranggana, A. Smart tourism destinations enhancing tourism experience through personalisation of services. In Proceedings of the Information and Communication Technologies in Tourism 2015, Lugano, Switzerland, 3–6 February 2015; pp. 377–389. [Google Scholar]
- Turner, L.; Ash, J. The Golden Hordes: International Tourism and the Pleasure Periphery; Constable & Robinson: London, UK, 1975. [Google Scholar]
- Doxey, J. Development of Tourism Destinations; Torbay: London, UK, 1975. [Google Scholar]
- Butler, R. The Tourism Area Life Cycle; Channel View Publications: Bristol, UK, 2006; Volume 1. [Google Scholar]
- Mitas, O.; Kokkinou, A. A Conceptual Model of Tourism Development Facilitated by Low-Cost Airlines. Essays Tour. Res. 2007, 3, 46. [Google Scholar]
- Bastiaansen, M.; Mitas, O.; Strijbosch, W.; Klijs, J.; Boode, W.; Neuts, B. Experiencing Overtourism: Emotions, Behavioural Intentions, and Policy Opportunities at Crowded Destinations; Data Development Lab: Breda, The Netherlands, 2022; p. 44. [Google Scholar]
- Sebrek, S.S.; Garrido, B.P.; Michalkó, G. Why are Unfavorable Signs of Overtourism Ignored by Urban Politics? An Attention-based Explanation of No Intervention. Tour. Plan. Dev. 2022, 1–9. [Google Scholar] [CrossRef]
- Koens, K.; Postma, A.; Papp, B. Is overtourism overused? Understanding the impact of tourism in a city context. Sustainability 2018, 10, 4384. [Google Scholar] [CrossRef]
- Van Haaren, J.; Vermeulen, S.; Klijs, J.; Koens, K.; Bijl, J. Short-term accommodation rental in Amsterdam: An empirical investigation of statistical correlations between short-term rental, housing prices and quality of life index. In Directorate-General for Internal Market, Industry, Entrepreneurship and SMEs; European Commission: Brussels, Belgium, 2021; p. 68. [Google Scholar]
- Blapp, M.; Mitas, O. Creative tourism in Balinese rural communities. Curr. Issues Tour. 2017, 21, 1–27. [Google Scholar]
- Jacobsen, J.K.S.; Munar, A.M. Tourist information search and destination choice in a digital age. Tour. Manag. Perspect. 2012, 1, 39–47. [Google Scholar] [CrossRef]
- Chon, K.-S. The role of destination image in tourism: A review and discussion. Tour. Rev. 1990, 45, 2–9. [Google Scholar] [CrossRef]
- Govers, R.; Go, F.M.; Kumar, K. Promoting tourism destination image. J. Travel Res. 2007, 46, 15–23. [Google Scholar] [CrossRef]
- Yüksel, A.; Akgül, O. Postcards as affective image makers: An idle agent in destination marketing. Tour. Manag. 2007, 28, 714–725. [Google Scholar] [CrossRef]
- Urry, J. The Tourist Gaze; Sage: Newcastle upon Tyne, UK, 2002. [Google Scholar]
- Garrod, B. Understanding the relationship between tourism destination imagery and tourist photography. J. Travel Res. 2009, 47, 346–358. [Google Scholar] [CrossRef]
- Kourouthanassis, P.; Boletsis, C.; Bardaki, C.; Chasanidou, D. Tourists responses to mobile augmented reality travel guides: The role of emotions on adoption behavior. Pervasive Mob. Comput. 2015, 18, 71–87. [Google Scholar] [CrossRef]
- Liang, T.; Lai, H.; Ku, Y. Personalized content recommendation theoretical and user satisfaction: And empirical findings synthesis. J. Manag. Inf. Syst. 2007, 23, 45–70. [Google Scholar] [CrossRef]
- Resnik, P.; Varian, H.R. Recommender systems. Commun. ACM 1997, 40, 56–58. [Google Scholar] [CrossRef]
- Lee, H.; Lee, J.; Chung, N.; Koo, C. Tourists’ happiness: Are there smart tourism technology effects? Asia Pac. J. Tour. Res. 2018, 23, 486–501. [Google Scholar] [CrossRef]
- No, E.; Kim, J.K. Comparing the attributes of online tourism information sources. Comput. Hum. Behav. 2015, 50, 564–575. [Google Scholar] [CrossRef]
- Chen, C.-C.; Tsai, J.-L. Determinants of behavioral intention to use the Personalized Location-based Mobile Tourism Application: An empirical study by integrating TAM with ISSM. Future Gener. Comput. Syst. 2019, 96, 628–638. [Google Scholar] [CrossRef]
- Kaplan, A.; Haenlein, M. Siri, Siri, in my hand: Who’s the fairest in the land? On the interpretations, illustrations, and implications of artificial intelligence. Bus. Horiz. 2019, 62, 15–25. [Google Scholar] [CrossRef]
- Tussyadiah, I.; Miller, G. Perceived impacts of artificial intelligence and responses to positive behaviour change intervention. In Proceedings of the Information and Communication Technologies in Tourism 2019, Nicosia, Cyprus, 30 January–1 February 2019; pp. 359–370. [Google Scholar]
- Gretzel, U. Intelligent systems in tourism: A social science perspective. Ann. Tour. Res. 2011, 38, 757–779. [Google Scholar] [CrossRef]
- Pearce, P.L.; Zare, S. The orchestra model as the basis for teaching tourism experience design. J. Hosp. Tour. Manag. 2017, 30, 55–64. [Google Scholar] [CrossRef]
- Scott, N.; Le, D. Tourism experience: A review. In Visitor Experience Design; Scott, N., Gao, J., Ma, J., Eds.; CABI: Boston, MA, USA, 2017; Volume 5, p. 30. [Google Scholar]
- Zajchowski, C.A.; Schwab, K.A.; Dustin, D.L. The Experiencing Self and the Remembering Self: Implications for Leisure Science. Leis. Sci. 2016, 39, 1–8. [Google Scholar] [CrossRef]
- Bastiaansen, M.; Lub, X.; Mitas, O.; Jung, T.H.; Passos Acenção, M.; Han, D.; Moilanen, T.; Smit, B.; Strijbosch, W. Emotions as core building blocks of an experience. Int. J. Contemp. Hosp. Manag. 2019, 31, 651–668. [Google Scholar] [CrossRef]
- Mitas, O.; Mitasova, H.; Millar, G.; Boode, W.; Neveu, V.; Hover, M.; van den Eijnden, F.; Bastiaansen, M. More is not better: The emotional dynamics of an excellent experience. J. Hosp. Tour. Res. 2020, 46, 78–99. [Google Scholar] [CrossRef]
- Mitas, O.; Yarnal, C.; Adams, R.; Ram, N. Taking a “peak” at leisure travelers’ positive emotions. Leis. Sci. 2012, 34, 115–135. [Google Scholar] [CrossRef]
- Prayag, G.; Hosany, S.; Odeh, K. The role of tourists’ emotional experiences and satisfaction in understanding behavioral intentions. J. Destin. Mark. Manag. 2013, 2, 118–127. [Google Scholar] [CrossRef]
- Strijbosch, W.; Mitas, O.; van Blaricum, T.; Vugts, O.; Govers, C.; Hover, M.; Gelissen, J.; Bastiaansen, M. When the parts of the sum are greater than the whole: Assessing the peak-and-end-theory for a heterogeneous, multi-episodic tourism experience. J. Destin. Mark. Manag. 2021, 20, 100607. [Google Scholar] [CrossRef]
- Strijbosch, W.; Mitas, O.; van Gisbergen, M.; Doicaru, M.; Gelissen, J.; Bastiaansen, M. From experience to memory: On the robustness of the peak-and-end-rule for complex, heterogeneous experiences. Front. Psychol. 2019, 10, 1705. [Google Scholar] [CrossRef] [PubMed]
- Kim, J.-H.; Ritchie, J.B.; McCormick, B. Development of a scale to measure memorable tourism experiences. J. Travel Res. 2012, 51, 12–25. [Google Scholar] [CrossRef]
- Lundberg, N.; Ward, P.; Lundberg, G.; Hill, B.; Bown, J.; Zabriskie, R.; Duerden, M.; Ashby, H. Developing the Experience Impact Scale: A qualitative study using a study abroad and international internship program. J. Leis. Res. 2022, 53, 191–210. [Google Scholar] [CrossRef]
- Wirtz, D.; Kruger, J.; Scollon, C.N.; Diener, E. What to do on spring break? The role of predicted, on-line, and remembered experience in future choice. Psychol. Sci. 2003, 14, 520–524. [Google Scholar] [CrossRef]
- Mitas, O.; Bastiaansen, M. Novelty: A mechanism of tourists’ enjoyment. Ann. Tour. Res. 2018, 72, 98–108. [Google Scholar] [CrossRef]
- Nawijn, J. Determinants of daily happiness on vacation. J. Travel Res. 2011, 50, 559–566. [Google Scholar] [CrossRef]
- Kirillova, K.; Lehto, X. Destination aesthetics and aesthetic distance in tourism experience. J. Travel Tour. Mark. 2015, 32, 1051–1068. [Google Scholar] [CrossRef]
- Kirillova, K.; Lehto, X. Aesthetic and restorative qualities of vacation destinations: How are they related? Tour. Anal. 2016, 21, 513–527. [Google Scholar] [CrossRef]
- Shoval, N.; Schvimer, Y.; Tamir, M. Real-time measurement of tourists’ objective and subjective emotions in time and space. J. Travel Res. 2018, 57, 3–16. [Google Scholar] [CrossRef]
- i Agustí, D.P.; Rutllant, J.; Fortea, J.L. Differences in the perception of urban space via mental maps and Heart Rate Variation (HRV). Appl. Geogr. 2019, 112, 102084. [Google Scholar] [CrossRef]
- Bryman, A. Social Research Methods; Oxford University Press: Oxford, UK, 2016. [Google Scholar]
- Diener, E.; Wirtz, D.; Tov, W.; Kim-Prieto, C.; Choi, D.-w.; Oishi, S.; Biswas-Diener, R. New well-being measures: Short scales to assess flourishing and positive and negative feelings. Soc. Indic. Res. 2010, 97, 143–156. [Google Scholar] [CrossRef]
- Lin, Y.; Kerstetter, D.; Nawijn, J.; Mitas, O. Changes in emotions and their interactions with personality in a vacation context. Tour. Manag. 2014, 40, 416–424. [Google Scholar] [CrossRef]
- Reichheld, F.F. The one number you need to grow. Harv. Bus. Rev. 2003, 81, 46–55. [Google Scholar]
- Petrasova, A.; Hipp, J.A.; Mitasova, H. Visualization of pedestrian density dynamics using data extracted from public webcams. ISPRS Int. J. Geo-Inf. 2019, 8, 559. [Google Scholar] [CrossRef]
- Sliwinski, M.J. Measurement-burst designs for social health research. Soc. Personal. Psychol. Compass 2008, 2, 245–261. [Google Scholar] [CrossRef]










| Experimental Group | |||||
|---|---|---|---|---|---|
| Scale | Passive Popularity-Driven | Passive Policy-Driven | Conversational Popularity-Driven | Conversational Policy-Driven | |
| Positive emotions on vacation | 1–5 | 3.12 | 3.15 | 3.29 | 3.17 |
| Negative emotions on vacation | 1–5 | 1.39 | 1.31 | 1.28 * | 1.26 * |
| Overall grade for vacation | 0–10 | 7.60 | 7.72 | 8.02 | 7.89 |
| Intent to recommend Overijssel | 0–10 | 8.18 | 8.44 | 8.63 | 8.46 |
| Intent to recommend accommodation | 0–10 | 7.82 | 8.48 | 8.07 | 8.03 |
| Intent to recommend the recommender system | 0–10 | 4.45 | 5.16 | 6.66 *** | 7.36 *** |
| Group | % of Visited Area that Was Visited by This Group (within Urban Areas) | % of Visited Area that Was Visited Only by This Group (within Urban Areas) | % of Overijssel Visited by This Group (within Urban Areas) |
|---|---|---|---|
| Popularity-Driven Passive | 66% (55%) | 13% (9%) | 17% (27%) |
| Policy-Driven Passive | 36% (44%) | 4% (10%) | 9% (22%) |
| Popularity-Driven Conversational | 56% (44%) | 10% (6%) | 14% (22%) |
| Policy-Driven Conversational | 61% (66%) | 10% (15%) | 15% (32%) |
| Popularity-Driven Attractions | |||
|---|---|---|---|
| Group | Odds Ratio | Standard Error | |
| (Intercept) | 0.00 | 0.46 | |
| Policy-driven passive | 0.12 ** | 0.75 | |
| Popularity-driven conversational | 0.40 | 0.91 | |
| Policy-driven conversational | 0.30 | 0.75 | |
| Policy-driven attractions | |||
| (Intercept) | 0.01 | 0.13 | |
| Policy-driven passive | 1.80 * | 0.20 | |
| Popularity-driven conversational | 1.51 | 0.22 | |
| Policy-driven conversational | 2.02 *** | 0.24 | |
| Non-priority attractions | |||
| (Intercept) | 0.00 | 0.23 | |
| Policy-driven passive | 0.89 | 0.36 | |
| Popularity-driven conversational | 1.18 | 0.34 | |
| Policy-driven conversational | 1.26 | 0.33 | |
| Urban areas | |||
| (Intercept) | 0.03 | 0.11 | |
| Policy-driven passive | 1.02 | 0.25 | |
| Popularity-driven conversational | 0.47 *** | 0.14 | |
| Policy-driven conversational | 0.15 *** | 0.23 |
| Outcome Variable | Predictor | Coefficient | Standard Error |
|---|---|---|---|
| Positive emotions | |||
| (Intercept) | 3.278 | 0.046 | |
| Movement at policy-driven attractions | −0.006 | 0.004 | |
| Movement at popularity-driven attractions | 0.021 | 0.015 | |
| Movement at non-priority attractions | −0.009 | 0.007 | |
| Negative emotions | |||
| (Intercept) | 1.128 | 0.009 | |
| Movement at policy-driven attractions | 0.000 | 0.001 | |
| Movement at popularity-driven attractions | −0.008 * | 0.003 | |
| Movement at non-priority attractions | 0.008 *** | 0.002 |
Disclaimer/Publisher’s Note: The statements, opinions and data contained in all publications are solely those of the individual author(s) and contributor(s) and not of MDPI and/or the editor(s). MDPI and/or the editor(s) disclaim responsibility for any injury to people or property resulting from any ideas, methods, instructions or products referred to in the content. |
© 2023 by the authors. Licensee MDPI, Basel, Switzerland. This article is an open access article distributed under the terms and conditions of the Creative Commons Attribution (CC BY) license (https://creativecommons.org/licenses/by/4.0/).
Share and Cite
Mitas, O.; Badal, R.; Verhoeven, M.; Verstraten, K.; de Graaf, L.; Mitasova, H.; Weijdema, W.; Klijs, J. Tell Me Where to Go: An Experiment in Spreading Visitor Flows in The Netherlands. Int. J. Environ. Res. Public Health 2023, 20, 5441. https://doi.org/10.3390/ijerph20085441
Mitas O, Badal R, Verhoeven M, Verstraten K, de Graaf L, Mitasova H, Weijdema W, Klijs J. Tell Me Where to Go: An Experiment in Spreading Visitor Flows in The Netherlands. International Journal of Environmental Research and Public Health. 2023; 20(8):5441. https://doi.org/10.3390/ijerph20085441
Chicago/Turabian StyleMitas, Ondrej, Rajneesh Badal, Maud Verhoeven, Koen Verstraten, Liselotte de Graaf, Helena Mitasova, Wendy Weijdema, and Jeroen Klijs. 2023. "Tell Me Where to Go: An Experiment in Spreading Visitor Flows in The Netherlands" International Journal of Environmental Research and Public Health 20, no. 8: 5441. https://doi.org/10.3390/ijerph20085441
APA StyleMitas, O., Badal, R., Verhoeven, M., Verstraten, K., de Graaf, L., Mitasova, H., Weijdema, W., & Klijs, J. (2023). Tell Me Where to Go: An Experiment in Spreading Visitor Flows in The Netherlands. International Journal of Environmental Research and Public Health, 20(8), 5441. https://doi.org/10.3390/ijerph20085441

