Differences in Factors Influencing Deprescribing between Primary Care Providers: Cross-Sectional Study
Abstract
1. Introduction
2. Materials and Methods
3. Results
3.1. Participants Characteristics
3.2. Knowledge and Awareness of Deprescribing
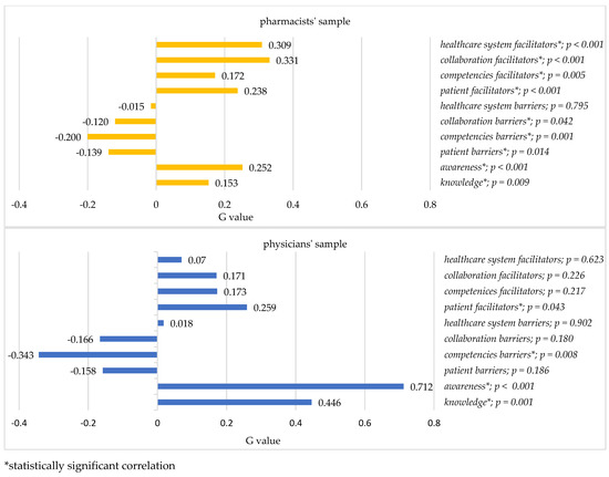
3.3. Facilitators and Barriers of Deprescribing
3.4. Willingness to Suggest Deprescribing
4. Discussion
4.1. Limitations
4.2. Implications for Research Practice
5. Conclusions
Supplementary Materials
Author Contributions
Funding
Institutional Review Board Statement
Informed Consent Statement
Data Availability Statement
Conflicts of Interest
References
- Maher, R.L.; Hanlon, J.; Hajjar, E.R. Clinical Consequences of Polypharmacy in Elderly. Expert Opin. Drug Saf. 2014, 13, 57–65. [Google Scholar] [CrossRef]
- Beard, J.R.; Bloom, D.E. Towards a Comprehensive Public Health Response to Population Ageing. Lancet 2015, 385, 658. [Google Scholar] [CrossRef] [PubMed]
- Fulmer, T.; Reuben, D.B.; Auerbach, J.; Fick, D.M.; Galambos, C.; Johnson, K.S. Actualizing Better Health and Health Care for Older Adults. Health Aff. 2021, 40, 219–225. [Google Scholar] [CrossRef]
- Tynkkynen, L.K.; Pulkki, J.; Tervonen-Gonçalves, L.; Schön, P.; Burström, B.; Keskimäki, I. Health system reforms and the needs of the ageing population—An analysis of recent policy paths and reform trends in Finland and Sweden. Eur. J. Ageing 2022, 19, 221–232. [Google Scholar] [CrossRef]
- Reeve, E.; Gnjidic, D.; Long, J.; Hilmer, S. A systematic review of the emerging definition of ‘deprescribing’ with network analysis: Implications for future research and clinical practice. Br. J. Clin. Pharmacol. 2015, 80, 1254–1268. [Google Scholar] [CrossRef]
- Wright, D.J.; Scott, S.; Bhattacharya, D. Deprescribing: Routine pharmacy practice or an exciting research opportunity? Int. J. Pharm. Pract. 2018, 27, 406–407. [Google Scholar] [CrossRef] [PubMed]
- Dills, H.; Shah, K.; Messinger-Rapport, B.; Bradford, K.; Syed, Q. Deprescribing Medications for Chronic Diseases Management in Primary Care Settings: A Systematic Review of Randomized Controlled Trials. J. Am. Med. Dir. Assoc. 2018, 19, 923–935.e2. [Google Scholar] [CrossRef] [PubMed]
- Korenvain, C.; MacKeigan, L.D.; Dainty, K.N.; Guilcher, S.J.T.; McCarthy, L.M. Exploring deprescribing opportunities for community pharmacists using the Behaviour Change Wheel. Res. Soc. Adm. Pharm. 2020, 16, 1746–1753. [Google Scholar] [CrossRef]
- Farrell, B.; Clarkin, C.; Conklin, J.; Dolovich, L.; Irving, H.; McCarthy, L.; Raman-Wilms, L. Community pharmacists as catalysts for deprescribing: An exploratory study using quality improvement processes. Can. Pharm. J. 2020, 153, 37–45. [Google Scholar] [CrossRef] [PubMed]
- Elbeddini, A.; Zhang, C.X.Y. The pharmacist’s role in successful deprescribing through hospital medication reconciliation. Can. Pharm. J. CPJ 2019, 152, 177. [Google Scholar] [CrossRef] [PubMed]
- Bužančić, I.; Kummer, I.; Držaić, M.; Ortner Hadžiabdić, M. Community-based pharmacists’ role in deprescribing: A systematic review. Br. J. Clin. Pharmacol. 2022, 88, 452–463. [Google Scholar] [CrossRef] [PubMed]
- Anderson, K.; Foster, M.; Freeman, C.; Luetsch, K.; Scott, I. Negotiating “Unmeasurable Harm and Benefit”: Perspectives of General Practitioners and Consultant Pharmacists on Deprescribing in the Primary Care Setting. Qual. Health Res. 2017, 27, 1936–1947. [Google Scholar] [CrossRef] [PubMed]
- Sawan, M.; Reeve, E.; Turner, J.; Todd, A.; Steinman, M.A.; Petrovic, M.; Gnjidic, D. A systems approach to identifying the challenges of implementing deprescribing in older adults across different health-care settings and countries: A narrative review. Expert Rev. Clin. Pharmacol. 2020, 13, 233–245. [Google Scholar] [CrossRef] [PubMed]
- Isenor, J.E.; Bai, I.; Cormier, R.; Helwig, M.; Reeve, E.; Whelan, A.M.; Burgess, S.; Martin-Misener, R.; Kennie-Kaulbach, N. Deprescribing interventions in primary health care mapped to the Behaviour Change Wheel: A scoping review. Res. Soc. Adm. Pharm. 2021, 17, 1229–1241. [Google Scholar] [CrossRef] [PubMed]
- van Poelgeest, E.P.; Seppala, L.J.; Lee, J.M.; Bahat, G.; Ilhan, B.; Lavan, A.H.; Mair, A.; van Marum, R.J.; Onder, G.; Ryg, J.; et al. Deprescribing practices, habits and attitudes of geriatricians and geriatricians-in-training across Europe: A large web-based survey. Eur. Geriatr. Med. 2022, 13, 1455–1466. [Google Scholar] [CrossRef] [PubMed]
- Scott, I.A.; Reeve, E.; Hilmer, S.N. Establishing the worth of deprescribing inappropriate medications: Are we there yet? Med. J. Aust. 2022, 217, 283–286. [Google Scholar] [CrossRef] [PubMed]
- Scott, S. Deprescribing: A call for research that supports implementation in practice. Int. J. Pharm. Pract. 2021, 29, 525–526. [Google Scholar] [CrossRef] [PubMed]
- Bužančić, I.; Ortner Hadžiabdić, M. Development and Validation of Comprehensive Healthcare Providers’ Opinions, Preferences, and Attitudes towards Deprescribing (CHOPPED Questionnaire). Pharmacy 2022, 10, 76. [Google Scholar] [CrossRef]
- Croatian Institute of Public Health. Croatian Health Statistics Yearbook 2021. [Internet]. Available online: https://www.hzjz.hr/aktualnosti/hrvatski-zdravstveno-statisticki-ljetopis-za-2021-tablicni-podaci-2/ (accessed on 27 October 2022).
- Croatian Chamber of Pharmacists. Pharmacy in Croatia [Internet]. Available online: https://www.hljk.hr/pharmacy-in-croatia-a42 (accessed on 1 March 2023).
- Heinrich, C.H.; Donovan, M.D. Assessing community pharmacists’ attitudes towards identifying opportunities for deprescribing in clinical practice in Ireland. Int. J. Pharm. Pract. 2022, 30, 28–35. [Google Scholar] [CrossRef]
- D’Avanzo, B.; Agosti, P.; Reeve, E.; Pasina, L.; Sabbà, C.; Mannucci, P.M.; Nobili, A. Views of medical practitioners about deprescribing in older adults: Findings from an Italian qualitative study. Maturitas 2020, 134, 29–33. [Google Scholar] [CrossRef]
- Djatche, L.; Lee, S.; Singer, D.; Hegarty, S.E.; Lombardi, M.; Maio, V. How confident are physicians in deprescribing for the elderly and what barriers prevent deprescribing? J. Clin. Pharm. Ther. 2018, 43, 550–555. [Google Scholar] [CrossRef] [PubMed]
- Scott, S.; Twigg, M.J.; Clark, A.; Farrow, C.; May, H.; Patel, M.; Taylor, J.; Wright, D.J.; Bhattacharya, D. Development of a hospital deprescribing implementation framework: A focus group study with geriatricians and pharmacists. Age Ageing 2020, 49, 102–110. [Google Scholar] [CrossRef] [PubMed]
- Ailabouni, N.J.; Reeve, E.; Helfrich, C.D.; Hilmer, S.N.; Wagenaar, B.H. Leveraging implementation science to increase the translation of deprescribing evidence into practice. Res. Soc. Adm. Pharm. 2022, 18, 2550–2555. [Google Scholar] [CrossRef]
- Motter, F.R.; Cantuaria, N.M.; Lopes, L.C. Healthcare professionals’ knowledge, attitudes and practices toward deprescribing: A protocol of cross-sectional study (Desmedica Study-Brazil). BMJ Open 2021, 11, e044312. [Google Scholar] [CrossRef]
- Shrestha, S.; Poudel, A.; Reeve, E.; Linsky, A.M.; Steadman, K.J.; Nissen, L.M. Development and validation of a tool to understand health care professionals’ attitudes towards deprescribing (HATD) in older adults with limited life expectancy. Res. Soc. Adm. Pharm. 2022, 18, 3596–3601. [Google Scholar] [CrossRef] [PubMed]
- Lundby, C.; Graabæk, T.; Ryg, J.; Søndergaard, J.; Pottegård, A.; Nielsen, D.S. Health care professionals’ attitudes towards deprescribing in older patients with limited life expectancy: A systematic review. Br. J. Clin. Pharmacol. 2019, 85, 868–892. [Google Scholar] [CrossRef] [PubMed]
- Anderson, K.; Stowasser, D.; Freeman, C.; Scott, I. Prescriber barriers and enablers to minimising potentially inappropriate medications in adults: A systematic review and thematic synthesis. BMJ Open 2014, 4, e006544. [Google Scholar] [CrossRef]
- Ailabouni, N.J.; Nishtala, P.S.; Mangin, D.; Tordoff, J.M. Challenges and enablers of deprescribing: A general practitioner perspective. PLoS ONE 2016, 11, e0151066. [Google Scholar] [CrossRef]
- Bolmsjö, B.B.; Palagyi, A.; Keay, L.; Potter, J.; Lindley, R.I. Factors influencing deprescribing for residents in Advanced Care Facilities: Insights from General Practitioners in Australia and Sweden. BMC Fam. Pract. 2016, 17, 152. [Google Scholar] [CrossRef] [PubMed]
- Goyal, P.; Anderson, T.S.; Bernacki, G.M.; Marcum, Z.A.; Orkaby, A.R.; Kim, D.; Zullo, A.; Krishnaswami, A.; Weissman, A.; Steinman, M.A.; et al. Physician Perspectives on Deprescribing Cardiovascular Medications for Older Adults. J. Am. Geriatr. Soc. 2020, 68, 78–86. [Google Scholar] [CrossRef] [PubMed]
- Kua, C.H.; Mak, V.S.L.; Lee, S.W.H. Perspectives of health professionals towards deprescribing practice in Asian nursing homes: A qualitative interview study. BMJ Open 2019, 9, e030106. [Google Scholar] [CrossRef] [PubMed]
- Mantelli, S.; Jungo, K.T.; Rozsnyai, Z.; Reeve, E.; Luymes, C.H.; Poortvliet, R.K.E.; Chiolero, A.; Rodondi, N.; Gussekloo, J.; Streit, S. How general practitioners would deprescribe in frail oldest-old with polypharmacy-The LESS study 11 Medical and Health Sciences 1117 Public Health and Health Services 11 Medical and Health Sciences 1103 Clinical Sciences. BMC Fam. Pract. 2018, 19, 169. [Google Scholar]
- Schuling, J.; Gebben, H.; Veehof, L.J.G.; Haaijer-Ruskamp, F.M. Deprescribing medication in very elderly patients with multimorbidity: The view of Dutch GPs. A qualitative study. BMC Fam. Pract. 2012, 13, 56. [Google Scholar] [CrossRef]
- Wright, D.J.; Scott, S.; Buck, J.; Bhattacharya, D. Role of nurses in supporting proactive deprescribing. Nurs. Stand. 2022, 37, 44–50. [Google Scholar] [CrossRef]
- Fixen, D.R.; Farro, S.A.; Shanbhag, P.; Parnes, B.L.; Vejar, M.V. Multidisciplinary Approach to Deprescribing Sedative-Hypnotic Medications in Geriatric Primary Care. J. Prim. Care Community Health 2022, 13, 21501319221103416. [Google Scholar] [CrossRef] [PubMed]
- Seto, H.; Ishimaru, N.; Ohnishi, J.; Kanzawa, Y.; Nakajima, T.; Shimokawa, T.; Imanaka, Y.; Kinami, S. Multidisciplinary Team Deprescribing Intervention for Polypharmacy in Elderly Orthopedic Inpatients: A Propensity Score-matched Analysis of a Retrospective Cohort Study. Intern. Med. 2022, 61, 2417–2426. [Google Scholar] [CrossRef] [PubMed]
- Clark, C.M.; Hejna, M.; Shao, E.; Maerten-Rivera, J.L.; Monte, S.V.; Robert, G.; Wahler, J. Knowledge and Attitudes of Student Pharmacists Regarding Polypharmacy and Deprescribing: A Cross-Sectional Study. Pharm. J. Pharm. Educ. Pract. 2020, 8, 220. [Google Scholar] [CrossRef] [PubMed]
- Poots, A.J.; Jubraj, B.; Ward, E.; Wycoco, A.; Barnett, N. Education around medication review and deprescribing: A survey of medical and pharmacy students’ perspectives. Ther. Adv. Drug Saf. 2020, 11, 2042098620909610. [Google Scholar] [CrossRef] [PubMed]


| Characteristic | Pharmacists (n = 419) | Physicians (n = 124) |
|---|---|---|
| sex (female gender, %) | 86.62 | 74.30 |
| age (median, IQR) | 35 (28–43) | 50 (33–60) |
| years of experience (median, IQR) | 10 (3–19) | 24 (6.75–33) |
| highest educational attainment | ||
| graduate degree | 83.94 | 26.16 |
| postgraduate specialist course a | 11.44 | n/a |
| health specialization b | 3.41 | 72.80 |
| master’s degree (MSc) | 0.48 | 0.72 |
| doctoral degree (PhD) | 0.73 | 0.32 |
| location | ||
| urban | 59.85 | 43.58 |
| suburban | 31.15 | 38.54 |
| rural | 9.00 | 17.88 |
| practice location | ||
| within another healthcare facility | 16.55 | 59.78 |
| near another healthcare facility | 40.15 | 11.17 |
| within a shopping center | 5.59 | n/a |
| displaced/not near another healthcare facility | 37.71 | 29.05 |
| practice ownership | ||
| private/concession | 54.00 | 23.20 |
| public | 46.00 | 76.80 |
| type of ownership | ||
| single practice | 13.12 | n/a |
| chain pharmacy <10 units | 28.00 | n/a |
| chain pharmacy >10 units | 58.88 | n/a |
| number of patients in practice (median, IQR) | n/a | 1650 (1250–1946) |
| percentage of elderly patients in practice (median, IQR) | n/a | 35 (28.75–50) |
Disclaimer/Publisher’s Note: The statements, opinions and data contained in all publications are solely those of the individual author(s) and contributor(s) and not of MDPI and/or the editor(s). MDPI and/or the editor(s) disclaim responsibility for any injury to people or property resulting from any ideas, methods, instructions or products referred to in the content. |
© 2023 by the authors. Licensee MDPI, Basel, Switzerland. This article is an open access article distributed under the terms and conditions of the Creative Commons Attribution (CC BY) license (https://creativecommons.org/licenses/by/4.0/).
Share and Cite
Bužančić, I.; Ortner Hadžiabdić, M. Differences in Factors Influencing Deprescribing between Primary Care Providers: Cross-Sectional Study. Int. J. Environ. Res. Public Health 2023, 20, 4957. https://doi.org/10.3390/ijerph20064957
Bužančić I, Ortner Hadžiabdić M. Differences in Factors Influencing Deprescribing between Primary Care Providers: Cross-Sectional Study. International Journal of Environmental Research and Public Health. 2023; 20(6):4957. https://doi.org/10.3390/ijerph20064957
Chicago/Turabian StyleBužančić, Iva, and Maja Ortner Hadžiabdić. 2023. "Differences in Factors Influencing Deprescribing between Primary Care Providers: Cross-Sectional Study" International Journal of Environmental Research and Public Health 20, no. 6: 4957. https://doi.org/10.3390/ijerph20064957
APA StyleBužančić, I., & Ortner Hadžiabdić, M. (2023). Differences in Factors Influencing Deprescribing between Primary Care Providers: Cross-Sectional Study. International Journal of Environmental Research and Public Health, 20(6), 4957. https://doi.org/10.3390/ijerph20064957

