The Proactive Effects of Built Environment on Rural Community Resilience: Evidence from China Family Panel Studies
Abstract
1. Introduction
- Do OBE and PBE significantly affect P-RCR in the social, economic and environmental dimensions?
- How do OBE and PBE affect these dimensions, respectively?
- Does PA or PBE play a mediating role in the BE-P-RCR relationship?
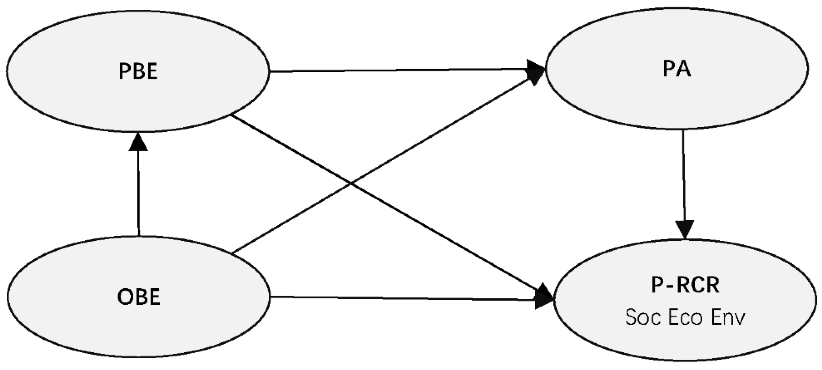
2. Theoretical Framework of the BE-P-RCR Relationship
2.1. The Path from OBE to PBE
2.2. Direct Paths from OBE/PBE to P-RCR with Three Fundamental Dimensions
2.2.1. Three Fundamental Dimensions of P-RCR
2.2.2. The Influences of OBE/PBE on P-RCR
2.2.3. Direct Paths from OBE/PBE to Different Dimensions of P-RCR
2.3. The Path from PA to P-RCR
2.4. The Path from OBE/PBE to PA
3. Materials and Methods
3.1. Data
3.2. Variables
3.2.1. OBE
3.2.2. PBE and PA
3.2.3. Key Dimensions of P-RCR
3.2.4. Covariate
3.2.5. Questions Used for Variable Measurement
3.3. Methods
- 1.
- Step one: Measurement model testing and descriptive statistical analysis
- 2.
- Step two: Structural equation model building
- 3.
- Step three: Application of structural equation model
- Individual-level model with population density (Model 1);
- Individual-level model with accessibility (Model 2);
- Community-level model with population density (Model 3);
- Community-level model with accessibility (Model 4).
4. Results
4.1. The Results of CFA and Descriptive Statistics
4.2. Analysis of the Results of the Structural Equation Model
4.2.1. Total and Indirect Effects of PBE on P-RCR
4.2.2. Total and Indirect Effects of OBE on P-RCR
5. Discussion
5.1. Significant Effects of PBE/OBE on Three Dimensions of P-RCR
5.2. Differences between Effects of PBE/OBE on Three Dimensions of P-RCR
5.3. The Significant Mediation Roles PA and PBE Play in the BE-P-RCR Relationship
5.4. Strengths and Limitations
5.5. Implications
- Improvements to the rural built environment, such as new rural reconstruction and rural settlement remediation, should not focus only on infrastructure development while ignoring people’s perceptions and evaluations of their surrounding environment.
- Top-down planning activities initiated by the government should develop more detailed and targeted planning schemes for rural service accessibility and village mergers, which will be helpful for increasing P-RCR in different regions.
- The development and implementation of built environment policies should consider rural people’s emotional ties with their communities, including both the pros and cons of these emotional ties for P-RCR.
6. Conclusions
Author Contributions
Funding
Institutional Review Board Statement
Informed Consent Statement
Data Availability Statement
Acknowledgments
Conflicts of Interest
Appendix A
| Regions | CR and AVE | PBE 1 | Individual-Level Soc 2 | Individual-Level Eco 3 | Covariate 4 | 
|---|---|---|---|---|---|
| Eastern | CR | 0.715 | 0.740 | 0.772 | 0.730 | 
| AVE | 0.456 | 0.490 | 0.533 | 0.474 | |
| Central | CR | 0.724 | 0.702 | 0.776 | 0.722 | 
| AVE | 0.468 | 0.446 | 0.539 | 0.464 | |
| Western | CR | 0.644 | 0.631 | 0.759 | 0.692 | 
| AVE | 0.380 | 0.367 | 0.514 | 0.428 | 
| Variables | PBE 1 | Individual-Level Soc 2 | Individual-Level Eco 3 | Covariate 4 | 
|---|---|---|---|---|
| Eastern Regions | ||||
| PBE 1 | 0.675 | |||
| Individual-level Soc 2 | 0.285 | 0.700 | ||
| Individual-level Eco 3 | 0.465 | 0.296 | 0.730 | |
| Covariate 4 | 0.166 | 0.510 | 0.257 | 0.688 | 
| Central Regions | ||||
| PBE 1 | 0.684 | |||
| Individual-level Soc 2 | 0.252 | 0.668 | ||
| Individual-level Eco 3 | 0.496 | 0.261 | 0.734 | |
| Covariate 4 | 0.226 | 0.596 | 0.248 | 0.681 | 
| Western Regions | ||||
| PBE 1 | 0.616 | |||
| Individual-level Soc 2 | 0.163 | 0.606 | ||
| Individual-level Eco 3 | 0.460 | 0.246 | 0.717 | |
| Covariate 4 | 0.146 | 0.568 | 0.229 | 0.654 | 
| Models * | CMIN/DF | CFI | RMSEA | SRMR | 
|---|---|---|---|---|
| Eastern Regions | ||||
| Model 1 | 3.556 | 0.979 | 0.031 | 0.0247 | 
| Model 2 | 3.564 | 0.979 | 0.031 | 0.0247 | 
| Model 3 | 2.236 | 0.990 | 0.021 | 0.0140 | 
| Model 4 | 2.236 | 0.990 | 0.021 | 0.0141 | 
| Central Regions | ||||
| Model 1 | 3.411 | 0.974 | 0.034 | 0.0260 | 
| Model 2 | 3.083 | 0.978 | 0.031 | 0.0247 | 
| Model 3 | 3.711 | 0.973 | 0.036 | 0.0222 | 
| Model 4 | 3.633 | 0.974 | 0.035 | 0.0220 | 
| Western Regions | ||||
| Model 1 | 4.584 | 0.961 | 0.037 | 0.0279 | 
| Model 2 | 4.677 | 0.960 | 0.037 | 0.0284 | 
| Model 3 | 4.106 | 0.965 | 0.034 | 0.0207 | 
| Model 4 | 4.269 | 0.964 | 0.035 | 0.0215 | 
References
- Li, Y.; Westlund, H.; Liu, Y. Why some rural areas decline while some others not: An overview of rural evolution in the world. J. Rural Stud. 2019, 68, 135–143. [Google Scholar] [CrossRef]
- McManus, P.; Walmsley, J.; Argent, N.; Baum, S.; Bourke, L.; Martin, J.; Pritchard, B.; Sorensen, T. Rural Community and Rural Resilience: What is important to farmers in keeping their country towns alive? J. Rural Stud. 2012, 28, 20–29. [Google Scholar] [CrossRef]
- Jerolleman, A. Challenges of Post-Disaster Recovery in Rural Areas. In Louisiana’s Response to Extreme Weather; Springer: Berlin/Heidelberg, Germany, 2020; pp. 285–310. [Google Scholar]
- Scott, M. Resilience: A Conceptual Lens for Rural Studies? Geogr. Compass 2013, 7, 597–610. [Google Scholar] [CrossRef]
- Markantoni, M.; Steiner, A.A.; Meador, J.E. Can community interventions change resilience? Fostering perceptions of individual and community resilience in rural places. Community Dev. 2019, 50, 238–255. [Google Scholar] [CrossRef]
- Skerratt, S. Enhancing the analysis of rural community resilience: Evidence from community land ownership. J. Rural Stud. 2013, 31, 36–46. [Google Scholar] [CrossRef]
- Imperiale, A.J.; Vanclay, F. Experiencing local community resilience in action: Learning from post-disaster communities. J. Rural Stud. 2016, 47, 204–219. [Google Scholar] [CrossRef]
- Fischer, A.; McKee, A. A question of capacities? Community resilience and empowerment between assets, abilities and relationships. J. Rural Stud. 2017, 54, 187–197. [Google Scholar] [CrossRef]
- Cutter, S.L.; Barnes, L.; Berry, M.; Burton, C.; Evans, E.; Tate, E.; Webb, J. A place-based model for understanding community resilience to natural disasters. Glob. Environ. Change 2008, 18, 598–606. [Google Scholar] [CrossRef]
- Magis, K. Community Resilience: An Indicator of Social Sustainability. Soc. Nat. Resour. 2010, 23, 401–416. [Google Scholar] [CrossRef]
- Maguire, B.; Cartwright, S. Assessing a Community’s Capacity to Manage Change: A Resilience Approach to Social Assessment; Australian Government Bureau of Rural Sciences: Canberra, Australia, 2008. [Google Scholar]
- Kulig, J.C. Community resiliency: The potential for community health nursing theory development. Public Health Nurs. 2000, 17, 374–385. [Google Scholar] [CrossRef] [PubMed]
- Steiner, A.; Markantoni, M. Unpacking Community Resilience through Capacity for Change. Community Dev. J. 2013, 49, 407–425. [Google Scholar] [CrossRef]
- Roberts, E.; Anderson, B.A.; Skerratt, S.; Farrington, J. A review of the rural-digital policy agenda from a community resilience perspective. J. Rural Stud. 2017, 54, 372–385. [Google Scholar] [CrossRef]
- Mackay, M.; Petersen, K. Rural Community Resilience: Research Stocktake and Annotated Bibliography; Faculty of Environment, Society and Design, Lincoln University: Christchurch, New Zealand, 2015. [Google Scholar]
- Wang, S.; Tang, W.; Qi, D.; Li, J.; Wang, E.; Lin, Z.; Duffield, C. Understanding the Role of Built Environment Resilience to Natural Disasters: Lessons Learned from the Wenchuan Earthquake. J. Perform. Constr. Facil. 2017, 31, 04017058. [Google Scholar] [CrossRef]
- Frank, L.D.; Engelke, P. Multiple Impacts of the Built Environment on Public Health: Walkable Places and the Exposure to Air Pollution. Int. Reg. Sci. Rev. 2005, 28, 193–216. [Google Scholar] [CrossRef]
- Handy, S.L.; Boarnet, M.G.; Ewing, R.; Killingsworth, R.E. How the built environment affects physical activity: Views from urban planning. Am. J. Prev. Med. 2002, 23 (Suppl. 1), 64–73. [Google Scholar] [CrossRef]
- McAllister, T.P. Community Resilience: The Role of the Built Environment. In Multi-Hazard Approaches to Civil Infrastructure Engineering; Gardoni, P., LaFave, J.M., Eds.; Springer: Cham, Switzerland, 2016; pp. 533–548. [Google Scholar]
- Cutter, S.; Ash, K.; Emrich, C. Urban–Rural Differences in Disaster Resilience. Ann. Am. Assoc. Geogr. 2016, 106, 1236–1252. [Google Scholar] [CrossRef]
- Zhu, H.; Ji, P.; Chen, Z.; Jiang, Z. Rural Resilience and Its Influencing Factors in Zhejiang Province From the Perspective of Heterogeneity. Econ. Geogr. 2021, 41, 160–166+222. [Google Scholar]
- Payne, P.; Kaye-Blake, W.; Kelsey, A.; Brown, M.; Niles, M. Measuring rural community resilience: Case studies in New Zealand and Vermont, USA. Ecol. Soc. 2021, 26. [Google Scholar] [CrossRef]
- Wilson, G.A.; Schermer, M.; Stotten, R. The resilience and vulnerability of remote mountain communities: The case of Vent, Austrian Alps. Land Use Policy 2018, 71, 372–383. [Google Scholar] [CrossRef]
- Steiner, A.; Atterton, J. Exploring the contribution of rural enterprises to local resilience. J. Rural Stud. 2015, 40, 30–45. [Google Scholar] [CrossRef]
- Harris, C.C.; McLaughlin, W.; Brown, G.; Becker, D. Rural Communities in the Inland Northwest: An Assessment of Small Communities in the Interior and Upper Columbia River Basins; General Technical Report PNW; USDA Forest Service: Washington, DC, USA, 2000; pp. 1–120.
- Farmer, J.; Prior, M.; Taylor, J. A theory of how rural health services contribute to community sustainability. Soc. Sci. Med. 2012, 75, 1903–1911. [Google Scholar] [CrossRef]
- Prior, M.; Farmer, J.; Godden, D.J.; Taylor, J. More than health: The added value of health services in remote Scotland and Australia. Health Place 2010, 16, 1136–1144. [Google Scholar] [CrossRef]
- Buikstra, E.; Ross, H.; King, C.A.; Baker, P.G.; Hegney, D.; McLachlan, K.; Rogers-Clark, C. The components of resilience—Perceptions of an Australian rural community. J. Community Psychol. 2010, 38, 975–991. [Google Scholar] [CrossRef]
- Huang, J.; Liu, Y. Environmental Pollution in Rural China and Its Driving Forces. Chin. J. Manag. 2010, 7, 1725–1729. [Google Scholar]
- Wilson, G.A. Community Resilience and Environmental Transitions; Routledge: New York, NY, USA, 2012; pp. 1–251. [Google Scholar]
- Skjaeveland, O.; Garling, T. Effects of Interactional Space on Neighbouring. J. Environ. Psychol. 1997, 17, 181–198. [Google Scholar] [CrossRef]
- Perkins, D.D.; Long, D.A. Neighborhood Sense of Community and Social Capital. In Psychological Sense of Community: Research, Applications, and Implications; Fisher, A.T., Sonn, C.C., Bishop, B.J., Eds.; Springer: Boston, MA, USA, 2002; pp. 291–318. [Google Scholar]
- Wilson, G.A.; Hu, Z.; Rahman, S. Community resilience in rural China: The case of Hu Village, Sichuan Province. J. Rural Stud. 2018, 60, 130–140. [Google Scholar] [CrossRef]
- Liu, Z.; Liu, S.; Jin, H.; Qi, W. Rural population change in China: Spatial differences, driving forces and policy implications. J. Rural Stud. 2017, 51, 189–197. [Google Scholar] [CrossRef]
- National Bureau of Statistics. Available online: https://data.stats.gov.cn/easyquery.htm?cn=C01 (accessed on 15 November 2022).
- Ye, J. Stayers in China’s “hollowed-out” villages: A counter narrative on massive rural–urban migration. Popul. Space Place 2018, 24, e2128. [Google Scholar] [CrossRef]
- Liu, Y.; Zang, Y.; Yang, Y. China’s rural revitalization and development: Theory, technology and management. J. Geogr. Sci. 2020, 30, 1923–1942. [Google Scholar] [CrossRef]
- Zhang, R.; Yuan, Y.; Li, H.; Hu, X. Improving the framework for analyzing community resilience to understand rural revitalization pathways in China. J. Rural Stud. 2022, 94, 287–294. [Google Scholar] [CrossRef]
- Yang, B.; Feldman, M.W.; Li, S. The status of perceived community resilience in transitional rural society: An empirical study from central China. J. Rural Stud. 2020, 80, 427–438. [Google Scholar] [CrossRef]
- Lu, Y.; Qian, J. Towards a material approach in rural geography: Architectural experiments in China’s rural renaissance and reconstruction movements. Geoforum 2020, 116, 119–129. [Google Scholar] [CrossRef]
- Tian, Y.; Kong, X.; Liu, Y.; Wang, H. Restructuring rural settlements based on an analysis of inter-village social connections: A case in Hubei Province, Central China. Habitat Int. 2016, 57, 121–131. [Google Scholar] [CrossRef]
- Kong, X.; Liu, D.; Tian, Y.; Liu, Y. Multi-objective spatial reconstruction of rural settlements considering intervillage social connections. J. Rural Stud. 2021, 84, 254–264. [Google Scholar] [CrossRef]
- Marans, R.W. Quality of Urban Life Studies: An Overview and Implications for Environment-Behaviour Research. Procedia—Soc. Behav. Sci. 2012, 35, 9–22. [Google Scholar] [CrossRef]
- Guo, Y.; Liu, Y.; Lu, S.; Chan, O.F.; Chui, C.H.K.; Lum, T.Y.S. Objective and perceived built environment, sense of community, and mental wellbeing in older adults in Hong Kong: A multilevel structural equation study. Landsc. Urban Plan. 2021, 209, 104058. [Google Scholar] [CrossRef]
- Lewicka, M. Place attachment: How far have we come in the last 40 years? J. Environ. Psychol. 2011, 31, 207–230. [Google Scholar] [CrossRef]
- Chaskin, R.J. Resilience, Community, and Resilient Communities: Conditioning Contexts and Collective Action. Child Care Pract. 2008, 14, 65–74. [Google Scholar] [CrossRef]
- Wilson, G. Multifunctional ‘Quality’ and Rural Community Resilience. Trans. Inst. Br. Geogr. 2010, 35, 364–381. [Google Scholar] [CrossRef]
- Yang, T.; Chen, H.; Liu, D.; Zhang, H.; Shi, Q. Spatiotemporal change of rural community resilience in loess hilly-gully region and influencing factors:A case study of Gaoqu Township in Mizhi County, Shannxi Province. Prog. Geogr. 2021, 40, 245–256. [Google Scholar] [CrossRef]
- Wood, L.; Shannon, T.; Bulsara, M.; Pikora, T.; McCormack, G.; Giles-Corti, B. The anatomy of the safe and social suburb: An exploratory study of the built environment, social capital and residents’ perceptions of safety. Health Place 2008, 14, 15–31. [Google Scholar] [CrossRef] [PubMed]
- Renalds, A.; Smith, T.H.; Hale, P.J. A Systematic Review of Built Environment and Health. Fam. Community Health 2010, 33, 68–78. [Google Scholar] [CrossRef]
- Zhu, S.; Zhang, S.; Tao, W.; Wu, D.; Xie, X.; Yue, P. Identification and Analysis of the Factors Influencing Farmers’ Choices to Replant Crops in the SLCP Program. China Popul. Resour. Environ. 2005, 15, 112–116. [Google Scholar]
- Gifford, R. Environmental Psychology Matters. Annu. Rev. Psychol. 2014, 65, 541–579. [Google Scholar] [CrossRef]
- Guo, Y.; Zhang, J.; Zhang, Y. Influencing factors and mechanism of community resilience in tourism destinations. Geogr. Res. 2018, 37, 133–144. [Google Scholar]
- Zwiers, S.; Markantoni, M.; Strijker, D. The role of change- and stability-oriented place attachment in rural community resilience: A case study in south-west Scotland. Community Dev. J. 2016, 53, 281–300. [Google Scholar] [CrossRef]
- Bunkus, R.; Soliev, I.; Theesfeld, I. Density of resident farmers and rural inhabitants’ relationship to agriculture: Operationalizing complex social interactions with a structural equation model. Agric. Hum. Values 2020, 37, 47–63. [Google Scholar] [CrossRef]
- Christiaanse, S.; Haartsen, T. The influence of symbolic and emotional meanings of rural facilities on reactions to closure: The case of the village supermarket. J. Rural Stud. 2017, 54, 326–336. [Google Scholar] [CrossRef]
- Peng, J.; Yan, S.; Strijker, D.; Wu, Q.; Chen, W.; Ma, Z. The influence of place identity on perceptions of landscape change: Exploring evidence from rural land consolidation projects in Eastern China. Land Use Policy 2020, 99, 104891. [Google Scholar] [CrossRef]
- Anton, C.E.; Lawrence, C. Home is where the heart is: The effect of place of residence on place attachment and community participation. J. Environ. Psychol. 2014, 40, 451–461. [Google Scholar] [CrossRef]
- Xie, Y.; Hu, J. An Introduction to the China Family Panel Studies (CFPS). Chin. Sociol. Rev. 2014, 47, 3–29. [Google Scholar]
- Zheng, L.; Shepherd, D.; Batuo, M.E. Variations in the determinants of regional development disparities in rural China. J. Rural Stud. 2021, 82, 29–36. [Google Scholar] [CrossRef]
- Gao, J.; Liu, Y.; Chen, J.; Cai, Y. Demystifying the geography of income inequality in rural China: A transitional framework. J. Rural Stud. 2022, 93, 398–407. [Google Scholar] [CrossRef]
- Ao, Y.; Chen, C.; Yang, D.; Wang, Y. Relationship between Rural Built Environment and Household Vehicle Ownership: An Empirical Analysis in Rural Sichuan, China. Sustainability 2018, 10, 1566. [Google Scholar] [CrossRef]
- Mazumdar, S.; Learnihan, V.; Cochrane, T.; Davey, R. The Built Environment and Social Capital: A Systematic Review. Environ. Behav. 2018, 50, 119–158. [Google Scholar] [CrossRef]
- Sun, B.; Yan, H.; Zhang, T. Impact of community built environment on residents’ health: A case study on individual overweight. Acta Geogr. Sin. 2016, 71, 1721–1730. [Google Scholar]
- Seguin, R.A.; Lo, B.K.; Sriram, U.; Connor, L.M.; Totta, A. Development and testing of a community audit tool to assess rural built environments: Inventories for Community Health Assessment in Rural Towns. Prev. Med. Rep. 2017, 7, 169–175. [Google Scholar] [CrossRef] [PubMed]
- Araya, R.; Dunstan, F.; Playle, R.; Thomas, H.; Palmer, S.; Lewis, G. Perceptions of social capital and the built environment and mental health. Soc. Sci. Med. 2006, 62, 3072–3083. [Google Scholar] [CrossRef] [PubMed]
- Shen, Y.; Jia, J. An Empirical Study on Happiness, Income Gap and Social Capital. J. Public Manag. 2016, 13, 100–110+158. [Google Scholar]
- Inglehart, R. Public Support for Environmental Protection: Objective Problems and Subjective Values in 43 Societies. PS Political Sci. Amp Politics 1995, 28, 57–72. [Google Scholar] [CrossRef]
- Dash, G.; Paul, J. CB-SEM vs PLS-SEM methods for research in social sciences and technology forecasting. Technol. Forecast. Soc. Change 2021, 173, 121092. [Google Scholar] [CrossRef]
- Bagozzi, R.P.; Yi, Y. On the Evaluation of Structural Equation Models. J. Acad. Mark. Sci. 1988, 16, 74–94. [Google Scholar] [CrossRef]
- Chin, W.W. Issues and Opinion on Structural Equation Modeling. MIS Q. 1998, 22, vii–xvi. [Google Scholar]
- Lei, P.; Feng, Z. Age-friendly neighbourhoods and depression among older people in China: Evidence from China Family Panel Studies. J. Affect. Disord. 2021, 286, 187–196. [Google Scholar] [CrossRef] [PubMed]
- Kline, R.B. Principles and Practice of Structural Equation Modeling, 4th ed.; Guilford Press: New York, NY, USA, 2016; pp. 1–534. [Google Scholar]


| Variables | Data Source (Datasets) | Data Source (Waves) | 
|---|---|---|
| OBE | community | CFPS 2014 | 
| PBE | adult | CFPS 2016 | 
| PA | adult | CFPS 2016 | 
| P-RCR | community; adult | CFPS 2014 | 
| P-RCR | adult | CFPS 2016 | 
| Regions | Provinces, Municipalities or Autonomous Regions | Sample Size | 
|---|---|---|
| Eastern | Beijing, Tianjin, Hebei, Liaoning, Shanghai, Jiangsu, Zhejiang, Fujian, Shandong, Guangdong, Guangxi | 2719 | 
| Central | Shanxi, Jilin, Heilongjiang, Anhui, Jiangxi, Henan, Hubei, Hunan | 2130 | 
| Western | Chongqing, Sichuan, Guizhou, Yunnan, Shaanxi, Gansu | 2679 | 
| Variables | Indicators | Questions | Source | |
|---|---|---|---|---|
| PBE | Community Environment | How is the surrounding environment of your community (noise, trash disposal, etc.)? (reversed code ranging from 1 = very poor to 5 = very good) | CFPS 2016 Full Questionnaires | |
| Safety | How is the public safety around your community? (reversed code ranging from 1 = very poor to 5 = very good) | |||
| Public Facilities | What do you think of the public facilities around your community? (reversed code ranging from 1 = very poor to 5 = very good) | |||
| P-RCR | Individual-level | Social Dimension | 1. Are you happy? (ranging from 1 = lowest to 10 = highest) 2. How confident are you about your future? (ranging from 1 = not confident at all to 5 = very confident) 3. Are you satisfied with your life? (ranging from 1 = very unsatisfied to 5 = very satisfied) | CFPS 2014 Full Questionnaires; CFPS 2016 Full Questionnaires | 
| Economic Dimension | 1. How satisfied are you with your current income from this job? (ranging from 1 = very unsatisfied to 5 = very satisfied) 2. In general, how satisfied are you with this job? (ranging from 1 = very unsatisfied to 5 = very satisfied) 3. How satisfied are you with the working environment in this job? (ranging from 1 = very unsatisfied to 5 = very satisfied) | |||
| Environmental Dimension | How would you rate the severity of the environmental problem in China? (ranging from 1 = not severe to 10 = extremely severe) | |||
| Community-level | Social Dimension | How much do you trust your neighborhood? (ranging from 1 = distrustful to 10 = very trustworthy) | CFPS 2014 Full Questionnaires | |
| Economic Dimension | The net income per capita in your village (yuan) | |||
| Environmental Dimension | 1.The total area of forest and/or land with fruit trees in your village (mu) 2. What is the current administrative area of your village/residential community? (kilometer2/mu) | |||
| PA | Emotional Attachment | How would you rate your emotional attachment to your community? (ranging from 1 = very good to 5 = very poor) | CFPS 2016 Full Questionnaires | |
| Covariate | Self-reported Socioeconomic Status | 1. What is your relative income level in your local area? (ranging from 1 = lowest to 5 = highest) 2. What is your social status in your local area? (ranging from 1 = lowest to 5 = highest) | CFPS 2014 Full Questionnaires | |
| Eastern Regions | Central Regions | Western Regions | ||||||||||
|---|---|---|---|---|---|---|---|---|---|---|---|---|
| (1) | (2) | (3) | (4) | (5) | (6) | (7) | (8) | (9) | (10) | (11) | (12) | |
| Variables | Median (Mean) | IQR (sd) | Min | Max | Median (Mean) | IQR (sd) | Min | Max | Median (Mean) | IQR (sd) | Min | Max | 
| Population Density * | (5.649) | (1.461) | 2.907 | 9.076 | (5.885) | (1.352) | 2.907 | 9.076 | (5.196) | (1.234) | 2.907 | 8.976 | 
| Accessibility * | (0.728) | (1.426) | −2.676 | 4.605 | (0.855) | (1.353) | −2.676 | 4.605 | (0.239) | (1.263) | −2.676 | 3.519 | 
| Public Facilities | 3 | 1 | 1 | 5 | 3 | 1 | 1 | 5 | 3 | 1 | 1 | 5 | 
| Surrounding Environment | 3 | 1 | 1 | 5 | 3 | 1 | 1 | 5 | 3 | 1 | 1 | 5 | 
| Public Safety | 3 | 1 | 1 | 5 | 3 | 1 | 1 | 5 | 3 | 1 | 1 | 5 | 
| Emotional Attachment | 4 | 1 | 1 | 5 | 4 | 1 | 1 | 5 | 4 | 2 | 1 | 5 | 
| Happiness | (7.534) | (2.269) | 0 | 10 | (7.484) | (2.250) | 0 | 10 | (6.904) | (2.403) | 0 | 10 | 
| Life Satisfaction | (3.782) | (1.051) | 1 | 5 | (3.874) | (1.009) | 1 | 5 | (3.823) | (1.021) | 1 | 5 | 
| Confidence in the Future | (4.053) | (1.046) | 1 | 5 | (4.144) | (1.004) | 1 | 5 | (4.031) | (1.052) | 1 | 5 | 
| Income Satisfaction | 3 | 2 | 1 | 5 | 3 | 1 | 1 | 5 | 3 | 1 | 1 | 5 | 
| Working Environment Satisfaction | 3 | 1 | 1 | 5 | 4 | 1 | 1 | 5 | 3 | 1 | 1 | 5 | 
| Overall Job Satisfaction | 3 | 1 | 1 | 5 | 3 | 1 | 1 | 5 | 3 | 1 | 1 | 5 | 
| Severity of Environmental Problems | (6.541) | (2.845) | 0 | 10 | (6.447) | (2.770) | 0 | 10 | (6.078) | (2.698) | 0 | 10 | 
| Trust in Neighborhood | (6.895) | (2.260) | 0 | 10 | (6.894) | (2.218) | 0 | 10 | (6.455) | (2.258) | 0 | 10 | 
| Net Income Per Capita (CNY) * | (8.517) | (0.798) | 6.685 | 9.903 | (8.181) | (0.647) | 6.685 | 9.903 | (7.976) | (0.691) | 6.685 | 9.107 | 
| Biodiversity * | (6.978) | (5.765) | 0 | 14.57 | (4.453) | (5.531) | 0 | 14.57 | (6.925) | (5.853) | 0 | 14.57 | 
| Pathways and Effects | Dimensions | Model 1 | Model 2 | Model 3 | Model 4 | ||||
|---|---|---|---|---|---|---|---|---|---|
| Point Estimate | Standard Error | Point Estimate | Standard Error | Point Estimate | Standard Error | Point Estimate | Standard Error | ||
| Eastern Regions | |||||||||
| PBE→PA→ Indirect Effects | Soc | 0.058 *** | 0.010 | 0.057 *** | 0.010 | 0.164 *** | 0.029 | 0.163 *** | 0.029 | 
| Eco | 0.031 *** | 0.009 | 0.031 *** | 0.009 | −0.022 ** | 0.009 | −0.022 ** | 0.009 | |
| Env | 0.047 | 0.033 | 0.048 | 0.033 | −0.067 | 0.064 | −0.076 | 0.064 | |
| Direct Effects | Soc | 0.172 | 0.031 | 0.172 | 0.031 | 0.274 | 0.091 | 0.277 | 0.091 | 
| Eco | 0.434 | 0.037 | 0.432 | 0.037 | 0.132 | 0.031 | 0.133 | 0.031 | |
| Env | −0.654 | 0.122 | −0.658 | 0.122 | −0.711 | 0.230 | −0.682 | 0.230 | |
| Total Effects | Soc | 0.230 *** | 0.030 | 0.230 *** | 0.030 | 0.438 ** | 0.085 | 0.440 ** | 0.086 | 
| Eco | 0.465 *** | 0.035 | 0.463 *** | 0.035 | 0.110 *** | 0.029 | 0.111 *** | 0.029 | |
| Env | −0.607 *** | 0.113 | −0.611 *** | 0.113 | −0.778 ** | 0.213 | −0.758 ** | 0.214 | |
| Central Regions | |||||||||
| PBE→PA→ Indirect Effects | Soc | 0.021 ** | 0.008 | 0.021 ** | 0.008 | 0.102 *** | 0.029 | 0.101 *** | 0.029 | 
| Eco | 0.005 | 0.009 | 0.005 | 0.009 | 0.001 | 0.008 | 0.000 | 0.007 | |
| Env | 0.091 ** | 0.034 | 0.091 ** | 0.034 | −0.095 | 0.068 | −0.075 | 0.068 | |
| Direct Effects | Soc | 0.099 | 0.033 | 0.099 | 0.033 | 0.556 | 0.115 | 0.549 | 0.115 | 
| Eco | 0.494 | 0.038 | 0.492 | 0.038 | 0.090 | 0.029 | 0.089 | 0.028 | |
| Env | −0.713 | 0.132 | −0.712 | 0.132 | 0.666 | 0.262 | 0.765 | 0.271 | |
| Total Effects | Soc | 0.121 *** | 0.031 | 0.120 *** | 0.031 | 0.658 *** | 0.111 | 0.651 *** | 0.111 | 
| Eco | 0.499 *** | 0.036 | 0.497 *** | 0.036 | 0.091 ** | 0.027 | 0.089 ** | 0.027 | |
| Env | −0.622 *** | 0.123 | −0.622 *** | 0.123 | 0.571 ** | 0.247 | 0.689 ** | 0.256 | |
| Western Regions | |||||||||
| PBE→PA→ Indirect Effects | Soc | 0.013 | 0.008 | 0.014 | 0.008 | 0.040 | 0.029 | 0.040 | 0.029 | 
| Eco | 0.016 | 0.009 | 0.016 | 0.009 | 0.003 | 0.008 | 0.002 | 0.008 | |
| Env | 0.043 | 0.032 | 0.043 | 0.033 | 0.054 | 0.073 | 0.045 | 0.073 | |
| Direct Effects | Soc | 0.081 | 0.031 | 0.086 | 0.031 | 0.226 | 0.116 | 0.239 | 0.116 | 
| Eco | 0.533 | 0.051 | 0.537 | 0.051 | −0.090 | 0.035 | −0.080 | 0.036 | |
| Env | −0.461 | 0.142 | −0.466 | 0.143 | −0.150 | 0.299 | −0.189 | 0.301 | |
| Total Effects | Soc | 0.094 ** | 0.030 | 0.099 ** | 0.030 | 0.267 * | 0.110 | 0.279 * | 0.110 | 
| Eco | 0.549 *** | 0.048 | 0.553 *** | 0.049 | −0.087 ** | 0.033 | −0.078 * | 0.033 | |
| Env | −0.418 ** | 0.135 | −0.423 ** | 0.135 | −0.097 | 0.281 | −0.144 | 0.283 | |
| Pathways and Effects (Eastern Regions) | Dimensions | Model 1 | Model 2 | Model 3 | Model 4 | ||||
|---|---|---|---|---|---|---|---|---|---|
| Point Estimate | Standard Error | Point Estimate | Standard Error | Point Estimate | Standard Error | Point Estimate | Standard Error | ||
| OBE→PBE→PA→ Indirect Effects | Soc | −0.002 *** | 0.001 | −0.002 *** | 0.001 | −0.005 | 0.002 | −0.005 | 0.002 | 
| Eco | −0.001 | 0.000 | −0.001 | 0.000 | 0.001 | 0.000 | 0.001 | 0.000 | |
| Env | −0.002 | 0.001 | −0.002 | 0.001 | 0.002 | 0.002 | 0.002 | 0.002 | |
| OBE→PBE→ Indirect Effects | Soc | −0.006 *** | 0.002 | −0.006 *** | 0.002 | −0.009 | 0.004 | −0.009 | 0.004 | 
| Eco | −0.015 | 0.004 | −0.014 *** | 0.004 | −0.004 | 0.002 | −0.004 | 0.002 | |
| Env | 0.022 | 0.007 | 0.022 | 0.007 | 0.024 ** | 0.011 | 0.022 ** | 0.010 | |
| OBE→PA→ Indirect Effects | Soc | 0.005 *** | 0.002 | 0.004 ** | 0.002 | 0.014 | 0.005 | 0.011 | 0.004 | 
| Eco | 0.003 | 0.001 | 0.002 ** | 0.001 | −0.002 | 0.001 | −0.001 | 0.001 | |
| Env | 0.004 | 0.003 | 0.003 | 0.003 | −0.006 | 0.006 | −0.005 | 0.005 | |
| Total Indirect Effects | Soc | −0.003 | 0.003 | −0.004 | 0.003 | −0.001 | 0.006 | −0.004 | 0.006 | 
| Eco | −0.013 | 0.005 | −0.013 ** | 0.005 | −0.006 | 0.002 | −0.005 | 0.002 | |
| Env | 0.025 | 0.008 | 0.023 | 0.008 | 0.020 | 0.012 | 0.020 * | 0.012 | |
| Direct Effects | Soc | −0.018 | 0.009 | −0.020 | 0.009 | −0.013 | 0.028 | 0.000 | 0.029 | 
| Eco | −0.003 | 0.010 | −0.014 | 0.010 | 0.019 | 0.012 | 0.027 | 0.012 | |
| Env | 0.027 | 0.036 | 0.012 | 0.036 | −0.314 | 0.076 | −0.225 | 0.078 | |
| Total Effects | Soc | −0.021 * | 0.010 | −0.023 * | 0.010 | −0.014 | 0.028 | −0.004 | 0.029 | 
| Eco | −0.017 | 0.010 | −0.028 ** | 0.010 | 0.013 | 0.012 | 0.022 | 0.012 | |
| Env | 0.051 | 0.035 | 0.035 | 0.036 | −0.294 ** | 0.076 | −0.206 * | 0.077 | |
| Pathways and Effects (Central Regions) | Dimensions | Model 1 | Model 2 | Model 3 | Model 4 | ||||
|---|---|---|---|---|---|---|---|---|---|
| Point Estimate | Standard Error | Point Estimate | Standard Error | Point Estimate | Standard Error | Point Estimate | Standard Error | ||
| OBE→PBE→PA→ Indirect Effects | Soc | 0.000 | 0.000 | −0.001 | 0.000 | −0.002 | 0.001 | −0.003 | 0.001 | 
| Eco | 0.000 | 0.000 | 0.000 | 0.000 | 0.000 | 0.000 | 0.000 | 0.000 | |
| Env | −0.002 | 0.001 | −0.002 | 0.001 | 0.002 | 0.002 | 0.002 | 0.002 | |
| OBE→PBE→ Indirect Effects | Soc | −0.002 | 0.002 | −0.002 | 0.002 | −0.014 | 0.007 | −0.014 | 0.007 | 
| Eco | −0.011 | 0.006 | −0.012 | 0.006 | −0.002 | 0.001 | −0.002 | 0.001 | |
| Env | 0.017 | 0.010 | 0.018 | 0.009 | −0.016 * | 0.011 | −0.019 * | 0.012 | |
| OBE→PA→ Indirect Effects | Soc | −0.001 | 0.001 | −0.001 | 0.001 | −0.005 | 0.004 | −0.006 | 0.004 | 
| Eco | 0.000 | 0.001 | 0.000 | 0.001 | 0.000 | 0.000 | 0.000 | 0.000 | |
| Env | −0.005 | 0.003 | −0.005 | 0.004 | 0.004 | 0.005 | 0.004 | 0.005 | |
| Total Indirect Effects | Soc | −0.004 | 0.002 | −0.004 | 0.002 | −0.021 | 0.009 | −0.022 | 0.009 | 
| Eco | −0.012 | 0.006 | −0.013 * | 0.006 | −0.002 | 0.001 | −0.002 | 0.001 | |
| Env | 0.010 | 0.009 | 0.010 | 0.009 | −0.010 | 0.011 | −0.013 | 0.012 | |
| Direct Effects | Soc | −0.003 | 0.010 | −0.008 | 0.010 | 0.028 | 0.035 | −0.008 | 0.035 | 
| Eco | 0.049 | 0.011 | 0.046 | 0.011 | −0.077 | 0.010 | −0.101 | 0.009 | |
| Env | −0.045 | 0.044 | −0.043 | 0.043 | −0.453 | 0.083 | 0.324 | 0.085 | |
| Total Effects | Soc | −0.007 | 0.010 | −0.013 | 0.010 | 0.007 | 0.035 | −0.030 | 0.035 | 
| Eco | 0.037 ** | 0.012 | 0.033 ** | 0.012 | −0.079 *** | 0.010 | −0.103 *** | 0.009 | |
| Env | −0.035 | 0.044 | −0.033 | 0.043 | −0.463 *** | 0.083 | 0.311 *** | 0.085 | |
| Pathways and Effects (Western Regions) | Dimensions | Model 1 | Model 2 | Model 3 | Model 4 | ||||
|---|---|---|---|---|---|---|---|---|---|
| Point Estimate | Standard Error | Point Estimate | Standard Error | Point Estimate | Standard Error | Point Estimate | Standard Error | ||
| OBE→PBE→PA→ Indirect Effects | Soc | −0.001 | 0.000 | −0.001 | 0.000 | −0.002 | 0.001 | −0.002 | 0.001 | 
| Eco | −0.001 | 0.000 | −0.001 | 0.000 | 0.000 | 0.000 | 0.000 | 0.000 | |
| Env | −0.002 | 0.002 | −0.002 | 0.002 | −0.002 | 0.003 | −0.002 | 0.004 | |
| OBE→PBE→ Indirect Effects | Soc | −0.004 | 0.002 | −0.004 | 0.002 | −0.010 | 0.006 | −0.011 | 0.006 | 
| Eco | −0.024 *** | 0.006 | −0.026 *** | 0.006 | 0.004 ** | 0.002 | 0.004 ** | 0.002 | |
| Env | 0.021 | 0.008 | 0.023 | 0.008 | 0.007 | 0.013 | 0.009 | 0.015 | |
| OBE→PA→ Indirect Effects | Soc | −0.001 | 0.001 | 0.000 | 0.000 | −0.002 | 0.002 | −0.001 | 0.001 | 
| Eco | −0.001 | 0.001 | 0.000 | 0.001 | 0.000 | 0.000 | 0.000 | 0.000 | |
| Env | −0.002 | 0.002 | −0.001 | 0.002 | −0.002 | 0.004 | −0.001 | 0.003 | |
| Total Indirect Effects | Soc | −0.005 | 0.002 | −0.005 | 0.002 | −0.013 | 0.006 | −0.014 | 0.006 | 
| Eco | −0.025 *** | 0.006 | −0.027 *** | 0.006 | 0.004 ** | 0.002 | 0.004 * | 0.002 | |
| Env | 0.017 | 0.008 | 0.019 | 0.008 | 0.002 | 0.013 | 0.006 | 0.014 | |
| Direct Effects | Soc | 0.007 | 0.009 | 0.020 | 0.009 | 0.035 | 0.036 | 0.064 | 0.035 | 
| Eco | −0.010 | 0.012 | 0.000 | 0.011 | 0.087 | 0.011 | 0.105 | 0.010 | |
| Env | −0.019 | 0.043 | −0.035 | 0.042 | 0.562 | 0.092 | 0.343 | 0.089 | |
| Total Effects | Soc | 0.002 | 0.009 | 0.014 | 0.009 | 0.022 | 0.036 | 0.049 | 0.035 | 
| Eco | −0.035 ** | 0.012 | −0.028 ** | 0.011 | 0.090 *** | 0.011 | 0.109 *** | 0.009 | |
| Env | −0.003 | 0.042 | −0.016 | 0.041 | 0.564 *** | 0.090 | 0.349 *** | 0.088 | |
| Disclaimer/Publisher’s Note: The statements, opinions and data contained in all publications are solely those of the individual author(s) and contributor(s) and not of MDPI and/or the editor(s). MDPI and/or the editor(s) disclaim responsibility for any injury to people or property resulting from any ideas, methods, instructions or products referred to in the content. | 
© 2023 by the authors. Licensee MDPI, Basel, Switzerland. This article is an open access article distributed under the terms and conditions of the Creative Commons Attribution (CC BY) license (https://creativecommons.org/licenses/by/4.0/).
Share and Cite
Dong, X.; Xu, Y.; Li, X. The Proactive Effects of Built Environment on Rural Community Resilience: Evidence from China Family Panel Studies. Int. J. Environ. Res. Public Health 2023, 20, 4913. https://doi.org/10.3390/ijerph20064913
Dong X, Xu Y, Li X. The Proactive Effects of Built Environment on Rural Community Resilience: Evidence from China Family Panel Studies. International Journal of Environmental Research and Public Health. 2023; 20(6):4913. https://doi.org/10.3390/ijerph20064913
Chicago/Turabian StyleDong, Xiaowan, Yuhui Xu, and Xiangmei Li. 2023. "The Proactive Effects of Built Environment on Rural Community Resilience: Evidence from China Family Panel Studies" International Journal of Environmental Research and Public Health 20, no. 6: 4913. https://doi.org/10.3390/ijerph20064913
APA StyleDong, X., Xu, Y., & Li, X. (2023). The Proactive Effects of Built Environment on Rural Community Resilience: Evidence from China Family Panel Studies. International Journal of Environmental Research and Public Health, 20(6), 4913. https://doi.org/10.3390/ijerph20064913
 
        
 
                                                

 
       