The Influence of the COVID-19 Pandemic Emergency on Alcohol Use: A Focus on a Cohort of Sicilian Workers
Abstract
1. Introduction
2. Materials and Methods
2.1. Experimental Design
2.2. Assessment of Alcohol Consumption and Degree of Dependence
2.3. Statistical Analysis
3. Results
3.1. Alcohol Consumption in the General Population
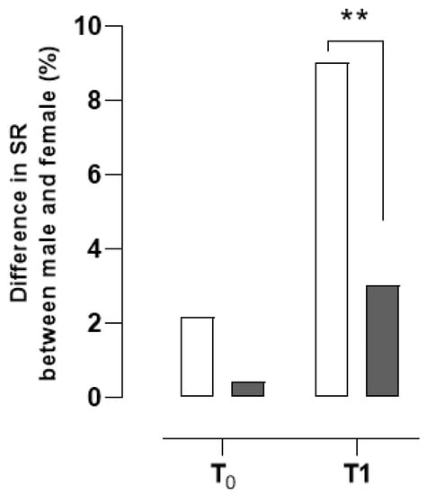
3.2. Differences in Alcohol Consumption between Males and Females
4. Discussion
5. Limitations of the Study
6. Conclusions
Author Contributions
Funding
Institutional Review Board Statement
Informed Consent Statement
Data Availability Statement
Conflicts of Interest
References
- Cucinotta, D.; Vanelli, M. WHO declares COVID-19 a pandemic. Acta Biomed. 2020, 91, 157–160. [Google Scholar] [CrossRef] [PubMed]
- World Health Organisation. WHO Director-General’s Statement Announcing the Pandemic Declaration; ‘International Health Regulations (IHR) Emergency Committee for Pneumonia due to the Novel Coronavirus 2019-nCoV’; statement on the 30 January 2020 Meeting of the Emergency Committee in Which a Public Health Emergency of International Concern Was Declared; Situation Reports, Pages Dedicated to COVID-19 and WHO Advice for International Travel. Available online: https://www.who.int/europe/home?v=welcome (accessed on 26 June 2022).
- Mahase, E. Covid-19: WHO declares pandemic because of “alarming levels” of spread, severity, and inaction. BMJ 2020, 368, m1036. [Google Scholar] [CrossRef]
- Istituto Superiore di Sanità—Epidemiology for Public Health. Available online: https://www.epicentro.iss.it/en/coronavirus/sars-cov-2-internationa-outbreak (accessed on 26 June 2022).
- Coronavirus, Current Legislation. Available online: https://www.governo.it/it/coronavirus-normativa (accessed on 8 July 2022).
- Coronavirus (COVID-19). Available online: https://www.gov.uk/coronavirus (accessed on 8 July 2022).
- Coronavirus. Available online: https://www.gouvernement.fr/search/site/COVID-19 (accessed on 8 July 2022).
- COVID-19 Information. Available online: https://it.usembassy.gov/covid-19-information (accessed on 8 July 2022).
- World Health Organization. Available online: https://www.who.int/emergencies/diseases/novel-coronavirus-2019/advice-for-public (accessed on 10 May 2022).
- Dost, S.; Hossain, A.; Shehab, M.; Abdelwahed, A.; Al-Nusair, L. Perceptions of medical students towards online teaching during the COVID-19 pandemic: A national cross-sectional survey of 2721 UK medical students. BMJ Open 2020, 10, e042378. [Google Scholar] [CrossRef]
- Camargo, C.P.; Tempski, P.Z.; Busnardo, F.F.; de Arruda Martins, M.; Gemperli, R.; Moraes, M.; De Almeida, R.P.; Da Silva, J.E.L.; Madi, M.R.; Carrara, D.; et al. Online learning and COVID-19: A meta-synthesis analysis. Clinics 2020, 75, e2286. [Google Scholar] [CrossRef]
- Reich, J.; Buttimer, C.J.; Fang, A.; Hillaire, G.; Hirsch, K.; Larke, L.R.; Littenberg-Tobias, J.; Moussapour, R.M.; Napier, A.; Thompson, M.; et al. Remote learning guidance from state education agencies during the COVID-19 pandemic: A first look. EdArXiv 2020. [Google Scholar] [CrossRef]
- Cirrincione, L.; Plescia, F.; Ledda, C.; Rapisarda, V.; Martorana, D.; Moldovan, R.E.; Theodoridou, K.; Cannizzaro, E. COVID-19 Pandemic: Prevention and Protection Measures to Be Adopted at the Workplace. Sustainability 2020, 12, 3603. [Google Scholar] [CrossRef]
- Talic, S.; Shah, S.; Wild, H.; Gasevic, D.; Maharaj, A.; Ademi, Z.; Li, X.; Xu, W.; Mesa-Eguiagaray, I.; Rostron, J.; et al. Effectiveness of public health measures in reducing the incidence of covid-19, SARS-CoV-2 transmission, and covid-19 mortality: Systematic review and meta-analysis. BMJ 2021, 375, e068302. [Google Scholar] [CrossRef] [PubMed]
- Cirrincione, L.; Plescia, F.; Ledda, C.; Rapisarda, V.; Martorana, D.; Lacca, G.; Argo, A.; Zerbo, S.; Vitale, E.; Vinnikov, D.; et al. COVID-19 Pandemic: New Prevention and Protection Measures. Sustainability 2022, 14, 4766. [Google Scholar] [CrossRef]
- Pfefferbaum, B.; North, C.S. Mental Health and the Covid-19 Pandemic. N. Engl. J. Med. 2020, 383, 510–512. [Google Scholar] [CrossRef]
- Boyraz, G.; Legros, D.N.; Tigershtrom, A. COVID-19 and traumatic stress: The role of perceived vulnerability, COVID-19-related worries, and social isolation. J. Anxiety Disord. 2020, 76, 102307. [Google Scholar] [CrossRef]
- Javed, B.; Sarwer, A.; Soto, E.B.; Mashwani, Z.-U. Impact of SARS-CoV-2 (Coronavirus) Pandemic on Public Mental Health. Front. Public Health 2020, 8, 292. [Google Scholar] [CrossRef]
- González-Sanguino, C.; Ausín, B.; Castellanos, M.Á.; Saiz, J.; López-Gómez, A.; Ugidos, C.; Muñoz, M. Mental health consequences during the initial stage of the 2020 Coronavirus pandemic (COVID-19) in Spain. Brain Behav. Immun. 2020, 87, 172–176. [Google Scholar] [CrossRef]
- Daly, M.; Sutin, A.R.; Robinson, E. Depression reported by US adults in 2017–2018 and March and April 2020. J. Affect. Disord. 2021, 278, 131–135. [Google Scholar] [CrossRef]
- Hossain, M.; Tasnim, S.; Sultana, A.; Faizah, F.; Mazumder, H.; Zou, L.; McKyer, E.L.J.; Ahmed, H.U.; Ma, P. Epidemiology of mental health problems in COVID-19: A review. F1000Research 2020, 9, 636. [Google Scholar] [CrossRef]
- Lai, J.; Ma, S.; Wang, Y.; Cai, Z.; Hu, J.; Wei, N.; Wu, J.; Du, H.; Chen, T.; Li, R.; et al. Factors associated with mental health outcomes among health care workers exposed to coronavirus disease 2019. JAMA Netw. Open 2020, 3, e203976. [Google Scholar] [CrossRef]
- Taylor, S.; Landry, C.A.; Paluszek, M.M.; Fergus, T.A.; McKay, D.; Asmundson, G.J.G. Development and initial validation of the COVID Stress Scales. J. Anxiety Disord. 2020, 72, 102232. [Google Scholar] [CrossRef] [PubMed]
- Vanitallie, T.B. Stress: A risk factor for serious illness. Metabolism 2002, 51 (Suppl. S1), 40–45. [Google Scholar] [CrossRef]
- McEwen, B.S. Physiology and Neurobiology of Stress and Adaptation: Central Role of the Brain. Physiol. Rev. 2007, 87, 873–904. [Google Scholar] [CrossRef] [PubMed]
- Justice, N.J. The relationship between stress and Alzheimer’s disease. Neurobiol. Stress 2018, 8, 127–133. [Google Scholar] [CrossRef] [PubMed]
- Cannizzaro, E.; Ramaci, T.; Cirrincione, L.; Plescia, F. Work-Related Stress, Physio-Pathological Mechanisms, and the Influence of Environmental Genetic Factors. Int. J. Environ. Res. Public Health 2019, 16, 4031. [Google Scholar] [CrossRef] [PubMed]
- Yang, T.; Qiao, Y.; Xiang, S.; Li, W.; Gan, Y.; Chen, Y. Work stress and the risk of cancer: A meta-analysis of observational studies. Int. J. Cancer 2019, 144, 2390–2400. [Google Scholar] [CrossRef]
- Wirtz, P.H.; von Känel, R. Psychological Stress, Inflammation, and Coronary Heart Disease. Curr. Cardiol. Rep. 2017, 19, 111. [Google Scholar] [CrossRef] [PubMed]
- Sinha, R. How does stress increase risk of drug abuse and relapse? Psychopharmacology 2001, 158, 343–359. [Google Scholar] [CrossRef] [PubMed]
- Sinha, R. Chronic Stress, Drug Use, and Vulnerability to Addiction. Ann. N. Y. Acad. Sci. 2008, 1141, 105–130. [Google Scholar] [CrossRef] [PubMed]
- Brancato, A.; Lavanco, G.; Cavallaro, A.; Plescia, F.; Cannizzaro, C. Acetaldehyde, Motivation and Stress: Behavioral Evidence of an Addictive ménage à trois. Front. Behav. Neurosci. 2017, 11, 23. [Google Scholar] [CrossRef]
- Cannizzaro, E.; Lavanco, G.; Castelli, V.; Cirrincione, L.; Di Majo, D.; Martines, F.; Argo, A.; Plescia, F. Alcohol and Nicotine Use among Adolescents: An Observational Study in a Sicilian Cohort of High School Students. Int. J. Environ. Res. Public Health 2022, 19, 6152. [Google Scholar] [CrossRef]
- Ghani, B.; Memon, K.R.; Han, H.; Ariza-Montes, A.; Arjona-Fuentes, J.M. Work stress, technological changes, and job insecurity in the retail organization context. Front. Psychol. 2022, 13, 918065. [Google Scholar] [CrossRef]
- Collie, R.J.; Perry, N.E.; Martin, A.J. School Context and Educational System Factors Impacting Educator Stress. In Educator Stress. Aligning Perspectives on Health, Safety and Well-Being; McIntyre, T., McIntyre, S., Francis, D., Eds.; Springer: Cham, Switzerland, 2017. [Google Scholar] [CrossRef]
- Pascoe, M.C.; Hetrick, S.E.; Parker, A.G. The impact of stress on students in secondary school and higher education. Int. J. Adolesc. Youth 2019, 25, 104–112. [Google Scholar] [CrossRef]
- Giorgi, G.; Lecca, L.I.; Leon-Perez, J.M.; Pignata, S.; Topa, G.; Mucci, N. Emerging Issues in Occupational Disease: Mental Health in the Aging Working Population and Cognitive Impairment-A Narrative Review. BioMed Res. Int. 2020, 2020, 1742123. [Google Scholar] [CrossRef]
- Vindegaard, N.; Benros, M.E. COVID-19 pandemic and mental health consequences: Systematic review of the current evidence. Brain Behav. Immun. 2020, 89, 531–542. [Google Scholar] [CrossRef]
- Fernandes, I.; Pérez-Gregorio, R.; Soares, S.; Mateus, N.; De Freitas, V.; Fernandes, I.; Pérez-Gregorio, R.; Soares, S.; Mateus, N.; De Freitas, V. Wine Flavonoids in Health and Disease Prevention. Molecules 2017, 22, 292. [Google Scholar] [CrossRef] [PubMed]
- Thibodeau, M.; Pickering, G.J. The role of taste in alcohol preference, consumption and risk behavior. Crit. Rev. Food Sci. Nutr. 2019, 59, 676–692. [Google Scholar] [CrossRef]
- Wu, P.; Liu, X.; Fang, Y.; Fan, B.; Fuller, C.J.; Guan, Z.; Yao, Z.; Kong, J.; Lu, J.; Litvak, I.J. Alcohol abuse/dependence symptoms among hospital employees exposed to a SARS outbreak. Alcohol Alcohol. 2008, 43, 706–712. [Google Scholar] [CrossRef]
- Boscarino, J.A.; Kirchner, H.L.; Hoffman, S.N.; Sartorius, J.; Adams, R.E. PTSD and alcohol use after the World Trade Center attacks: A longitudinal study. J. Trauma Stress 2011, 24, 515–525. [Google Scholar] [CrossRef] [PubMed]
- Sohi, I.; Chrystoja, B.R.; Rehm, J.; Wells, S.; Monteiro, M.; Ali, S.; Shield, K.D. Changes in alcohol use during the COVID-19 pandemic and previous pandemics: A systematic review. Alcohol. Clin. Exp. Res. 2022, 46, 498–513. [Google Scholar] [CrossRef] [PubMed]
- Åberg, F.; Byrne, C.D.; Pirola, C.J.; Männistö, V.; Sookoian, S. Alcohol consumption and metabolic syndrome: Clinical and epidemiological impact on liver disease. J. Hepatol. 2023, 78, 191–206. [Google Scholar] [CrossRef]
- Park, S.H. Smoking-Related Differential Influence of Alcohol Consumption on the Metabolic Syndrome. Subst. Use Misuse 2019, 54, 2351–2358. [Google Scholar] [CrossRef] [PubMed]
- Cancer and Alcohol: Limit Alcohol Intake to Reduce the Risk | AICR. Available online: https://www.aicr.org/cancer-prevention/recommendations/limit-alcohol-consumption/ (accessed on 14 February 2023).
- Von Elm, E.; Altman, D.G.; Egger, M.; Pocock, S.J.; Gøtzsche, P.C.; Vandenbroucke, J.P.; STROBE Initiative. The Strengthening the Reporting of Observational Studies in Epidemiology (STROBE) statement: Guidelines for reporting observational studies. Lancet 2007, 370, 1453–1457. [Google Scholar] [CrossRef] [PubMed]
- Van Gils, Y.; Franck, E.; Dierckx, E.; van Alphen, S.P.J.; Saunders, J.B.; Dom, G. Validation of the AUDIT and AUDIT-C for Hazardous Drinking in Community-Dwelling Older Adults. Int. J. Environ. Res. Public Health 2021, 18, 9266. [Google Scholar] [CrossRef] [PubMed]
- Au, D.H.; Kivlahan, D.R.; Bryson, C.L.; Blough, D.; Bradley, K.A. Alcohol Screening Scores and Risk of Hospitalizations for GI Conditions in Men. Alcohol. Clin. Exp. Res. 2007, 31, 443–451. [Google Scholar] [CrossRef]
- Kinder, L.S.; Bryson, C.L.; Sun, H.; Williams, E.C.; Bradley, K.A. Alcohol Screening Scores and All-Cause Mortality in Male Veterans Affairs Patients. J. Stud. Alcohol Drugs 2009, 70, 253–260. [Google Scholar] [CrossRef] [PubMed]
- Thomas, R.M.; Francis Gerstel, P.A.; Williams, E.C.; Sun, H.; Bryson, C.L.; Au, D.H.; Bradley, K.A. Association between alcohol screening scores and diabetic self-care behaviours. Fam. Med. 2012, 44, 555–563. [Google Scholar] [PubMed]
- Rubinsky, A.D.; Sun, H.; Blough, D.K.; Maynard, C.; Bryson, C.L.; Harris, A.H.; Hawkins, E.J.; Beste, L.A.; Henderson, W.G.; Hawn, M.T.; et al. AUDIT-C Alcohol Screening Results and Postoperative Inpatient Health Care Use. J. Am. Coll. Surg. 2012, 214, 296–305.e1. [Google Scholar] [CrossRef]
- Kim, H.H.-S.; Jung, J.H. Social Isolation and Psychological Distress During the COVID-19 Pandemic: A Cross-National Analysis. Gerontologist 2020, 61, 103–113. [Google Scholar] [CrossRef] [PubMed]
- Hauben, M.; Hung, E. Effects of the COVID-19 Pandemic on Spontaneous Reporting: Global and National Time-Series Analyses. Clin. Ther. 2021, 43, 360–368.e5. [Google Scholar] [CrossRef] [PubMed]
- Rehm, J.; Kilian, C.; Ferreira-Borges, C.; Jernigan, D.; Monteiro, M.; Parry, C.D.H.; Sanchez, Z.M.; Manthey, J. Alcohol use in times of the COVID 19: Implications for monitoring and policy. Drug Alcohol Rev. 2020, 39, 301–304. [Google Scholar] [CrossRef]
- World Health Organisation. Available online: https://www.who.int/news-room/fact-sheets/detail/alcohol (accessed on 22 February 2023).
- Schieman, S.; Badawy, P.J.A.; Milkie, M.; Bierman, A. Work-life conflict during the COVID-19 pandemic. Socius 2021, 7, 237802312098285. [Google Scholar] [CrossRef]
- Zappalà, S.; Toscano, F.; Polevaya, M.V.; Kamneva, E.V. Personal Initiative, Passive-Avoidant Leadership and Support for Innovation as Antecedents of Nurses’ Idea Generation and Idea Implementation. J. Nurs. Sch. 2020, 53, 96–105. [Google Scholar] [CrossRef] [PubMed]
- Xiao, Y.; Becerik-Gerber, B.; Lucas, G.; Roll, S.C. Impacts of Working from Home during COVID-19 Pandemic on Physical and Mental Well-Being of Office Workstation Users. J. Occup. Environ. Med. 2021, 63, 181–190. [Google Scholar] [CrossRef]
- Holt-Lunstad, J.; Smith, T.B.; Layton, J.B. Social Relationships and Mortality Risk: A Meta-analytic Review. PLoS Med. 2010, 7, e1000316. [Google Scholar] [CrossRef]
- Holt-Lunstad, J.; Smith, T.B.; Baker, M.; Harris, T.; Stephenson, D. Loneliness and Social Isolation as Risk Factors for Mortality: A Meta-Analytic Review. Perspect. Psychol. Sci. 2015, 10, 227–237. [Google Scholar] [CrossRef] [PubMed]
- Valtorta, N.K.; Kanaan, M.; Gilbody, S.; Ronzi, S.; Hanratty, B. Loneliness and social isolation as risk factors for coronary heart disease and stroke: Systematic review and meta-analysis of longitudinal observational studies. Heart 2016, 102, 1009–1016. [Google Scholar] [CrossRef]
- Brooks, S.K.; Webster, R.K.; Smith, L.E.; Woodland, L.; Wessely, S.; Greenberg, N.; Rubin, G.J. The psychological impact of quarantine and how to reduce it: Rapid review of the evidence. Lancet 2020, 395, 912–920. [Google Scholar] [CrossRef] [PubMed]
- World Health Organization Considerations for Quarantine of Individuals in the Context of Containment for Coronavirus Disease (COVID-19). 2020. Available online: https://apps.who.int/iris/bitstream/handle/10665/331497/WHO-2019-nCoV-IHR_Quarantine-2020.2-eng.pdf (accessed on 15 December 2022).
- Ruggieri, S.; Ingoglia, S.; Bonfanti, R.C.; Coco, G.L. The role of online social comparison as a protective factor for psychological wellbeing: A longitudinal study during the COVID-19 quarantine. Pers. Individ. Differ. 2020, 171, 110486. [Google Scholar] [CrossRef] [PubMed]
- Galanti, T.; Guidetti, G.; Mazzei, E.; Zappalà, S.; Toscano, F. Work From Home During the COVID-19 Outbreak: The Impact on Employees’ Remote Work Productivity, Engagement, and Stress. J. Occup. Environ. Med. 2021, 63, e426–e432. [Google Scholar] [CrossRef]
- Ingram, C.; Downey, V.; Roe, M.; Chen, Y.; Archibald, M.; Kallas, K.-A.; Kumar, J.; Naughton, P.; Uteh, C.; Rojas-Chaves, A.; et al. COVID-19 Prevention and Control Measures in Workplace Settings: A Rapid Review and Meta-Analysis. Int. J. Environ. Res. Public Health 2021, 18, 7847. [Google Scholar] [CrossRef] [PubMed]
- World Health Organization. Advice—Protect Yourself and Others. 2022. Available online: https://www.who.int/westernpacific/emergencies/COVID-19 (accessed on 15 December 2022).
- Sutera, F.M.; De Caro, V.; Cannizzaro, C.; Giannola, L.I.; Lavanco, G.; Plescia, F. Effects of DA-Phen, a dopamine-aminoacidic conjugate, on alcohol intake and forced abstinence. Behav. Brain Res. 2016, 310, 109–118. [Google Scholar] [CrossRef] [PubMed]
- Virtanen, M.; Jokela, M.; Nyberg, S.T.; Madsen, I.E.H.; Lallukka, T.; Ahola, K.; Alfredsson, L.; Batty, G.; Bjorner, J.B.; Borritz, M.; et al. Long working hours and alcohol use: Systematic review and meta-analysis of published studies and unpublished individual participant data. BMJ 2015, 350, g7772. [Google Scholar] [CrossRef] [PubMed]
- Vasse, R.M.; Nijhuis, F.J.N.; Kok, G. Associations between work stress, alcohol consumption and sickness absence. Addiction 1998, 93, 231–241. [Google Scholar] [CrossRef]
- José, B.S.; van Oers, H.; Van De Mheen, H.D.; Garretsen, H.F.L.; MacKenbach, J.P. Stressors and Alcohol Consumption. Alcohol Alcohol. 2000, 35, 307–312. [Google Scholar] [CrossRef] [PubMed]
- Plescia, F.; Cirrincione, L.; Martorana, D.; Ledda, C.; Rapisarda, V.; Castelli, V.; Martines, F.; Vinnikov, D.; Cannizzaro, E. Alcohol Abuse and Insomnia Disorder: Focus on a Group of Night and Day Workers. Int. J. Environ. Res. Public Health 2021, 18, 13196. [Google Scholar] [CrossRef] [PubMed]
- Stephens, M.A.; Wand, G. Stress and the HPA axis: Role of glucocorticoids in alcohol dependence. Alcohol Res. 2012, 34, 468–483. [Google Scholar] [PubMed]
- Rose, A.K.; Shaw, S.G.; A Prendergast, M.; Little, H.J. The Importance of Glucocorticoids in AlcoholDependence and Neurotoxicity. Alcohol. Clin. Exp. Res. 2010, 34, 2011–2018. [Google Scholar] [CrossRef] [PubMed]
- Uhart, M.; Oswald, L.; E McCaul, M.; Chong, R.; Wand, G.S. Hormonal Responses to Psychological Stress and Family History of Alcoholism. Neuropsychopharmacology 2006, 31, 2255–2263. [Google Scholar] [CrossRef]
- Zimmermann, U.; Spring, K.; Kunz-Ebrecht, S.R.; Uhr, M.; Wittchen, H.-U.; Holsboer, F. Effect of Ethanol on Hypothalamic–Pituitary–Adrenal System Response to Psychosocial Stress in Sons of Alcohol-Dependent Fathers. Neuropsychopharmacology 2004, 29, 1156–1165. [Google Scholar] [CrossRef]
- Brady, K.T.; Sonne, S.C. The role of stress in alcohol use, alcoholism treatment, and relapse. Alcohol Res. Health 1999, 23, 263–271. [Google Scholar]
- Sayette, M.A. Does drinking reduce stress? Alcohol Res. Health 1999, 23, 250–255. [Google Scholar]
- Richardson, K.M.; Rothstein, H.R. Effects of occupational stress management intervention programs: A meta-analysis. J. Occup. Health Psychol. 2008, 13, 69–93. [Google Scholar] [CrossRef]
- Cannizzaro, C.; La Barbera, M.; Plescia, F.; Cacace, S.; Tringali, G. Ethanol Modulates Corticotropin Releasing Hormone Release From the Rat Hypothalamus: Does Acetaldehyde Play a Role? Alcohol. Clin. Exp. Res. 2010, 34, 588–593. [Google Scholar] [CrossRef]
- Miczek, K.A.; Yap, J.J.; Covington, H.E., 3rd. Social stress, therapeutics and drug abuse: Preclinical models of escalated and depressed intake. Pharmacol Ther. 2008, 120, 102–128. [Google Scholar] [CrossRef]
- Castelli, V.; Brancato, A.; Cavallaro, A.; Lavanco, G.; Cannizzaro, C. Homer2 and Alcohol: A Mutual Interaction. Front. Psychiatry 2017, 8, 268. [Google Scholar] [CrossRef] [PubMed]
- Brancato, A.; Castelli, V.; Lavanco, G.; Tringali, G.; Micale, V.; Kuchar, M.; D’Amico, C.; Pizzolanti, G.; Feo, S.; Cannizzaro, C. Binge-like Alcohol Exposure in Adolescence: Behavioural, Neuroendocrine and Molecular Evidence of Abnormal Neuroplasticity... and Return. Biomedicines 2021, 9, 1161. [Google Scholar] [CrossRef] [PubMed]



| Sample | ||||
|---|---|---|---|---|
| T0 | n° | % | AUDIT-C Score Index Mean | 95% CI |
| 640 | 100 | 2.199 | 2.199–2.520 | |
| Abstainers | 173 | 27.03 | ||
| Drinkers | 467 | 72.97 | 3.229 | 3.072–3.386 |
| Low Risk | 298 | 63.81 | 2.168 | 2.069–2.258 |
| Moderate Risk | 114 | 24.41 | 4.386 | 4.295–4.477 |
| High Risk | 49 | 10.49 | 6.592 | 6.449–6.734 |
| Severe Risk | 6 | 1.28 | 8.167 | 7.738–8.595 |
| T1 | n° | % | AUDIT-C Score Index Mean | 95% CI |
| 640 | 100 | 3.152 | 2.966–3.337 | |
| Abstainers | 121 | 18.91 | ||
| Drinkers | 519 | 81.09 | 3.925 | 3.746–4.104 |
| Low Risk | 245 | 47.21 | 2.139 | 2.032–2.245 |
| Moderate Risk | 144 | 27.75 | 4.340 | 4.241–4.392 |
| High Risk | 99 | 19.08 | 6.384 | 6.286–6.481 |
| Severe Risk | 31 | 5.97 | 8.258 | 8.090–8.407 |
| Male | ||||
|---|---|---|---|---|
| T0 | n° | % | AUDIT-C Score Index Mean | 95% CI |
| 321 | 100 | 2.330 | 2.098–2.563 | |
| Abstainers | 93 | 28.97 | ||
| Drinkers | 228 | 71.03 | 3.281 | 3.047–3.514 |
| Low Risk | 148 | 64.91 | 2.209 | 2.076–2.342 |
| Moderate Risk | 52 | 22.81 | 4.365 | 4.230–4.501 |
| High Risk | 23 | 10.09 | 6.696 | 6.492–6.899 |
| Severe Risk | 5 | 2.19 | 8.00 | 8.000–8.000 |
| T1 | n° | % | AUDIT-C Score Index Mean | 95% CI |
| 321 | 100 | 2.835 | 2.565–3.105 | |
| Abstainers | 66 | 20.56 | ||
| Drinkers | 255 | 79.44 | 4.141 | 3.873–4.409 |
| Low Risk | 112 | 43.92 | 2.170 | 2.011–2.328 |
| Moderate Risk | 69 | 27.06 | 4.304 | 4.193–4.416 |
| High Risk | 51 | 20.00 | 6.392 | 6.253–6.531 |
| Severe Risk | 23 | 9.02 | 8.286 | 8.067–8.455 |
| Female | ||||
| T0 | n° | % | AUDIT-C Score Index Mean | 95% CI |
| 319 | 100 | 2.389 | 2.167–2.610 | |
| Abstainers | 80 | 25.08 | ||
| Drinkers | 239 | 74.92 | 3.181 | 2.965–3.190 |
| Low Risk | 150 | 62.76 | 2.127 | 1.991–2.262 |
| Moderate Risk | 62 | 25.94 | 4.403 | 4.256–4.501 |
| High Risk | 26 | 10.88 | 6.500 | 6.294–6.706 |
| Severe Risk | 1 | 0.42 | 9 | - |
| T1 | n° | % | AUDIT-C Score Index Mean | 95% CI |
| 319 | 100 | 3.034 | 2.788–3.281 | |
| Abstainers | 55 | 17.24 | ||
| Drinkers | 264 | 82.76 | 3.716 | 3.479–3.953 |
| Low Risk | 133 | 50.38 | 2.113 | 1.967–2.259 |
| Moderate Risk | 75 | 28.41 | 4.373 | 4.261–4.485 |
| High Risk | 48 | 18.18 | 6.375 | 6.233–6.517 |
| Severe Risk | 8 | 3.03 | 8.250 | 7.863–8.637 |
Disclaimer/Publisher’s Note: The statements, opinions and data contained in all publications are solely those of the individual author(s) and contributor(s) and not of MDPI and/or the editor(s). MDPI and/or the editor(s) disclaim responsibility for any injury to people or property resulting from any ideas, methods, instructions or products referred to in the content. |
© 2023 by the authors. Licensee MDPI, Basel, Switzerland. This article is an open access article distributed under the terms and conditions of the Creative Commons Attribution (CC BY) license (https://creativecommons.org/licenses/by/4.0/).
Share and Cite
Cannizzaro, E.; Cirrincione, L.; Malta, G.; Fruscione, S.; Mucci, N.; Martines, F.; Plescia, F. The Influence of the COVID-19 Pandemic Emergency on Alcohol Use: A Focus on a Cohort of Sicilian Workers. Int. J. Environ. Res. Public Health 2023, 20, 4613. https://doi.org/10.3390/ijerph20054613
Cannizzaro E, Cirrincione L, Malta G, Fruscione S, Mucci N, Martines F, Plescia F. The Influence of the COVID-19 Pandemic Emergency on Alcohol Use: A Focus on a Cohort of Sicilian Workers. International Journal of Environmental Research and Public Health. 2023; 20(5):4613. https://doi.org/10.3390/ijerph20054613
Chicago/Turabian StyleCannizzaro, Emanuele, Luigi Cirrincione, Ginevra Malta, Santo Fruscione, Nicola Mucci, Francesco Martines, and Fulvio Plescia. 2023. "The Influence of the COVID-19 Pandemic Emergency on Alcohol Use: A Focus on a Cohort of Sicilian Workers" International Journal of Environmental Research and Public Health 20, no. 5: 4613. https://doi.org/10.3390/ijerph20054613
APA StyleCannizzaro, E., Cirrincione, L., Malta, G., Fruscione, S., Mucci, N., Martines, F., & Plescia, F. (2023). The Influence of the COVID-19 Pandemic Emergency on Alcohol Use: A Focus on a Cohort of Sicilian Workers. International Journal of Environmental Research and Public Health, 20(5), 4613. https://doi.org/10.3390/ijerph20054613

