Application of Parameter Optimization Methods Based on Kalman Formula to the Soil—Crop System Model
Abstract
1. Introduction
2. Materials and Methods
2.1. Introduction of Data Assimilation Methods
2.1.1. Basic Theory of Iterative Local Updating Ensemble Smoother
2.1.2. Theory of the DREAMkzs Algorithm
2.2. Introduction of Forward Model Information
2.2.1. WHCNS Model
2.2.2. Description of Field Experiment Conditions
3. Results
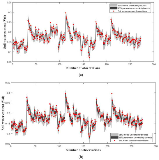
3.1. Comparison of ILUES and ESMDA
3.1.1. Synthetic Case
3.1.2. Practical Case
3.2. Comparison of DREAMkzs and DREAMzs
3.2.1. Model Performance Evaluation
3.2.2. Comparison of Simulation Statistics
4. Discussion
5. Conclusions
Author Contributions
Funding
Institutional Review Board Statement
Informed Consent Statement
Data Availability Statement
Acknowledgments
Conflicts of Interest
References
- Lu, J.S.; Hu, T.T.; Zhang, B.C.; Wang, L.; Yang, S.H.; Fan, J.L.; Yan, S.C.; Zhang, F.C. Nitrogen fertilizer management effects on soil nitrate leaching, grain yield and economic benefit of summer maize in Northwest China. Agric. Water Manag. 2021, 247, 106739. [Google Scholar] [CrossRef]
- Chen, S.M.; Wang, F.H.; Zhang, Y.M.; Qin, S.P.; Wei, S.C.; Wang, S.Q.; Hu, C.S.; Liu, B.B. Organic carbon availability limiting microbial denitrification in the deep vadose zone. Environ. Microbiol. 2018, 20, 980–992. [Google Scholar] [CrossRef]
- Xiao, G.M.; Zhao, Z.C.; Liang, L.; Meng, F.Q.; Wu, W.L.; Guo, Y.B. Improving nitrogen and water use efficiency in a wheat-maize rotation system in the North China Plain using optimized farming practices. Agric. Water Manag. 2019, 212, 172–180. [Google Scholar] [CrossRef]
- Karandish, F.; Šimůnek, J. A comparison of the HYDRUS (2D/3D) and SALTMED models to investigate the influence of various water-saving irrigation strategies on the maize water footprint. Agric. Water Manag. 2019, 213, 809–820. [Google Scholar] [CrossRef]
- Wang, X.P.; Huang, G.H. Evaluation on the irrigation and fertilization management practices under the application of treated sewage water in Beijing, China. Agric. Water Manag. 2008, 95, 1011–1027. [Google Scholar] [CrossRef]
- Hu, K.L.; Li, Y.; Chen, W.P.; Chen, D.L.; Wei, Y.P.; Edis, R.; Li, B.G.; Huang, Y.F.; Zhang, Y.P. Modeling Nitrate Leaching and Optimizing Water and Nitrogen Management under Irrigated Maize in Desert Oases in Northwestern China. J. Environ. Qual. 2010, 39, 667–677. [Google Scholar] [CrossRef]
- Chen, Y.; Marek, G.W.; Marek, T.H.; Porter, D.O.; Brauer, D.K.; Srinivasan, R. Simulating the effects of agricultural production practices on water conservation and crop yields using an improved SWAT model in the Texas High Plains, USA. Agric. Water Manag. 2021, 244, 106574. [Google Scholar] [CrossRef]
- Jin, L.; Hu, K.L.; Johannes Deelstra, J.; Li, B.G.; Wei, D.; Wang, H.Y. Evaluation of nitrogen fate, water and nitrogen use efficiencies of winter wheat in North China Plain based on model approach. Acta Agric. Scand. Sect. B Soil Plant Sci. 2014, 63 (Suppl. 2), 127–138. [Google Scholar] [CrossRef]
- Ale, S.; Gowda, P.H.; Mulla, D.J.; Moriasi, D.N.; Youssef, M.A. Comparison of the performances of DRAINMOD-NII and ADAPT models in simulating nitrate losses from subsurface drainage systems. Agric. Water Manag. 2013, 129, 21–30. [Google Scholar] [CrossRef]
- Du, X.; Feng, H.; Helmers, M.J.; Qi, Z.M. Comparing Simulated Nitrate-Nitrogen Concentration In Subsurface Drainage Using Drainmod-N II and RZWQM2. Irrig. Drain. 2017, 66, 238–251. [Google Scholar] [CrossRef]
- Liang, H.; Qi, Z.M.; Hu, K.L.; Li, B.B.; Prasher, S.O. Modelling subsurface drainage and nitrogen losses from artificially drained cropland using coupled DRAINMOD and WHCNS models. Agric. Water Manag. 2018, 195, 201–210. [Google Scholar] [CrossRef]
- Singh, S.; Bhattarai, R.; Negm, L.M.; Mohamed, A.; Youssef, M.A.; Cameron, M.; Pittelkow, C.M. Evaluation of nitrogen loss reduction strategies using DRAINMOD-DSSAT in east-central Illinois. Agric. Water Manag. 2020, 240, 106322. [Google Scholar] [CrossRef]
- Michalczyk, A.; Kersebaum, K.C.; Roelcke, M.; Hartmann, T.; Yue, S.C.; Chen, X.P.; Zhang, F.S. Model-based optimisation of nitrogen and water management for wheat–maize systems in the North China Plain. Nutr. Cycl. Agroecosyst. 2014, 98, 203–222. [Google Scholar] [CrossRef]
- Wang, J.; Huang, G.H.; Zhan, H.B.; Mohanty, B.P.; Zheng, J.H.; Huang, Q.Z.; Xu, X. Evaluation of soil water dynamics and crop yield under furrow irrigation with a two-dimensional flow and crop growth coupled model. Agric. Water Manag. 2014, 141, 10–22. [Google Scholar] [CrossRef]
- Qin, X.B.; Wang, H.; He, Y.; Li, Y.E.; Li, Z.G.; Gao, Q.Z.; Wan, Y.F.; Qian, B.D.; Brian McConkey, B.; DePauw, R.; et al. Simulated adaptation strategies for spring wheat to climate change in a northern high latitude environment by DAYCENT model. Eur. J. Agron. 2018, 95, 45–56. [Google Scholar] [CrossRef]
- Li, Z.T.; Wen, X.M.; Hu, C.S.; Li, X.X.; Li, S.S.; Zhang, X.S.; Hu, B.Q. Regional simulation of nitrate leaching potential from winter wheat-summer maize rotation croplands on the North China Plain using the NLEAP-GIS model. Agric. Ecosyst. Environ. 2020, 294, 106861. [Google Scholar] [CrossRef]
- Jiang, R.; Yang, J.Y.; Drury, C.F.; He, W.T.; Smith, W.; Grant, B.; He, P.; Zhou, W. Assessing the impacts of diversified crop rotation systems on yields and nitrous oxide emissions in Canada using the DNDC model. Sci. Total Environ. 2020, 759, 143433. [Google Scholar] [CrossRef]
- Liang, H.; Lv, H.F.; Batchelor, W.D.; Lian, X.J.; Wang, Z.X.; Lin, S.; Hu, K.L. Simulating nitrate and DON leaching to optimize water and N management practices for greenhouse vegetable production systems. Agric. Water Manag. 2020, 241, 106377. [Google Scholar] [CrossRef]
- Luo, Y.Q.; Edward, A.G.; Schuur, E.A.G. Model parameterization to represent processes at unresolved scales and changing properties of evolving systems. Glob. Chang. Biol. 2020, 26, 1109–1117. [Google Scholar] [CrossRef]
- Peruta, R.D.; Keller, A.; Schulin, R. Sensitivity analysis, calibration and validation of EPIC for modelling soil phosphorus dynamics in Swiss agro-ecosystems. Environ. Modell. Softw. 2014, 62, 97–111. [Google Scholar] [CrossRef]
- Xi, M.L.; Qi, Z.M.; Zou, Y.; Raghavan, G.S.V.; Sun, J. Calibrating RZWQM2 model using quantum-behaved particle swarm optimization algorithm. Comput. Electron. Agric. 2015, 113, 72–80. [Google Scholar] [CrossRef]
- Confalonieri, R.; Bregaglio, S.; Acutis, M. Quantifying uncertainty in crop model predictions due to the uncertainty in the observations used for calibration. Ecol. Model. 2016, 328, 72–77. [Google Scholar] [CrossRef]
- Falconnier, G.N.; Journet, E.P.; Bedoussac, L.; Vermue, A.; Chlébowski, F.; Beaudoin, N.; Justes, E. Calibration and evaluation of the STICS soil-crop model for faba bean to explain variability in yield and N2 fixation. Eur. J. Agron. 2019, 104, 63–77. [Google Scholar] [CrossRef]
- Chen, Y.; Tao, F.L. Improving the practicability of remote sensing data-assimilation-based crop yield estimations over a large area using a spatial assimilation algorithm and ensemble assimilation strategies. Agric. For. Meteorol. 2020, 291, 108082. [Google Scholar] [CrossRef]
- Xi, M.L.; Lu, D.; Cui, D.W.; Qi, Z.M.; Zhang, G.N. Calibration of an agricultural-hydrological model (RZWQM2) using surrogate global optimization. J. Hydrol. 2017, 544, 456–466. [Google Scholar] [CrossRef]
- Gurung, R.B.; Ogle, S.M.; Breidt, F.J.; Williams, S.A.; Parton, W.J. Bayesian calibration of the DayCent ecosystem model to simulate soil organic carbon dynamics and reduce model uncertainty. Geoderma 2020, 376, 114529. [Google Scholar] [CrossRef]
- Sun, M.; Zhang, X.L.; Huo, Z.L.; Feng, S.Y.; Huang, G.H.; Mao, X.M. Uncertainty and sensitivity assessments of an agricultural–hydrological model (RZWQM2) using the GLUE method. J. Hydrol. 2016, 534, 19–30. [Google Scholar] [CrossRef]
- Sexton, J.; Everingham, Y.; Inman-Bamber, G. A theoretical and real world evaluation of two Bayesian techniques for the calibration of variety parameters in a sugarcane crop model. Environ. Modell. Softw. 2016, 83, 126–142. [Google Scholar] [CrossRef]
- Gao, Y.J.; Wallach, D.; Liu, B.; Dingkuhn, M.; Boote, K.J.; Singh, U.; Asseng, S.; Kahveci, T.; He, J.Q.; Zhang, R.Y.; et al. Comparison of three calibration methods for modeling rice phenology. Agric. For. Meteorol. 2020, 280, 107785. [Google Scholar] [CrossRef]
- Dumont, B.; Leemans, V.; Mansouri, M.; Bodson, B.; Destain, J.P.; Destain, M.F. Parameter identification of the STICS crop model, using an accelerated formal MCMC approach. Environ. Modell. Softw. 2014, 52, 121–135. [Google Scholar] [CrossRef]
- Zhang, Y.; Arabi, M.; Paustian, K. Analysis of parameter uncertainty in model simulations of irrigated and rainfed agroecosystems. Environ. Modell. Softw. 2020, 126, 104642. [Google Scholar] [CrossRef]
- Ines, A.V.M.; Das, N.N.; Hansen, J.W.; Njoku, E.G. Assimilation of remotely sensed soil moisture and vegetation with a crop simulation model for maize yield prediction. Remote Sens. Environ. 2013, 138, 149–164. [Google Scholar] [CrossRef]
- Fossum, K.; Mannseth, T. Parameter sampling capabilities of sequential and simultaneous data assimilation: I. Analytical comparison. Inverse Probl. 2014, 30, 114002. [Google Scholar] [CrossRef]
- Ju, L.; Zhang, J.J.; Meng, L.; Wu, L.S.; Zeng, L.Z. An adaptive Gaussian process-based iterative ensemble smoother for data assimilation. Adv. Water Resour. 2018, 115, 125–135. [Google Scholar] [CrossRef]
- Li, L.P.; Stetler, L.; Cao, Z.D.; Arden Davis, A. An iterative normal-score ensemble smoother for dealing with non-Gaussianity in data assimilation. J. Hydrol. 2018, 567, 759–766. [Google Scholar] [CrossRef]
- Kang, X.Y.; Shi, X.Q.; Revil, A.; Cao, Z.D.; Li, L.P.; Lan, T.; Wu, J.C. Coupled hydrogeophysical inversion to identify non-Gaussian hydraulic conductivity field by jointly assimilating geochemical and time-lapse geophysical data. J. Hydrol. 2019, 578, 124092. [Google Scholar] [CrossRef]
- Mo, S.X.; Zabaras, N.; Shi, X.Q.; Wu, J.C. Deep Autoregressive Neural Networks for High-Dimensional Inverse Problems in Groundwater Contaminant Source Identification. Water Resour. Res. 2018, 55, 3856–3881. [Google Scholar] [CrossRef]
- Huang, Y.; Zhang, J.J.; Zheng, F.F.; Jia, Y.Y.; Kapelan, Z.; Savic, D. Exploring the performance of ensemble smoothers to calibrate urban drainage models. Water Resour. Res. 2022, 58, e2022WR032440. [Google Scholar] [CrossRef]
- Zhang, J.J.; Zheng, Q.; Wu, L.S.; Zeng, L.Z. Using Deep Learning to Improve Ensemble Smoother: Applications to Subsurface Characterization. Water Resour. Res. 2020, 56, e2020WR027399. [Google Scholar] [CrossRef]
- Zhang, J.J.; Lin, G.; Li, W.X.; Wu, L.S.; Zeng, L.Z. An iterative local updating ensemble smoother for estimation and uncertainty assessment of hydrologic model parameters with multimodal distributions. Water Resour. Res. 2018, 54, 1716–1733. [Google Scholar] [CrossRef]
- Emerick, A.A.; Reynolds, A.C. Ensemble smoother with multiple data assimilation. Comput. Geosci. 2013, 55, 3–15. [Google Scholar] [CrossRef]
- Zhang, J.J.; Man, J.; Lin, G.; Wu, L.S.; Zeng, L.Z. Inverse modeling of hydrologic systems with adaptive multi-fidelity Markov chain Monte Carlo simulations. Water Resour. Res. 2018, 54, 4867–4886. [Google Scholar] [CrossRef]
- Liang, H.; Hu, K.L.; Batchelor, W.D.; Qi, Z.M.; Li, B.G. An integrated soil-crop system model for water and nitrogen management in North China. Sci. Rep. 2016, 6, 25755. [Google Scholar] [CrossRef]
- Wei, Y.P.; Chen, D.L.; Hu, K.L.; Willett, I.R.; Langford, J. Policy incentives for reducing nitrate leaching from intensive agriculture in desert oases of Alxa, Inner Mongolia, China. Agric. Water Manag. 2009, 96, 1114–1119. [Google Scholar] [CrossRef]
- Liang, H.; Qi, Z.M.; Hu, K.L.; Prasher, S.O.; Zhang, Y.P. Can nitrate contaminated groundwater be remediated by optimizing flood irrigation rate with high nitrate water in a desert oasis using the WHCNS model? J. Environ. Manag. 2016, 181, 16–25. [Google Scholar] [CrossRef]
- Zhang, J.J.; Vrugt, J.A.; Shi, X.Q.; Lin, G.; Wu, L.S.; Zeng, L.Z. Improving Simulation Efficiency of MCMC for Inverse Modeling of Hydrologic Systems with a Kalman-Inspired Proposal Distribution. Water Resour. Res. 2020, 56, e2019WR025474. [Google Scholar] [CrossRef]
- Liang, H.; Xu, J.Z.; Chen, L.N.; Li, B.G.; Hu, K.L. Bayesian calibration and uncertainty analysis of an agroecosystem model under different N management practices. Eur. J. Agron. 2022, 133, 126429. [Google Scholar] [CrossRef]









| Name | Saturated Hydraulic Conductivity | Saturated Soil Water Content | Field Capacity | Wilting Point | |
|---|---|---|---|---|---|
| Symbol | Ks | SAT | FC | PWP | |
| Unit | cm/d | cm3/cm3 | cm3/cm3 | cm3/cm3 | |
| Interval | 1 | [56.59–69.17] | [0.30–0.36] | [0.20–0.25] | [0.11–0.13] |
| 2 | [72.58–88.70] | [0.32–0.40] | [0.18–0.22] | [0.09–0.12] | |
| 3 | [46.22–56.50] | [0.32–0.40] | [0.18–0.22] | [0.08–0.10] | |
| 4 | [63.50–77.62] | [0.23–0.29] | [0.18–0.22] | [0.06–0.08] | |
| 5 | [29.81–36.43] | [0.26–0.31] | [0.16–0.19] | [0.06–0.08] | |
| 6 | [31.10–38.02] | [0.24–0.30] | [0.15–0.18] | [0.04–0.06] | |
| 7 | [37.37–45.67] | [0.23–0.28] | [0.14–0.18] | [0.04–0.06] | |
| 8 | [56.38–68.90] | [0.22–0.26] | [0.10–0.13] | [0.06–0.08] | |
| Types of Parameters | Description | Symbol | Unit | Interval |
|---|---|---|---|---|
| Nitrogen transformation parameters | Maximum nitrification rate | Vn | g/() | [5–15] |
| Nitrification semi saturation constant | Kn | g/ | [25–75] | |
| Denitrification ratio constant | Kd | - | [0.50–1.50] | |
| Empirical constant of denitrification | Ad | - | [0.05–0.15] | |
| First order kinetic constant of ammonia volatilization | Kv | [0.015–0.045] | ||
| Crop parameters | Initial crop coefficient | - | [0.36–0.54] | |
| Medium term crop coefficient | - | [1–1.5] | ||
| Late crop coefficient | - | [0.64–0.96] | ||
| Accumulated temperature from emergence to maturity | °C | [1480–2220] | ||
| Maximum specific leaf area | [24–36] | |||
| Minimum specific leaf area | [8–12] | |||
| Maximum assimilation rate | AMAX | kg/() | [36–54] | |
| Maximum root depth | cm | [96–144] |
| Treatment | Date of Scheduled Irrigation/Fertilizer Application | ||||||
|---|---|---|---|---|---|---|---|
| 2008 | 3 June | 21 June | 13 July | 4 August | 29 August | Seasonal Total | |
| 2009 | 1 June | 22 June | 13 July | 1 August | 23 August | ||
| Irrigation (mm) | |||||||
| Istd | 150 | 150 | 150 | 150 | 150 | 750 | |
| Icsv | 105 | 105 | 120 | 120 | 120 | 570 | |
| N fertilization (kg Urea-N/ha) | |||||||
| Nstd | 138 | 138 | |||||
| Ncsv | 92 | 92 | |||||
Disclaimer/Publisher’s Note: The statements, opinions and data contained in all publications are solely those of the individual author(s) and contributor(s) and not of MDPI and/or the editor(s). MDPI and/or the editor(s) disclaim responsibility for any injury to people or property resulting from any ideas, methods, instructions or products referred to in the content. |
© 2023 by the authors. Licensee MDPI, Basel, Switzerland. This article is an open access article distributed under the terms and conditions of the Creative Commons Attribution (CC BY) license (https://creativecommons.org/licenses/by/4.0/).
Share and Cite
Guo, Q.; Wu, W. Application of Parameter Optimization Methods Based on Kalman Formula to the Soil—Crop System Model. Int. J. Environ. Res. Public Health 2023, 20, 4567. https://doi.org/10.3390/ijerph20054567
Guo Q, Wu W. Application of Parameter Optimization Methods Based on Kalman Formula to the Soil—Crop System Model. International Journal of Environmental Research and Public Health. 2023; 20(5):4567. https://doi.org/10.3390/ijerph20054567
Chicago/Turabian StyleGuo, Qinghua, and Wenliang Wu. 2023. "Application of Parameter Optimization Methods Based on Kalman Formula to the Soil—Crop System Model" International Journal of Environmental Research and Public Health 20, no. 5: 4567. https://doi.org/10.3390/ijerph20054567
APA StyleGuo, Q., & Wu, W. (2023). Application of Parameter Optimization Methods Based on Kalman Formula to the Soil—Crop System Model. International Journal of Environmental Research and Public Health, 20(5), 4567. https://doi.org/10.3390/ijerph20054567
