The Relationship of Left Ventricular Diastolic Dysfunction and Asymmetrical Dimethylarginine as a Biomarker of Endothelial Dysfunction with Cardiovascular Risk Assessed by Systematic Coronary Risk Evaluation2 Algorithm and Heart Failure—A Cross-Sectional Study
Abstract
1. Introduction
2. Materials and Methods
Statistical Analyses
3. Results
3.1. General, Clinical, and Laboratory Characteristics and the Prevalence of CV Risk Factors of the Subjects in the Study Groups
3.2. Echocardiographic Parameters in the Study Groups
3.3. Differences between Groups Regarding the Prevalence of HF, NYHA Class, and SCORE2
3.4. Differences between Groups Regarding Therapy
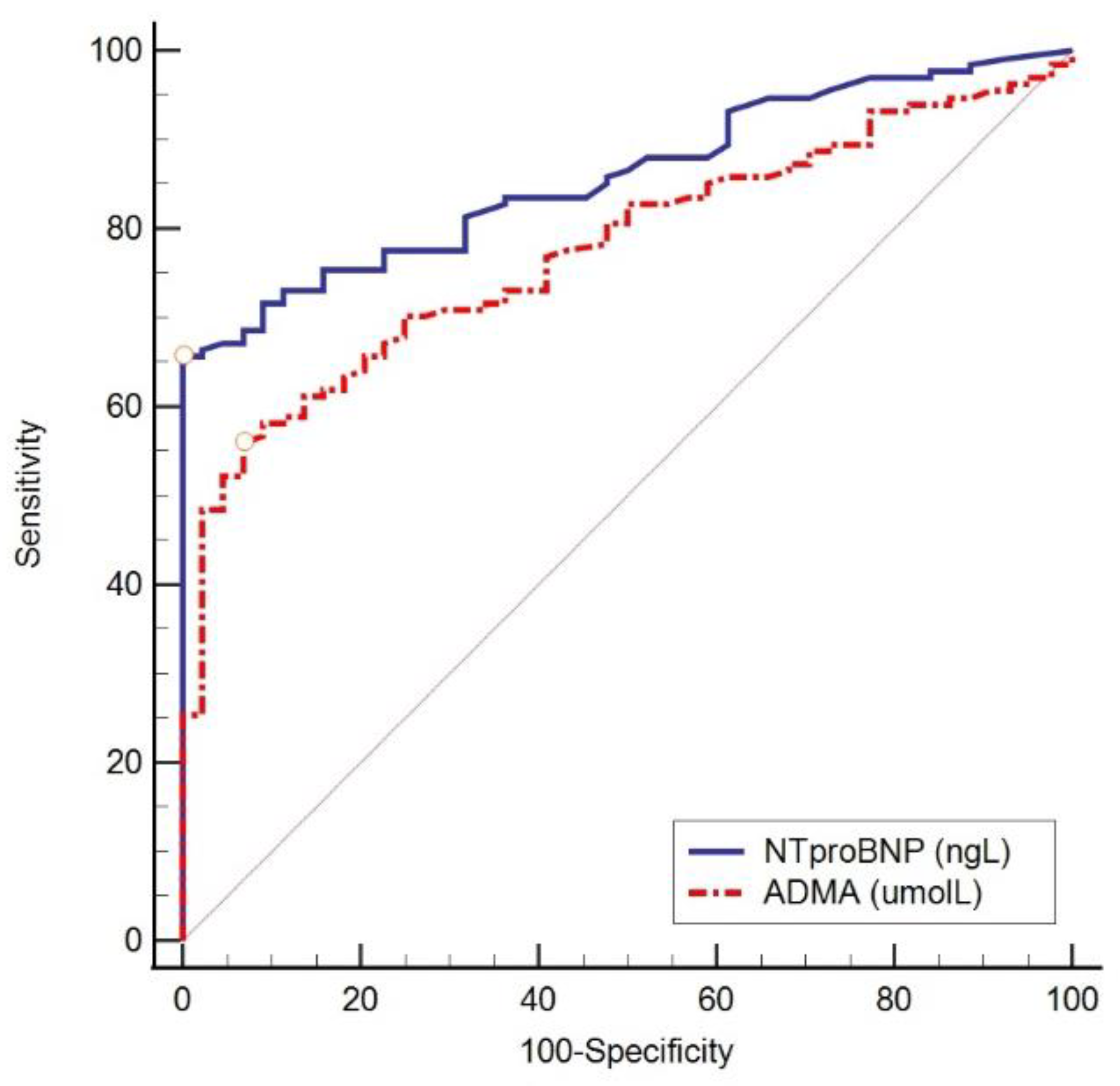
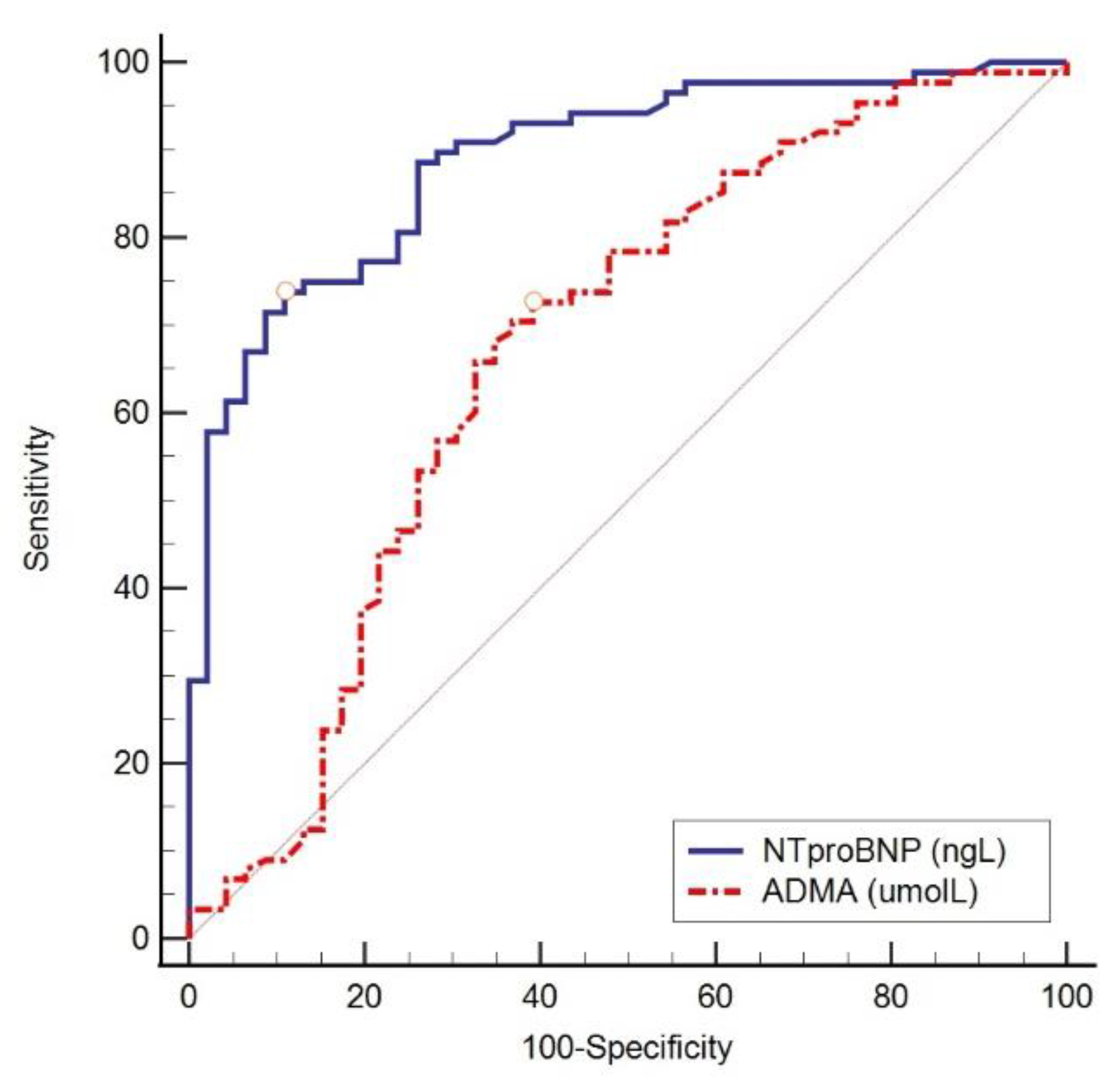
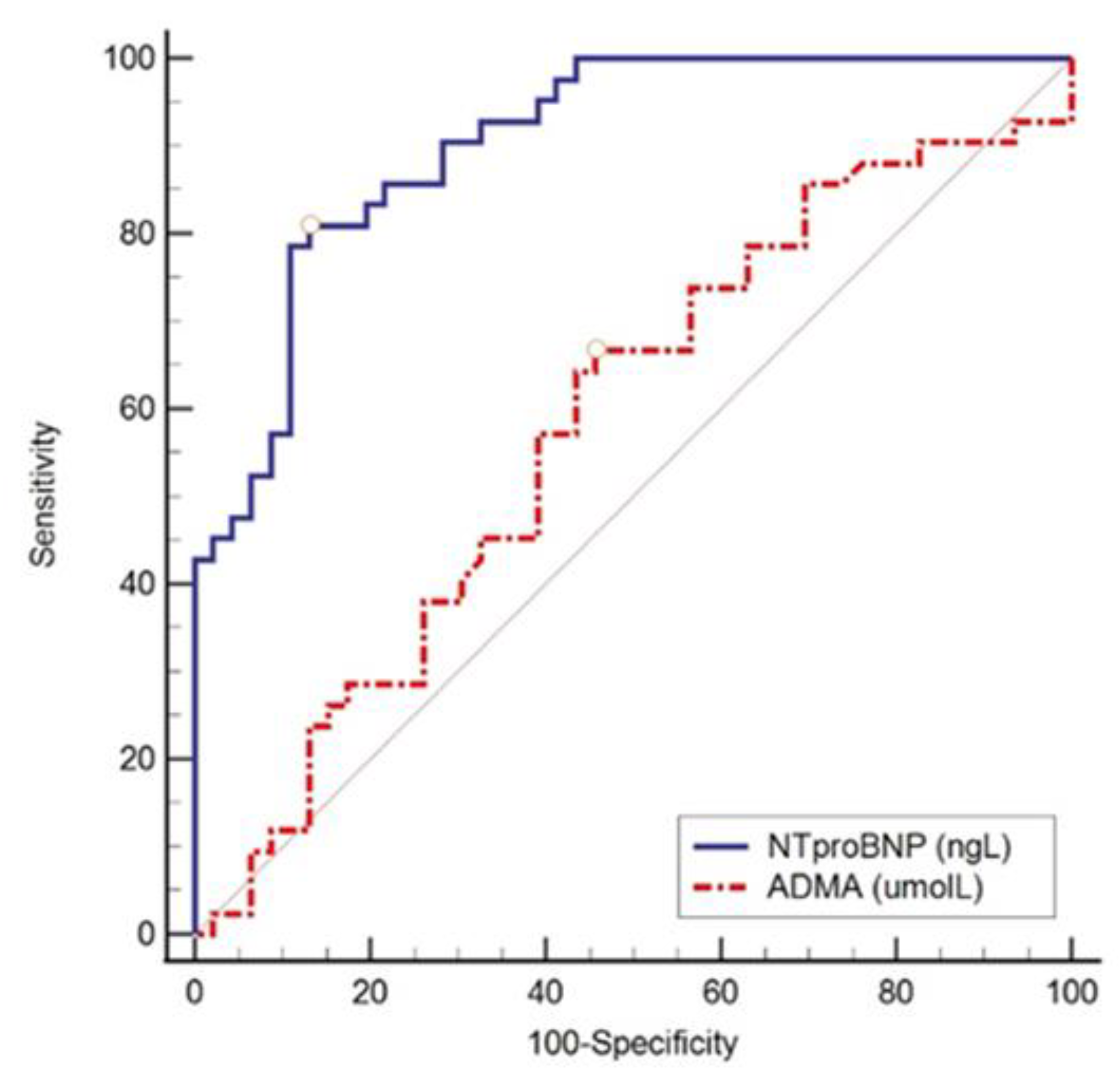
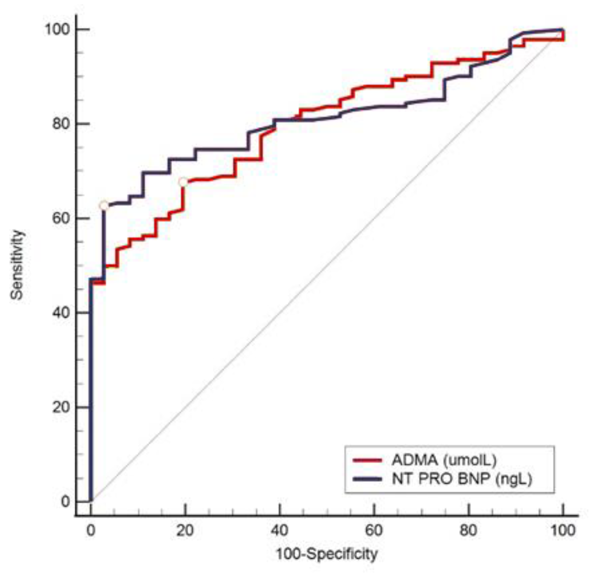
3.5. Biomarkers of HF and ED
3.6. Medical Therapy and ADMA Values
4. Discussion
5. Conclusions
Author Contributions
Funding
Institutional Review Board Statement
Informed Consent Statement
Data Availability Statement
Acknowledgments
Conflicts of Interest
References
- World Health Organization. Cardiovascular Diseases. Available online: https://www.who.int/news-room/fact-sheets/detail/cardiovascular-diseases-(cvds) (accessed on 3 February 2023).
- Wang, F.; Yu, Y.; Mubarik, S.; Zhang, Y.; Liu, X.; Cheng, Y.; Yu, C.; Cao, J. Global Burden of Ischemic Heart Disease and Attributable Risk Factors, 1990–2017: A Secondary Analysis Based on the Global Burden of Disease Study 2017. Clin. Epidemiol. 2021, 13, 859–870. [Google Scholar] [CrossRef] [PubMed]
- Bragazzi, N.L.; Zhong, W.; Shu, J.; Abu Much, A.; Lotan, D.; Grupper, A.; Younis, A.; Dai, H. Burden of heart failure and underlying causes in 195 countries and territories from 1990 to 2017. Eur. J. Prev. Cardiol. 2021, 28, 1682–1690. [Google Scholar] [CrossRef] [PubMed]
- McDonagh, T.A.; Metra, M.; Adamo, M.; Gardner, R.S.; Baumbach, A.; Böhm, M.; Burri, H.; Butler, J.; Čelutkienė, J.; Chioncel, O.; et al. 2021 ESC Guidelines for the diagnosis and treatment of acute and chronic heart failure. Eur. Heart J. 2021, 42, 3599–3726, Erratum in: Eur Heart J. 2021, 42, 4901. [Google Scholar] [CrossRef] [PubMed]
- Palmiero, P.; Zito, A.; Maiello, M.; Cameli, M.; Modesti, P.A.; Muiesan, M.L.; Novo, S.; Saba, P.S.; Scicchitano, P.; Pedrinelli, R.; et al. Left Ventricular Diastolic Function in Hypertension: Methodological Considerations and Clinical Implications. J. Clin. Med. Res. 2015, 7, 137–144. [Google Scholar] [CrossRef]
- Tsujino, T.; Kawasaki, D.; Masuyama, T. Left Ventricular Diastolic Dysfunction in Diabetic Patients: Pathophysiology and therapeutic implications. Am. J. Cardiovasc. Drugs 2006, 6, 219–230. [Google Scholar] [CrossRef]
- Mesquita, E.T.; Jorge, A.J. Understanding asymptomatic diastolic dysfunction in clinical practice. Arq. Bras. Cardiol. 2013, 100, 94–101. [Google Scholar] [CrossRef]
- Nagueh, S.F.; Smiseth, O.A.; Appleton, C.P.; Byrd, B.F., 3rd; Dokainish, H.; Edvardsen, T.; Flachskampf, F.A.; Gillebert, T.C.; Klein, A.L.; Lancellotti, P.; et al. Recommendations for the Evaluation of Left Ventricular Diastolic Function by Echocardiography: An Update from the American Society of Echocardiography and the European Association of Cardiovascular Imaging. J. Am. Soc. Echocardiogr. 2016, 29, 277–314. [Google Scholar] [CrossRef]
- Visseren, F.L.J.; Mach, F.; Smulders, Y.M.; Carballo, D.; Koskinas, K.C.; Bäck, M.; Benetos, A.; Biffi, A.; Boavida, J.-M.; Capodanno, D.; et al. 2021 ESC Guidelines on cardiovascular disease prevention in clinical practice. Eur. Heart J. 2021, 42, 3227–3337, Erratum in: Eur Heart J. 2022, 43, 4468. [Google Scholar] [CrossRef]
- Sušić, L.; Maričić, L.; Vincelj, J.; Vadoci, M.; Sušić, T. Understanding the association between endothelial dysfunction and left ventricle diastolic dysfunction in development of coronary artery disease and heart failure. Acta Bio-Med. Atenei Parm. 2021, 92, e2021204. [Google Scholar] [CrossRef]
- Paulus, W.J.; Tschöpe, C. A novel paradigm for heart failure with preserved ejection fraction: Comorbidities drive myocardial dysfunction and remodeling through coronary microvascular endothelial inflammation. J. Am. Coll. Cardiol. 2013, 62, 263–271. [Google Scholar] [CrossRef]
- Giannitsi, S.; Bougiakli, M.; Bechlioulis, A.; Naka, K.; Mpougiaklh, M. Endothelial dysfunction and heart failure: A review of the existing bibliography with emphasis on flow mediated dilation. JRSM Cardiovasc. Dis. 2019, 8, 2048004019843047. [Google Scholar] [CrossRef] [PubMed]
- Numata, G.; Takimoto, E. Cyclic GMP and PKG Signaling in Heart Failure. Front. Pharmacol. 2022, 13. [Google Scholar] [CrossRef] [PubMed]
- Neves, J.A.; Neves, J.A.; Oliveira, R.D.C.M. Biomarkers of endothelial function in cardiovascular diseases: Hypertension. J. Vasc. Bras. 2016, 15, 224–233. [Google Scholar] [CrossRef] [PubMed]
- Zhou, S.; Zhu, Q.; Li, X.; Chen, C.; Liu, J.; Ye, Y.; Ruan, Y.; Hei, Z. Asymmetric dimethylarginine and all-cause mortality: A systematic review and meta-analysis. Sci. Rep. 2017, 7, 44692. [Google Scholar] [CrossRef]
- Teerlink, T. ADMA metabolism and clearance. Vasc. Med. 2005, 10, S73–S81. [Google Scholar] [CrossRef] [PubMed]
- Sibal, L.; Agarwal, S.C.; Home, P.D.; Boger, R.H. The Role of Asymmetric Dimethylarginine (ADMA) in Endothelial Dysfunction and Cardiovascular Disease. Curr. Cardiol. Rev. 2010, 6, 82–90. [Google Scholar] [CrossRef]
- Poręba, R.; Gac, P.; Poręba, M.; Derkacz, A.; Chachaj, A.; Mazur, G.; Szuba, A. Left ventricular diastolic dysfunction and plasma asymmetric dimethylarginine concentration in persons with essential hypertension. Arch. Med Sci. 2015, 11, 521–529. [Google Scholar] [CrossRef]
- Rezaei, S.S.; Weisshaar, S.; Litschauer, B.; Gouya, G.; Ohrenberger, G.; Wolzt, M. ADMA and NT pro-BNP are associated with overall mortality in elderly. Eur. J. Clin. Investig. 2018, 49, e13041. [Google Scholar] [CrossRef]
- Dückelmann, C.; Mittermayer, F.; Haider, D.G.; Altenberger, J.; Eichinger, J.; Wolzt, M. Asymmetric Dimethylarginine Enhances Cardiovascular Risk Prediction in Patients with Chronic Heart Failure. Arter. Thromb. Vasc. Biol. 2007, 27, 2037–2042. [Google Scholar] [CrossRef]
- Pan, W.; Lian, B.; Lu, H.; Liao, P.; Guo, L.; Zhang, M. Prognostic Value of Asymmetric Dimethylarginine in Patients with Heart Failure: A Systematic Review and Meta-analysis. BioMed Res. Int. 2020, 2020, 1–9. [Google Scholar] [CrossRef]
- Keys, A.; Fidanza, F.; Karvonen, M.J.; Kimura, N.; Taylor, H.L. Indices of relative weight and obesity. Int. J. Epidemiol. 2014, 43, 655–665. [Google Scholar] [CrossRef] [PubMed]
- Mosteller, R.D. Simplified Calculation of Body-Surface Area. N. Engl. J. Med. 1987, 317, 1098. [Google Scholar] [CrossRef] [PubMed]
- Levey, A.S.; Stevens, L.A.; Schmid, C.H.; Zhang, Y.L.; Castro, A.F., 3rd; Feldman, H.I.; Kusek, J.W.; Eggers, P.; Van Lente, F.; Greene, T.; et al. A New Equation to Estimate Glomerular Filtration Rate. Ann. Intern. Med. 2009, 150, 604–612. [Google Scholar] [CrossRef]
- Mach, F.; Baigent, C.; Catapano, A.L.; Koskinas, K.C.; Casula, M.; Badimon, L.; Chapman, M.J.; De Backer, G.G.; Delgado, V.; Ference, B.A.; et al. 2019 ESC/EAS Guidelines for the management of dyslipidaemias: Lipid modification to reduce cardiovascular risk. Eur. Heart J. 2020, 41, 111–188. [Google Scholar] [CrossRef] [PubMed]
- Williams, B.; Mancia, G.; Spiering, W.; Agabiti Rosei, E.; Azizi, M.; Burnier, M.; Clement, D.L.; Coca, A.; de Simone, G.; Dominiczak, A.; et al. 2018 ESC/ESH Guidelines for the management of arterial hypertension. Eur. Heart J. 2018, 39, 3021–3104. [Google Scholar] [CrossRef] [PubMed]
- World Health Organization. Obesity: Preventing and Managing the Global Epidemic. In Report of a WHO consultation; World Health Organization: Basel, Switzerland, 2000; Volume 894, pp. 1–253. [Google Scholar]
- Weir, C.B.; Jan, A. BMI Classification Percentile and Cut Off Points; StatPearls: Treasure Island, FL, USA, 2022. Available online: https://www.ncbi.nlm.nih.gov/books/NBK541070/ (accessed on 3 February 2023).
- Grundy, S.M.; Cleeman, J.I.; Daniels, S.R.; Donato, K.A.; Eckel, R.H.; Franklin, B.A.; Gordon, D.J.; Krauss, R.M.; Savage, P.J.; Smith, S.C., Jr.; et al. National Heart, Lung, and Blood Institute. Diagnosis and management of the metabolic syndrome: An American Heart Association/National Heart, Lung, and Blood Institute Scientific Statement. Circulation 2005, 112, 2735–2752, Erratum in: Circulation 2005, 112, e297–e298. [Google Scholar] [CrossRef]
- World Health Organization. Physical Activity. Available online: http://www.who.int/news-room/fact-sheets/detail/physical-activity (accessed on 15 February 2023).
- Knuuti, J.; Wijns, W.; Saraste, A.; Capodanno, D.; Barbato, E.; Funck-Brentano, C.; Prescott, E.; Storey, R.F.; Deaton, C.; Cuisset, T.; et al. 2019 ESC Guidelines for the diagnosis and management of chronic coronary syndromes. Eur. Heart J. 2020, 41, 407–477. [Google Scholar] [CrossRef]
- Piepoli, M.F.; Hoes, A.W.; Agewall, S.; Albus, C.; Brotons, C.; Catapano, A.L.; Cooney, M.-T.; Corrà, U.; Cosyns, B.; Deaton, C.; et al. 2016 European Guidelines on cardiovascular disease prevention in clinical practice: The Sixth Joint Task Force of the European Society of Cardiology and Other Societies on Cardiovascular Disease Prevention in Clinical Practice (constituted by representatives of 10 societies and by invited experts). Developed with the special contribution of the European Association for Cardiovascular Prevention & Rehabilitation (EACPR). Eur. Heart J. 2016, 37, 2315–2381. [Google Scholar] [CrossRef]
- Cosentino, F.; Grant, P.J.; Aboyans, V.; Bailey, C.J.; Ceriello, A.; Delgado, V.; Federici, M.; Filippatos, G.; Grobbee, D.E.; Hansen, T.B.; et al. 2019 ESC Guidelines on diabetes, pre-diabetes, and cardiovascular diseases developed in collaboration with the EASD. Eur. Heart J. 2020, 41, 255–323, Erratum in: Eur Heart J. 2020, 41, 255–323. [Google Scholar] [CrossRef]
- Kidney Disease: Improving Global Outcomes. KDIGO 2012 Clinical Practice Guideline for the Evaluation and Management of Chronic Kidney Disease. 2013. Available online: https://kdigo.org/wp-content/uploads/2017/02/KDIGO_2012_CKD_GL.pdf (accessed on 16 February 2023).
- Delong, E.R.; Delong, D.M.; Clarke-Pearson, D.L. Comparing the Areas under Two or More Correlated Receiver Operating Characteristic Curves: A Nonparametric Approach. Biometrics 1988, 44, 837–845. [Google Scholar] [CrossRef]
- Maragiannis, D.; Schutt, R.C.; Gramze, N.L.; Chaikriangkrai, K.; McGregor, K.; Chin, K.; Nabi, F.; Little, S.H.; Nagueh, S.F.; Chang, S.M. Association of Left Ventricular Diastolic Dysfunction with Subclinical Coronary Atherosclerotic Disease Burden Using Coronary Artery Calcium Scoring. J Atheroscler Thromb. 2015, 22, 1278–1286. [Google Scholar] [CrossRef] [PubMed]
- Tschöpe, C.; Kasner, M.; Westermann, D.; Gaub, R.; Poller, W.C.; Schultheiss, H.P. The role of NT-proBNP in the diagnostics of isolated diastolic dysfunction: Correlation with echocardiographic and invasive measurements. Eur Heart J. 2005, 26, 2277–2784. [Google Scholar] [CrossRef] [PubMed]
- Kane, G.C.; Karon, B.L.; Mahoney, D.W.; Redfield, M.M.; Roger, V.L.; Burnett, J.C.; Jacobsen, S.J.; Rodeheffer, R.J. Progression of Left Ventricular Diastolic Dysfunction and Risk of Heart Failure. JAMA 2011, 306, 856–863. [Google Scholar] [CrossRef] [PubMed]
- Faida, O.; Said, A.; Samir, P.; Oteh MA Latif, M.; Fadilah, A. NT-proBNP levels, as predictor of left ventricular systolic and diastolic dysfunction in patients with chronic heart failure. Int. J. Collab. Res. Intern. Med. Public Health 2012, 4, 910–923. [Google Scholar]
- Costello-Boerrigter, L.C.; Boerrigter, G.; Redfield, M.M.; Rodeheffer, R.J.; Urban, L.H.; Mahoney, D.W.; Jacobsen, S.; Heublein, D.M.; Burnett, J.C. Amino-Terminal Pro-B-Type Natriuretic Peptide and B-Type Natriuretic Peptide in the General Community: Determinants and Detection of Left Ventricular Dysfunction. J. Am. Coll. Cardiol. 2006, 47, 345–353. [Google Scholar] [CrossRef] [PubMed]
- Karabulut, A.; Kaplan, A.; Aslan, C.; Iltumur, K.; Toprak, G.; Toprak, N. The association between NT-proBNP levels, functional capacity and stage in patients with heart failure. Acta Cardiol. 2005, 60, 631–638. [Google Scholar] [CrossRef] [PubMed]
- Sokhanvar, S.; Shekhi, M.; Mazlomzadeh, S.; Golmohammadi, Z. The Relationship between Serum NT– Pro-BNP Levels and Prognosis in Patients with Systolic Heart Failure. J. Cardiovasc. Thorac. Res. 2011, 3, 57–61. [Google Scholar] [CrossRef]
- Hadi, H.A.; Carr, C.S.; Al Suwaidi, J. Endothelial dysfunction: Cardiovascular risk factors, therapy, and outcome. Vasc. Health Risk Manag. 2005, 1, 183–198. [Google Scholar]
- Versari, D.; Daghini, E.; Virdis, A.; Ghiadoni, L.; Taddei, S. Endothelial Dysfunction as a Target for Prevention of Cardiovascular Disease. Diabetes Care 2009, 32, S314–S321. [Google Scholar] [CrossRef]
- Leucker, T.M.; Jones, S.P. Endothelial dysfunction as a nexus for endothelial cell-cardiomyocyte miscommunication. Front. Physiol. 2014, 5. [Google Scholar] [CrossRef]
- Premer, C.; Kanelidis, A.J.; Hare, J.M.; Schulman, I.H. Rethinking Endothelial Dysfunction as a Crucial Target in Fighting Heart Failure. In Mayo Clinic Proceedings: Innovations, Quality & Outcomes; Elsevier BV: Amsterdam, The Netherlands, 2019; Volume 3, pp. 1–13. [Google Scholar] [CrossRef]
- Reriani, M.; Sara, J.D.; Flammer, A.; Gulati, R.; Li, J.; Rihal, C.; Lennon, R.; Lerman, L.O.; Lerman, A. Coronary endothelial function testing provides superior discrimination compared with standard clinical risk scoring in prediction of cardiovascular events. Coron. Artery Dis. 2016, 27, 213–220. [Google Scholar] [CrossRef] [PubMed]
- Alexander, Y.; Osto, E.; Schmidt-Trucksäss, A.; Shechter, M.; Trifunovic, D.; Duncker, D.J.; Aboyans, V.; Bäck, M.; Badimon, L.; Cosentino, F.; et al. Endothelial function in cardiovascular medicine: A consensus paper of the European Society of Cardiology Working Groups on Atherosclerosis and Vascular Biology, Aorta and Peripheral Vascular Diseases, Coronary Pathophysiology and Microcirculation, and Thrombosis. Cardiovasc. Res. 2020, 117, 29–42. [Google Scholar] [CrossRef]
- Zhang, J. Biomarkers of endothelial activation and dysfunction in cardiovascular diseases. Rev. Cardiovasc. Med. 2022, 23. [Google Scholar] [CrossRef] [PubMed]
- Tain, Y.-L.; Hsu, C.-N. Toxic Dimethylarginines: Asymmetric Dimethylarginine (ADMA) and Symmetric Dimethylarginine (SDMA). Toxins 2017, 9, 92. [Google Scholar] [CrossRef]
- Németh, B.; Ajtay, Z.; Hejjel, L.; Ferenci, T.; Ábrám, Z.; Murányi, E.; Kiss, I. The issue of plasma asymmetric dimethylarginine reference range—A systematic review and meta-analysis. PLoS ONE 2017, 12, e0177493. [Google Scholar] [CrossRef]
- Deneva-Koycheva, T.; Vladimirova-Kitova, L.; Angelova, E.; Tsvetkova, T. Plasma Asymmetric Dimethylarginine Levels in Healthy People. Folia Medica 2011, 53, 28–33. [Google Scholar] [CrossRef]
- Medina-Leyte, D.J.; Zepeda-García, O.; Domínguez-Pérez, M.; González-Garrido, A.; Villarreal-Molina, T.; Jacobo-Albavera, L. Endothelial Dysfunction, Inflammation and Coronary Artery Disease: Potential Biomarkers and Promising Therapeutical Approaches. Int. J. Mol. Sci. 2021, 22, 3850. [Google Scholar] [CrossRef]
- Willeit, P.; Freitag, D.F.; Laukkanen, J.A.; Chowdhury, S.; Gobin, R.; Mayr, M.; Di Angelantonio, E.; Chowdhury, R. Asymmetric Dimethylarginine and Cardiovascular Risk: Systematic Review and Meta-Analysis of 22 Prospective Studies. J. Am. Hearth Assoc. 2015, 4, e001833. [Google Scholar] [CrossRef]
- Mangiacapra, F.; Conte, M.; Demartini, C.; Muller, O.; Delrue, L.; Dierickx, K.; Di Sciascio, G.; Trimarco, B.; De Bruyne, B.; Wijns, W.; et al. Relationship of asymmetric dimethylarginine (ADMA) with extent and functional severity of coronary atherosclerosis. Int. J. Cardiol. 2016, 220, 629–633. [Google Scholar] [CrossRef]
- Ghayour-Mobarhan, M.; Ayati, N.; Sahebkar, A.; Moohebati, M.; Ayati, N.; Elyasi, S.; Mohammadpour, A.H. Evaluation of serum Asymmetric Dimethyl Arginine concentrations in coronary artery disease patients without traditional cardiovascular risk factors. Acta Biomed. 2018, 89, 203–208. [Google Scholar] [CrossRef]
- Maas, R. Pharmacotherapies and their influence on asymmetric dimethylargine (ADMA). Vasc. Med. 2005, 10, S49–S57. [Google Scholar] [CrossRef] [PubMed]
- Trocha, M.; Szuba, A.; Merwid-Lad, A.; Sozaski, T. Effect of selected drugs on plasma asymmetric dimethylarginine (ADMA) levels. Pharmazie 2010, 65, 562–571. [Google Scholar] [PubMed]
- Fu, S.; Ping, P.; Zhu, Q.; Ye, P.; Luo, L. Brain Natriuretic Peptide and Its Biochemical, Analytical, and Clinical Issues in Heart Failure: A Narrative Review. Front. Physiol. 2018, 9, 692. [Google Scholar] [CrossRef] [PubMed]
- Gallagher, J.; Watson, C.; Campbell, P.; Ledwidge, M.; McDonald, K. Natriuretic Peptide-based Screening and Prevention of Heart Failure. Card. Fail. Rev. 2017, 3, 83–85. [Google Scholar] [CrossRef]
- Fradley, M.G.; Larson, M.G.; Cheng, S.; McCabe, E.; Coglianese, E.; Shah, R.V.; Levy, D.; Vasan, R.S.; Wang, T.J. Reference Limits for N-Terminal-pro-B-Type Natriuretic Peptide in Healthy Individuals (from the Framingham Heart Study). Am. J. Cardiol. 2011, 108, 1341–1345. [Google Scholar] [CrossRef]
- Cunningham, J.W.; Myhre, P.L. NT-proBNP Response to Heart Failure Therapies. J. Am. Coll. Cardiol. 2021, 78, 1333–1336. [Google Scholar] [CrossRef]
- Troughton, R.W.; Richards, A.M.; Yandle, T.G.; Frampton, C.M.; Nicholls, M.G. The effects of medications on circulating levels of cardiac natriuretic peptides. Ann. Med. 2007, 39, 242–260. [Google Scholar] [CrossRef]
- Welsh, P.; Poulter, N.R.; Chang, C.L.; Sever, P.S.; Sattar, N. The Value of N-Terminal Pro–B-Type Natriuretic Peptide in Determining Antihypertensive Benefit: Observations from the Anglo-Scandinavian Cardiac Outcomes Trial (ASCOT). Hypertension 2014, 63, 507–513. [Google Scholar] [CrossRef]
- Rosenberg, J.; Gustafsson, F.; Remme, W.J.; Riegger, G.A.; Hildebrandt, P.R. Effect of beta-blockade and ACE inhibition on B-type natriuretic peptides in stable patients with systolic heart failure. Cardiovasc. Drugs Ther. 2008, 22, 305–311. [Google Scholar] [CrossRef]




| Number (%) Subjects | |||||
|---|---|---|---|---|---|
| Normal LVDF (n = 44) | LVDD Grade 1 (n = 46) | LVDD Grade 2 (n = 46) | LVDD Grade 3 (n = 42) | p-Value | |
| General Characteristics | |||||
| Sex | 0.001 * | ||||
| Male | 18 (41) | 19 (41) | 33 (72) | 29 (69) | |
| Female | 26 (59) | 27 (59) | 13 (28) | 13 (31) | |
| Age (y) | <0.001† | ||||
| Median of age | 44 | 57 | 62 | 65 | |
| Interquartile range | 42–51 | 50–64 | 59–64 | 61–65 | |
| Anthropometric Characteristics (Median (IQR)) | |||||
| BMI (kg/m2) | 27.1 (24.3–28.9) | 28.2 (25.5–31.3) | 29.4 (26.6–32.4) | 29.8 (25–33.4) | 0.06 † |
| BSA (m2) | 1.9 (1.8–2.2) | 2 (1.7–2.2) | 2.1 (1.9–2.3) | 2.1 (1.9–2.2) | 0.26 † |
| Waist circumference (cm) | 94.5 (86–102) | 97 (85–107) | 100 (95–108) | 104 (97–112) | 0.002† |
| Hip circumference (cm) | 100 (95–109) | 106 (98–114) | 110 (104–119) | 109 (102–118) | <0.001† |
| Waist/hip ratio | 0.9 (0.9–1) | 0.9 (0.9–1) | 0.9 (0.9–1) | 0.9 (0.9–1) | 0.20 † |
| Blood Pressure (Median (IQR)) | |||||
| Systolic | 130 (120–135) | 139 (130–142) | 135 (120–140) | 130 (119–146) | 0.09 † |
| Diastolic | 80 (80–88) | 80 (78–90) | 80 (80–90) | 80 (71.5–90) | 0.98 † |
| ECG | |||||
| Median frequency (bpm) (IQR) | 75 (61–85) | 71 (62–79) | 67 (60–80) | 87 (74–99) | <0.001† |
| AF (n (%)) patients | 0 | 2 (4) | 19 (41) | 33 (79) | <0.001 * |
| Laboratory Analysis (Median (IQR)) | |||||
| Urea (mmolL) | 5.2 (4.3–6.2) | 6 (5.3–7) | 6.3 (5.1–8) | 7.1 (5.7–8.9) | <0.001† |
| Creatinine (µmolL) | 72 (64–82) | 74 (64–82) | 82 (73–95) | 99 (75–121) | <0.001† |
| eGFR (mL/min/1.73 m2) | 108 (95–115) | 97 (87–109) | 88 (73–97) | 69 (54–94) | <0.001† |
| TC (mmol/L) | 5.8 (5,3–6,4) | 5.8 (4.9–6.5) | 4.8 (3.9–5.8) | 4.6 (3.1–5.5) | <0.001† |
| HDL-C (mmol/L) | 1.4 (1.2–1.7) | 1.3 (1.1–1.4) | 1.2 (1.1–1.3) | 1.1 (0.8–1.4) | 0.001† |
| non HDL-C (mmol/L) | 4.3 (3.7–5.3) | 4.5 (3.5–5.1) | 3.3 (2.7–4.5) | 2.9 (2.2–4.2) | <0.001† |
| LDL-C (mmol/L) | 3.6 (3.1–4.2) | 3.7 (2.7–4.3) | 2.8 (2–3.8) | 2.7 (1.8–3.7) | <0.001† |
| Triglycerides (mmol/L) | 1.2 (0.9–1.9) | 1.7 (1.3–2.3) | 1.6 (1.2–2) | 1.2 (0.9–1.7) | 0.004† |
| FBG (mmol/L) | 5.1 (4.7–5.6) | 6.2 (5.3–6.7) | 5.8 (5.1–6.9) | 6 (5.4–7.6) | <0.001† |
| CV Risk Factors (Number (%) Subjects) | |||||
| Dyslipidemia | 37 (84) | 41 (89) | 44 (98) | 41 (98) | 0.04 * |
| AH | 18 (41) | 41 (89) | 42 (91) | 40 (95) | <0.001 * |
| Overweight | 23 (53) | 17 (49) | 19 (68) | 11 (50) | 0.44 * |
| MetS | 19 (43) | 25 (54) | 24 (52) | 29 (69) | 0.11 * |
| Physical inactivity | 24 (55) | 23 (50) | 16 (35) | 23 (55) | 0.19 * |
| Obesity | 9 (20) | 19 (49) | 18 (58) | 20 (65) | <0.001 * |
| CHD | 0 | 14 (30) | 29 (63) | 27 (64) | <0.001 * |
| IFG | 4 (9) | 13 (35) | 15 (44) | 13 (46) | 0.001 * |
| Family history of premature ATS disease | 22 (50) | 12 (26) | 8 (17) | 10 (24) | 0.004 * |
| Active smoking | 14 (32) | 13 (28) | 11 (24) | 11 (26) | 0.86 * |
| DM | 0 | 9 (20) | 12 (26) | 17 (40) | <0.001 * |
| CKD stage ≥ 3 | 0 | 1 (2) | 6 (13) | 15 (36) | <0.001§ |
| Median (IQR) | |||||
|---|---|---|---|---|---|
| Normal LVDF (n = 44) | LVDD Grade 1 (n = 46) | LVDD Grade 2 (n = 46) | LVDD Grade 3 (n = 42) | p-Value * | |
| E/A | 1.1 (0.8–1.3) | 0.8 (0.7–0.9) | 0.9 (0.7- 1.1) | 2.7 (2.2–3) | <0.001 |
| E/e′ | 8 (6.6–9) | 12 (10–13.5) | 15 (14–17.3) | 23 (18.5–28) | <0.001 |
| LAVI (mL/m2) | 21 (17.1–25) | 23 (18.8–28) | 36 (29–42) | 48 (40–63.3) | <0.001 |
| LVEDd (cm) | 4.7 (4.4–5.2) | 4.8 (4.3–5.2) | 5 (4.6–5.6) | 5.9 (5.2–6.1) | <0.001 |
| LVESd (cm) | 3.1 (2.9–3.5) | 3.3 (2.9–3.6) | 3.7 (3.3–4) | 4.5 (3.7–5.1) | <0.001 |
| LVMI (g/m2) | 97.5 (80–111.8) | 116.5 (93.5–134.5) | 140 (108.8–160.8) | 149 (127.3–178.3) | <0.001 |
| LVEF classes | p | p | p | r | <0.001 |
| Number (%) Subjects | ||||||
|---|---|---|---|---|---|---|
| Normal LVDF (n = 44) | LVDD Grade 1 (n = 46) | LVDD Grade 2 (n = 46) | LVDD Grade 3 (n = 42) | Total (n = 178) | p-Value * | |
| HF | 0 | 13 (28) | 36 (78) | 42 (100) | 91 (51) | <0.001 * |
| HFpEF | / | 10 (77) | 18 (50) | 11 (26) | 39 (43) | <0.001 * |
| HFmrEF | / | 2 (15) | 13 (36) | 7 (17) | 22 (24) | <0.001 * |
| HFrEF | / | 1 (8) | 5 (11) | 24 (57) | 30 (33) | <0.001 * |
| NYHA (n = 91) | / | 13 | 36 | 42 | 91 | |
| Class I-II | / | 11 (85) | 25 (69) | 13 (31) | 49 (54) | <0.001* |
| Class III-IV | / | 2 (15) | 11 (31) | 29 (69) | 42 (46) | <0.001* |
| SCORE2 | ||||||
| low to moderate | 28 (63) | 8 (17) | 0 | 0 | 36 (20) | <0.001† |
| high | 14 (32) | 12 (26) | 6 (13) | 6 (14) | 38 (21) | <0.001† |
| very high | 2 (5) | 26 (57) | 40 (87) | 36 (86) | 104 (58) | <0.001† |
| ADMA (µmol/L) | p-Value | NT-proBNP (ng/L) | p-Value | |||||
|---|---|---|---|---|---|---|---|---|
| Tertile 1 | Tertile 2 | Tertile 3 | Tertile 1 | Tertile 2 | Tertile 3 | |||
| Parameter | 59 (33) | 58 (33) | 61 (34) | 58 (33) | 61 (34) | 59 (33) | ||
| LVDD (n = 178) | ||||||||
| Normal LVDF (n = 44) | 1 (2) | 17 (39) | 26 (59) | <0.001 * | 30 (68) | 14 (32) | 0 | <0.001 * |
| LVDD Grade 1 (n = 46) | 12 (26) | 14 (30) | 20 (43) | 23 (50) | 20 (43) | 3 (7) | ||
| LVDD Grade 2 (n = 46) | 28 (61) | 12 (26) | 6 (13) | 5 (11) | 24 (52) | 17 (37) | ||
| LVDD Grade 3 (n = 42) | 18 (43) | 15 (36) | 9 (21) | 0 | 3 (7) | 39 (93) | ||
| SCORE (n = 178) | ||||||||
| Low to medium (n =36) | 0 | 13 (36) | 23 (64) | <0.001 * | 24 (67) | 12 (33) | 0 | <0.001 * |
| High (n = 38) | 7 (18) | 12 (32) | 19 (50) | 19 (50) | 12 (32) | 7 (18) | ||
| Very high (n = 104) | 52 (50) | 33 (32) | 19 (18) | 15 (14) | 37 (36) | 52 (50) | ||
| HF (n = 91) | 44 (48) | 28 (31) | 19 (21) | <0.001† | 1 (1) | 31 (34) | 59 (65) | <0.001† |
| HFpEF (n =39) | 17 (44) | 13 (33) | 9 (23) | 0.003† | 0 | 22 (56) | 17 (44) | <0.001† |
| HFmrEF (n = 22) | 13 (59) | 6 (27) | 3 (14) | <0.001† | 1 (4) | 7 (32) | 14 (64) | <0.001† |
| HFrEF (n = 30) | 14 (47) | 9 (30) | 7 (23) | 0.003† | 0 | 2 (7) | 28 (93) | <0.001† |
| NYHA (n = 91) | ||||||||
| Class I-II (n = 49) | 25 (51) | 15 (31) | 9 (18) | 0.76 † | 1 (2) | 24 (49) | 24 (49) | 0.001† |
| Class III-IV (n = 42) | 19 (45) | 13 (31) | 10 (24) | 0 | 7 (17) | 35 (83) | ||
| β | Wald | p-Value | OR (95% CI) | |
|---|---|---|---|---|
| NT-proBNP | ||||
| LVDD any grade | 0.01 | 11.13 | 0.001 | 1.01 (1.001–1.02) |
| HFrEF | 0.001 | 19.5 | <0.001 | 1.001 (1.001–1.002) |
| NYHA class III-IV | 0.001 | 9.49 | 0.002 | 1.001 (1.0–1.002) |
| High/very high SCORE2 | 0.008 | 6.47 | 0.01 | 1.01 (1.002–1.014) |
| ADMA | ||||
| LVDD any grade | −3.7 | 6.26 | 0.01 | 0.02 (0.001–0.45) |
| High/very high SCORE2 | −5.06 | 9.43 | 0.002 | 0.006 (0.002–0.159) |
| Correlation Coefficient r * | p-Value | |
|---|---|---|
| ADMA | ||
| ACEIs | −0.418 | <0.001 |
| ARNI | −0.454 | <0.001 |
| BBs | −0.352 | <0.001 |
| Diuretics | −0.230 | 0.002 |
| MRAs | −0.299 | <0.001 |
| Statins | −0.395 | <0.001 |
| SGLT2 inhibitors | −0.283 | <0.001 |
| Insulin | −0.245 | 0.001 |
| ASA | −0.299 | <0.001 |
| Polytherapy vs. monotherapy | −0.431 | <0.001 |
Disclaimer/Publisher’s Note: The statements, opinions and data contained in all publications are solely those of the individual author(s) and contributor(s) and not of MDPI and/or the editor(s). MDPI and/or the editor(s) disclaim responsibility for any injury to people or property resulting from any ideas, methods, instructions or products referred to in the content. |
© 2023 by the authors. Licensee MDPI, Basel, Switzerland. This article is an open access article distributed under the terms and conditions of the Creative Commons Attribution (CC BY) license (https://creativecommons.org/licenses/by/4.0/).
Share and Cite
Sušić, L.; Maričić, L.; Šahinović, I.; Kralik, K.; Klobučar, L.; Ćosić, M.; Sušić, T.; Vincelj, J.; Burić, A.; Burić, M.; et al. The Relationship of Left Ventricular Diastolic Dysfunction and Asymmetrical Dimethylarginine as a Biomarker of Endothelial Dysfunction with Cardiovascular Risk Assessed by Systematic Coronary Risk Evaluation2 Algorithm and Heart Failure—A Cross-Sectional Study. Int. J. Environ. Res. Public Health 2023, 20, 4433. https://doi.org/10.3390/ijerph20054433
Sušić L, Maričić L, Šahinović I, Kralik K, Klobučar L, Ćosić M, Sušić T, Vincelj J, Burić A, Burić M, et al. The Relationship of Left Ventricular Diastolic Dysfunction and Asymmetrical Dimethylarginine as a Biomarker of Endothelial Dysfunction with Cardiovascular Risk Assessed by Systematic Coronary Risk Evaluation2 Algorithm and Heart Failure—A Cross-Sectional Study. International Journal of Environmental Research and Public Health. 2023; 20(5):4433. https://doi.org/10.3390/ijerph20054433
Chicago/Turabian StyleSušić, Livija, Lana Maričić, Ines Šahinović, Kristina Kralik, Lucija Klobučar, Mateja Ćosić, Tihomir Sušić, Josip Vincelj, Antonio Burić, Marko Burić, and et al. 2023. "The Relationship of Left Ventricular Diastolic Dysfunction and Asymmetrical Dimethylarginine as a Biomarker of Endothelial Dysfunction with Cardiovascular Risk Assessed by Systematic Coronary Risk Evaluation2 Algorithm and Heart Failure—A Cross-Sectional Study" International Journal of Environmental Research and Public Health 20, no. 5: 4433. https://doi.org/10.3390/ijerph20054433
APA StyleSušić, L., Maričić, L., Šahinović, I., Kralik, K., Klobučar, L., Ćosić, M., Sušić, T., Vincelj, J., Burić, A., Burić, M., & Lukić, M. (2023). The Relationship of Left Ventricular Diastolic Dysfunction and Asymmetrical Dimethylarginine as a Biomarker of Endothelial Dysfunction with Cardiovascular Risk Assessed by Systematic Coronary Risk Evaluation2 Algorithm and Heart Failure—A Cross-Sectional Study. International Journal of Environmental Research and Public Health, 20(5), 4433. https://doi.org/10.3390/ijerph20054433

