Accuracy of Resting Metabolic Rate Prediction Equations in Sport Climbers
Abstract
1. Introduction
2. Materials and Methods
2.1. Participants
2.2. Study Protocol
2.3. Equations for Analyzed Resting Metabolic Rate (RMR)
2.4. Statistical Analysis
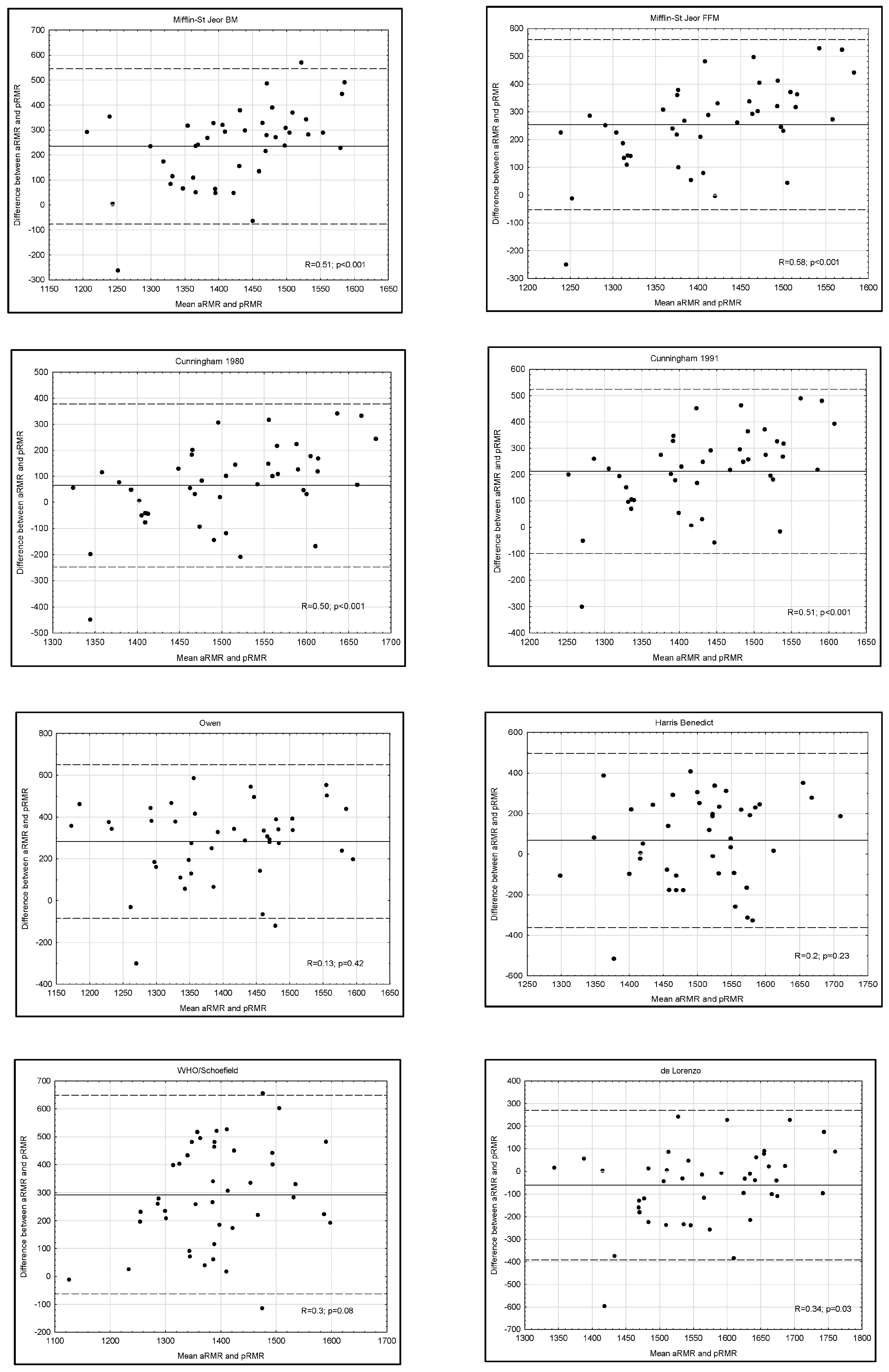
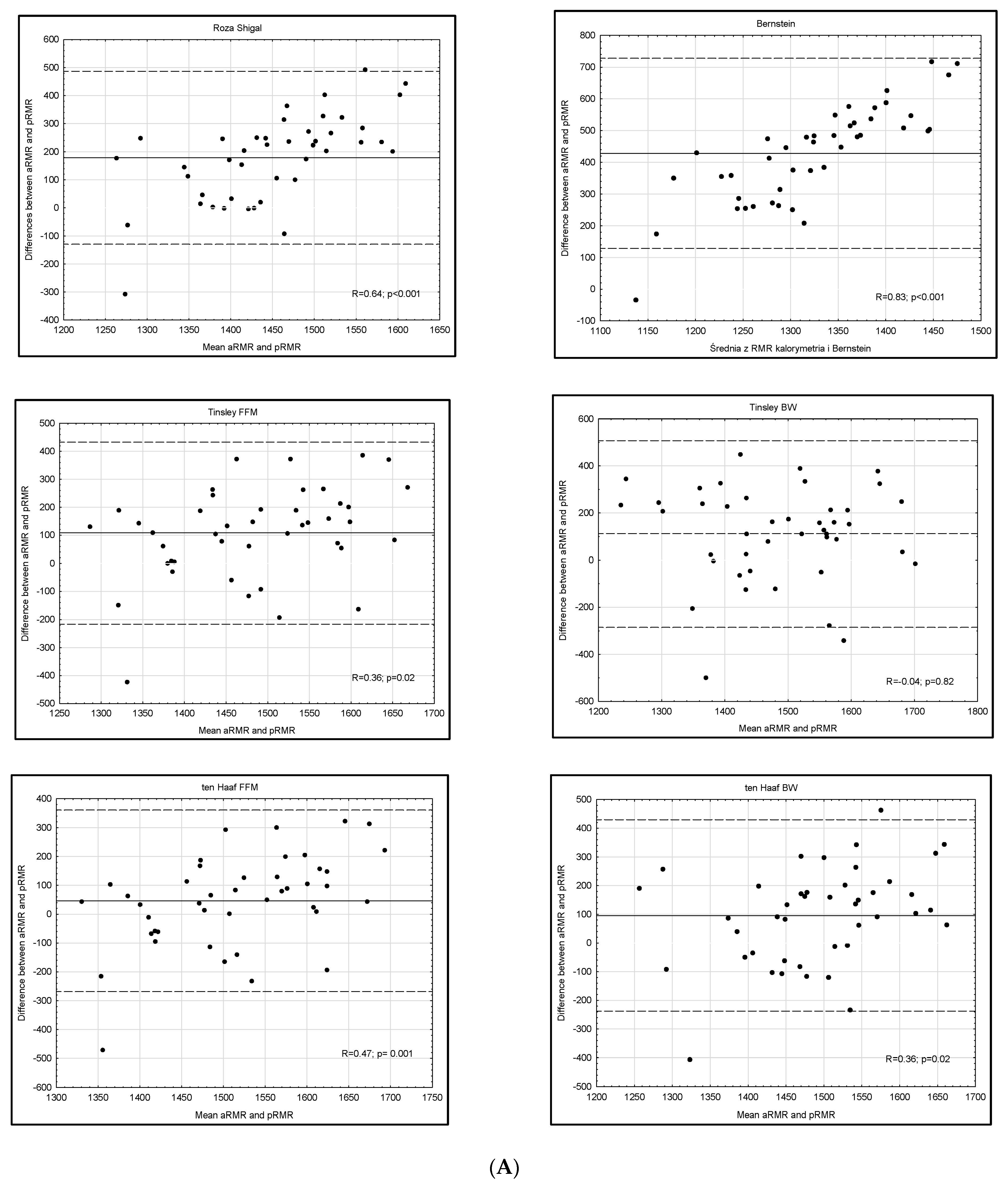
3. Results
4. Discussion
5. Limitations of the Study
6. Conclusions
Author Contributions
Funding
Institutional Review Board Statement
Informed Consent Statement
Data Availability Statement
Conflicts of Interest
References
- Gupta, R.D.; Ramachandran, R.; Venkatesan, P.; Anoop, S.; Joseph, M.; Thomas, N. Indirect Calorimetry: From Bench to Bedside. Indian J. Endocrinol. Metab. 2017, 21, 594–599. [Google Scholar] [CrossRef] [PubMed]
- Carpenter, W.H.; Poehlman, E.T.; O’Connell, M.; Goran, M.I. Influence of body composition and resting metabolic rate on variation in total energy expenditure: A meta-analysis. Am. J. Clin. Nutr. 1995, 61, 4–10. [Google Scholar] [CrossRef] [PubMed]
- Jagim, A.R.; Camic, C.L.; Askow, A.; Luedke, J.; Erickson, J.; Kerksick, C.M.; Jones, M.T.; Oliver, J.M. Sex Differences in Resting Metabolic Rate Among Athletes. J. Strength Cond. Res. 2019, 33, 3008–3014. [Google Scholar] [CrossRef]
- Cunningham, J.J. Body composition as a determinant of energy expenditure: A synthetic review and a proposed general prediction equation. Am. J. Clin. Nutr. 1991, 54, 963–969. [Google Scholar] [CrossRef]
- Aristizabal, J.C.; Freidenreich, D.J.; Volk, B.M.; Kupchak, B.R.; Saenz, C.; Maresh, C.M.; Kraemer, W.J.; Volek, J.S. Effect of resistance training on resting metabolic rate and its estimation by a dual-energy X-ray absorptiometry metabolic map. Eur. J. Clin. Nutr. 2015, 69, 831–836. [Google Scholar] [CrossRef] [PubMed]
- Schubert, M.M.; Clarke, H.E.; Seay, R.F.; Spain, K.K. Impact of 4 weeks of interval training on resting metabolic rate, fitness, and health-related outcomes. Appl. Physiol. Nutr. Metab. 2017, 42, 1073–1081. [Google Scholar] [CrossRef] [PubMed]
- Delsoglio, M.; Achamrah, N.; Berger, M.M.; Pichard, C. Indirect Calorimetry in Clinical Practice. J. Clin. Med. 2019, 8, 1387. [Google Scholar] [CrossRef]
- Flack, K.D.; Siders, W.A.; Johnson, L.; Roemmichm, J.N. Cross-Validation of Resting Metabolic Rate Prediction Equations. J. Acad. Nutr. Diet. 2016, 116, 1413–1422. [Google Scholar] [CrossRef]
- Saul, D.; Steinmetz, G.; Lehmann, W.; Schilling, A.F. Determinants for success in climbing: A systematic review. J. Exerc. Sci. Fit. 2019, 17, 91–100. [Google Scholar] [CrossRef]
- Tinsley, G.M.; Graybeal, A.J.; Moore, M.L. Resting metabolic rate in muscular physique athletes: Validity of existing methods and development of new prediction equations. Appl. Physiol. Nutr. Metab. 2018, 44, 397–406. [Google Scholar] [CrossRef]
- De Lorenzo, A.; Bertini, I.; Candeloro, N.; Piccinelli, R.; Innocente, I.; Brancati, A. A new predictive equation to calculate resting metabolic rate in athletes. J. Sport. Med. Phys. Fit. 1999, 39, 213–219. [Google Scholar]
- Jagim, A.R.; Camic, C.L.; Kisiolek, J.; Luedke, J.; Erickson, J.; Jones, M.T.; Oliver, J.M. Accuracy of Resting Metabolic Rate Prediction Equations in Athletes. J. Strength Cond. Res. 2018, 32, 1875–1881. [Google Scholar] [CrossRef]
- Lane, A.R.; Hackney, A.C.; Smith-Ryan, A.; Kucera, K.; Registar-Mihalik, J.; Ondrak, K. Prevalence of Low Energy Availability in Competitively Trained Male Endurance Athletes. Medicina 2019, 55, 665. [Google Scholar] [CrossRef]
- Monedero, J.; Duff, C.; Egan, B. Dietary Intakes and the Risk of Low Energy Availability in Male and Female Advanced and Elite Rock Climbers. J. Strength Cond. Res. 2022, 37, e8–e15. [Google Scholar] [CrossRef]
- Gibson-Smith, E.; Storey, R.; Ranchordas, M. Dietary Intake, Body Composition and Iron Status in Experienced and Elite Climbers. Front. Nutr. 2020, 7, 122. [Google Scholar] [CrossRef]
- Martinho, D.V.; Naughton, R.J.; Faria, A.; Rebelo, A.; Sarmento, H. Predicting resting energy expenditure among athletes: A systematic review. Biol. Sport 2023, 40, 787–804. [Google Scholar] [CrossRef]
- Draper, N.; Dickson, T.; Blackwell, G.; Fryer, S.; Priestley, S.; Winter, D.; Ellis, G. Self-reported ability assessment in rock climbing. J. Sport. Sci. 2011, 29, 851–858. [Google Scholar] [CrossRef]
- Draper, N.; Giles, D.; Schöffl, V.; Fuss, F.K.; Watts, P.; Wolf, P.; Baláš, J.; Romero, V.E.; Gonzales, G.B.; Fryer, S.; et al. Comparative grading scales, statistical analyses, climber descriptors and ability grouping: International Rock Climbing Research Association position statement. Sport. Technol. 2015, 8, 88–94. [Google Scholar] [CrossRef]
- ten Haaf, T.; Weijs, P.J. Resting energy expenditure prediction in recreational athletes of 18–35 years: Confirmation of Cunningham equation and an improved weight-based alternative. PLoS ONE 2014, 9, e108460. [Google Scholar] [CrossRef]
- Owen, O.E.; Holup, J.L.; D’Alessio, D.A.; Craig, E.S.; Polansky, M.; Smalley, K.J.; Kavle, E.C.; Bushman, M.C.; Owen, L.R.; Mozzoli, M.A.; et al. A reappraisal of the caloric requirements of men. Am. J. Clin. Nutr. 1987, 46, 875–885. [Google Scholar] [CrossRef]
- Owen, O.E.; Kavle, E.; Owen, R.S.; Polansky, M.; Caprio, S.; Mozzoli, M.A.; Kendrick, Z.V.; Bushman, M.C.; Boden, G. A reappraisal of caloric requirements in healthy women. Am. J. Clin. Nutr. 1986, 44, 1–19. [Google Scholar] [CrossRef] [PubMed]
- Roza, A.M.; Shizgal, H.M. The Harris Benedict equation reevaluated: Resting energy requirements and the body cell mass. Am. J. Clin. Nutr. 1984, 40, 168–182. [Google Scholar] [CrossRef] [PubMed]
- Bernstein, R.S.; Thornton, J.C.; Yang, M.U.; Wang, J.; Redmond, A.M.; Pierson, R.N.; Pi-Sunyer, F.X.; Van Itallie, T.B. Prediction of the resting metabolic rate in obese patients. Am. J. Clin. Nutr. 1983, 37, 595–602. [Google Scholar] [CrossRef] [PubMed]
- Revelle, W. How to use the psych package for mediation/moderation/regression analysis. Personal. Proj. 2021. [Google Scholar]
- Sas-Nowosielski, K.; Wycislik, J. Energy and macronutrient intake of advanced polish sport. JPES 2019, 19, 829–832. [Google Scholar] [CrossRef]
- Balci, A.; Badem, E.A.; Yılmaz, A.E.; Devrim-Lanpir, A.; Akınoğlu, B.; Kocahan, T.; Hasanoğlu, A.; Hill, L.; Rosemann, T.; Knechtle, B. Current Predictive Resting Metabolic Rate Equations Are Not Sufficient to Determine Proper Resting Energy Expenditure in Olympic Young Adult National Team Athletes. Front. Physiol. 2021, 12, 625370. [Google Scholar] [CrossRef]
- Frankenfield, D.; Roth-Yousey, L.; Compher, C. Comparison of predictive equations for resting metabolic rate in healthy nonobese and obese adults: A systematic review. J. Am. Diet. Assoc. 2005, 105, 775–789. [Google Scholar] [CrossRef]
- Frings-Meuthen, P.; Henkel, S.; Boschmann, M.; Chilibeck, P.D.; Alvero Cruz, J.R.; Hoffmann, F.; Möstl, S.; Mittag, U.; Mulder, E.; Rittweger, N.; et al. Resting Energy Expenditure of Master Athletes: Accuracy of Predictive Equations and Primary Determinants. Front. Physiol. 2021, 12, 641455. [Google Scholar] [CrossRef]
- Mackay, K.J.; Schofield, K.L.; Sims, S.T.; McQuillan, J.A.; Driller, M.W. The Validity of Resting Metabolic Rate-Prediction Equations and Reliability of Measured RMR in Female Athletes. Int. J. Exerc. Sci. 2019, 12, 886–897. [Google Scholar]
- Strock, N.C.A.; Koltun, K.J.; Mallinson, R.J.; Williams, N.I.; De Souza, M.J. Characterizing the resting metabolic rate ratio in ovulatory exercising women over 12 months. SJMSS 2020, 30, 1337–1347. [Google Scholar] [CrossRef]
- Joubert, L.M.; Gonzalez, G.B.; Larson, A.J. Prevalence of Disordered Eating Among International Sport Lead Rock Climbers. Front. Sport. Act. Living 2020, 2, 86. [Google Scholar] [CrossRef]
- Torstveit, M.K.; Fahrenholtz, I.; Stenqvist, T.B.; Sylta, Ø.; Melin, A. Within-Day Energy Deficiency and Metabolic Perturbation in Male Endurance Athletes. Int. J. Sport Nutr. Exerc. Metab. 2018, 28, 419–427. [Google Scholar] [CrossRef]
- Smith, E.J.; Storey, R.; Ranchordas, M.K. Nutritional Considerations for Bouldering. IJSNEM 2017, 27, 314–324. [Google Scholar] [CrossRef]
- MacKenzie-Shalders, K.L.; Byrne, N.M.; King, N.A.; Slater, G.J. Are increases in skeletal muscle mass accompanied by changes to resting metabolic rate in rugby athletes over a pre-season training period? Eur. J. Sport Sci. 2019, 19, 885–892. [Google Scholar] [CrossRef]





| Equations | RMR Predictive Equations Formula |
|---|---|
| Mifflin–St Jeor BW | 9.99 ∗ BW + 6.25 ∗ H − 4.92 ∗ A + 166 ∗ gender − 161 |
| Mifflin–St Jeor FFM | 19.7 ∗ FFM + 413 |
| Cunningham 1991 | 21.6 ∗ FFM + 370 |
| Cunningham 1980 | 22 ∗ FFM + 500 |
| Harris–Benedict | M: 13.75 ∗ BW + 5 ∗ H – 6.76 ∗ A + 66.47 F: 9.56 ∗ BW + 185 ∗ H − 4.68 ∗ A + 655.1 |
| Owen | M: 879 + 10.2 ∗ BW F: 50.3 + 21.6 ∗ BW |
| WHO/Schoefield | M: 18–30 y = 15.057 × W + 692.2 30–60 y = 11.472 × W + 873.1 F: 18–30 y = 14.818 × W + 486.6 30–60 y = 8.126 × W + 845.6 |
| De Lorenzo | 9 ∗ BW + 11.7 + H−857 |
| Roza–Shigal | M: 88.362 + (13.397 ∗ BW) + (4.799 ∗ H) − (5.677 ∗ A) F: 447.593 + (9.247 ∗ BW) + (3.098 ∗ H) − (4.33 ∗ A) |
| Bernstein | M: 11.02 ∗ BW + 10.23 ∗ H – 5.8 ∗ A − 1032 F: 7.48 ∗ BW + 0.42 ∗ H − 3 ∗ A + 844 |
| Tinsley FFM | 25.9 ∗ FFM + 284 |
| Tinsley BW | 24.8 ∗ BW + 10 |
| ten Haaf FFM | 0.239 (995.272 ∗ FFM + 284) |
| ten Haaf BW | 0.239(49.94 ∗ BW + 24.59 + H − 34.014 ∗ A + 799.257 ∗ gender + 122.502) |
| Measured Parameter | Female (n = 43) | Male (n = 71) | ||
|---|---|---|---|---|
| x ± SD | Min–Max | x ± SD | Min–Max | |
| Age (y) | 30 ± 7.1 | 21–53 | 30.6 ± 6.2 | 18–47 |
| Body mass (kg) | 57.2 ± 6.3 | 42.8–72.5 | 72.4 ± 7.7 | 58.9–92.3 |
| Height (cm) | 166 ± 5.3 | 153–175 | 178,1 ± 6.4 | 166.5–197 |
| Fat-free mass (kg) | 44.3 ± 4 | 36.2–54.3 | 60.3 ± 6 | 49.4–72.3 |
| Body fat (%) | 22 ± 4.7 | 13.1–32.6 | 16.4 ± 4.5 | 5.5–31.5 |
| Body fat (kg) | 13.4 ± 5.5 | 6.4–39.2 | 12.6 ± 6.5 | 4.2–53.6 |
| BMI (kg/m2) | 20.7 ± 1.8 | 17.1–25.7 | 22.7 ± 1.9 | 18.5–29.0 |
| Contraction force right (kg) | 32.8 ± 5.8 | 17.5–49.8 | 48.7 ± 7.8 | 27.5–70.1 |
| Contraction force left (kg) | 29.3 ± 5.9 | 16–42.7 | 45.2 ± 7.8 | 19.3–66.8 |
| Systolic blood pressure (mmHg) | 104.3 ± 12.1 | 69–146 | 122.7 ± 12.6 | 103–165 |
| Diastolic blood pressure (mmHg) | 66.9 ± 10.5 | 34–97 | 73.8 ± 9.8 | 58–114 |
| Pulse (bpm) | 64.3 ± 10.3 | 44–87 | 63.2 ± 11 | 45–101 |
| RMR (kcal) | 1539.16 ± 152 | 1120–1831 | 1992 ± 219.7 | 1542–2714 |
| Equation | Female (n = 43) | Male (n = 71) | ||||||||
|---|---|---|---|---|---|---|---|---|---|---|
| ICC | x ± SD | p | CI − 95 | CI + 95 | ICC | x ± SD | p | CI − 95 | CI + 95 | |
| Mifflin–St Jeor BW | 0.18 | 235.29 ± 158.87 | 0.000 * | 186.40 | 284.19 | 0.29 | 301.03 ± 207.01 | 0.000 * | 252.04 | 350.03 |
| Mifflin–St Jeor FFM | 0.17 | 253.91 ± 156.26 | 0.000 * | 205.82 | 302.00 | 0.26 | 391.28 ± 214.42 | 0.000 * | 340.53 | 442.04 |
| Cunningham 1991 | 0.18 | 212.79 ± 158.78 | 0.000 * | 163.92 | 261.65 | 0.28 | 319.73 ± 217.33 | 0.000 * | 268.29 | 371.17 |
| Cunningham 1980 | 0.18 | 65.07 ± 159.36 | 0.011 | 16.03 | 114.12 | 0.28 | 165.61 ± 218.01 | 0.000 * | 114.01 | 217.22 |
| Harris–Benedict | 0.00 | 67.75 ± 218.66 | 0.049 | 0.46 | 135.05 | 0.33 | 252.62 ± 207.97 | 0.000 * | 203.40 | 301.85 |
| Owen | 0.15 | 328.22 ** | 0.000 * | 192.37 Q1 | 390.65 Q3 | 0.22 | 374.38 | 0.000 * | 325.55 | 423.20 |
| WHO/Schoefield | 0.09 | 292.97 ± 181.63 | 0.000 * | 237.07 | 348.87 | 0.34 | 253.75 ± 201.42 | 0.000 * | 206.07 | 301.42 |
| de Lorenzo | 0.18 | (−)60.69 ± 168.77 | 0.023 | −112.63 | −8.75 | 0.23 | 113.11 ± 221.72 | 0.000 * | 60.63 | 165.59 |
| Roza–Shigal | 0.13 | 178.63 ± 157.06 | 0.000 * | 130.29 | 226.97 | 0.33 | 252.62 ± 207.97 | 0.000 * | 203.40 | 301.85 |
| Bernstein | 0.08 | 428.53 ± 152.86 | 0.000 * | 381.48 | 475.57 | 0.30 | 588.24 ± 215.83 | 0.000 * | 537.15 | 639.32 |
| Tinsley FFM | 0.20 | 108.4 ± 165.68 | 0.000 * | 57.41 | 159.38 | 0.30 | 146.48 ± 225.91 | 0.000 * | 93.01 | 199.95 |
| Tinsley BW | 0.15 | 111.77 ± 202.05 | 0.000 * | 49.58 | 173.94 | 0.34 | 186.09 ± 235.97 | 0.000 * | 130.24 | 241.94 |
| ten Haaf FFM | 0.18 | 46.73 ± 160.5 | 0.063 | −2.67 | 96.12 | 0.28 | 134.94 ± 219.39 | 0.000 * | 83.01 | 186.87 |
| ten Haaf BW | 0.15 | 114.19 ** | 0.000 * | −42.15 Q1 | 194.16 Q3 | 0.33 | 109.55 ± 207.28 | 0.000 * | 60.49 | 158.61 |
Disclaimer/Publisher’s Note: The statements, opinions and data contained in all publications are solely those of the individual author(s) and contributor(s) and not of MDPI and/or the editor(s). MDPI and/or the editor(s) disclaim responsibility for any injury to people or property resulting from any ideas, methods, instructions or products referred to in the content. |
© 2023 by the authors. Licensee MDPI, Basel, Switzerland. This article is an open access article distributed under the terms and conditions of the Creative Commons Attribution (CC BY) license (https://creativecommons.org/licenses/by/4.0/).
Share and Cite
Chmielewska, A.; Kujawa, K.; Regulska-Ilow, B. Accuracy of Resting Metabolic Rate Prediction Equations in Sport Climbers. Int. J. Environ. Res. Public Health 2023, 20, 4216. https://doi.org/10.3390/ijerph20054216
Chmielewska A, Kujawa K, Regulska-Ilow B. Accuracy of Resting Metabolic Rate Prediction Equations in Sport Climbers. International Journal of Environmental Research and Public Health. 2023; 20(5):4216. https://doi.org/10.3390/ijerph20054216
Chicago/Turabian StyleChmielewska, Anna, Krzysztof Kujawa, and Bożena Regulska-Ilow. 2023. "Accuracy of Resting Metabolic Rate Prediction Equations in Sport Climbers" International Journal of Environmental Research and Public Health 20, no. 5: 4216. https://doi.org/10.3390/ijerph20054216
APA StyleChmielewska, A., Kujawa, K., & Regulska-Ilow, B. (2023). Accuracy of Resting Metabolic Rate Prediction Equations in Sport Climbers. International Journal of Environmental Research and Public Health, 20(5), 4216. https://doi.org/10.3390/ijerph20054216

