Lifestyle Score and Risk of Hypertension in the Airwave Health Monitoring Study of British Police Force Employees
Abstract
1. Introduction
2. Materials and Methods
2.1. Study Design
2.2. Clinic Visit
2.3. Socio-Demographic and Lifestyle Data
2.4. Dietary Data
2.5. Nutrient-Rich Food 9.3 Index-Score
2.6. Lifestyle-Score
2.7. Statistical Analysis
3. Results
3.1. Demographic and Lifestyle Characteristics of the Sample
3.2. Association between the Basic Lifestyle-Score and BP/Hypertension
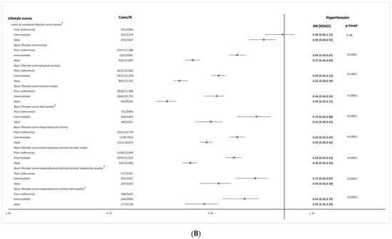
3.3. Association of Individual Lifestyle Factors and Their Combined Scores with BP/Hypertension
3.4. Association of Inclusion of Individual Lifestyle Factors to the Basic Score with BP/Hypertension
3.5. Association of Basic Lifestyle-Score with BP in Sub-Cohorts
4. Discussion
5. Conclusions
Supplementary Materials
Author Contributions
Funding
Institutional Review Board Statement
Informed Consent Statement
Data Availability Statement
Acknowledgments
Conflicts of Interest
References
- GBD 2019 Diseases and Injuries Collaborators. Global burden of 369 diseases and injuries in 204 countries and territories, 1990–2019: A systematic analysis for the Global Burden of Disease Study 2019. Lancet 2020, 396, 1204–1222. [Google Scholar] [CrossRef] [PubMed]
- Carey, R.M.; Muntner, P.; Bosworth, H.B.; Whelton, P.K. Prevention and Control of Hypertension: JACC Health Promotion Series. J. Am. Coll. Cardiol. 2018, 72, 1278–1293. [Google Scholar] [CrossRef] [PubMed]
- Bromfield, S.; Muntner, P. High blood pressure: The leading global burden of disease risk factor and the need for worldwide prevention programs. Curr. Hypertens. Rep. 2013, 15, 134–136. [Google Scholar] [CrossRef] [PubMed]
- Lim, S.S.; Vos, T.; Flaxman, A.D.; Danaei, G.; Shibuya, K.; Adair-Rohani, H.; Amann, M.; Anderson, H.R.; Andrews, K.G.; Aryee, M.; et al. A comparative risk assessment of burden of disease and injury attributable to 67 risk factors and risk factor clusters in 21 regions, 1990–2010: A systematic analysis for the Global Burden of Disease Study 2010. Lancet 2012, 380, 2224–2260. [Google Scholar] [CrossRef] [PubMed]
- Parker, E.D.; Schmitz, K.H.; Jacobs, D.R., Jr.; Dengel, D.R.; Schreiner, P.J. Physical activity in young adults and incident hypertension over 15 years of follow-up: The CARDIA study. Am. J. Public Health 2007, 97, 703–709. [Google Scholar] [CrossRef]
- Svetkey, L.P.; Erlinger, T.P.; Vollmer, W.M.; Feldstein, A.; Cooper, L.S.; Appel, L.J.; Ard, J.D.; Elmer, P.J.; Harsha, D.; Stevens, V.J. Effect of lifestyle modifications on blood pressure by race, sex, hypertension status, and age. J. Hum. Hypertens. 2005, 19, 21–31. [Google Scholar] [CrossRef]
- Walther, D.; Curjuric, I.; Dratva, J.; Schaffner, E.; Quinto, C.; Schmidt-Trucksäss, A.; Eze, I.C.; Burdet, L.; Pons, M.; Gerbase, M.W. Hypertension, diabetes and lifestyle in the long-term—Results from a swiss population-based cohort. Prev. Med. 2017, 97, 56–61. [Google Scholar] [CrossRef]
- Diaz-Gutierrez, J.; Ruiz-Estigarribia, L.; Bes-Rastrollo, M.; Ruiz-Canela, M.; Martin-Moreno, J.M.; Martinez-Gonzalez, M.A. The role of lifestyle behaviour on the risk of hypertension in the SUN cohort: The hypertension preventive score. Prev. Med. 2019, 123, 171–178. [Google Scholar] [CrossRef]
- Loef, M.; Walach, H. The combined effects of healthy lifestyle behaviors on all cause mortality: A systematic review and meta-analysis. Prev. Med. 2012, 55, 163–170. [Google Scholar] [CrossRef]
- Akbarpour, S.; Khalili, D.; Zeraati, H.; Mansournia, M.A.; Ramezankhani, A.; Fotouhi, A. Healthy lifestyle behaviors and control of hypertension among adult hypertensive patients. Sci. Rep. 2018, 8, 8508. [Google Scholar] [CrossRef]
- Hippisley-Cox, J.; Coupland, C.; Vinogradova, Y.; Robson, J.; Minhas, R.; Sheikh, A.; Brindle, P. Predicting cardiovascular risk in England and Wales: Prospective derivation and validation of QRISK2. BMJ 2008, 336, 1475–1482. [Google Scholar] [CrossRef]
- National Institute for Health and Care Excellence Hypertension in Adults: Diagnosis and Management NG136. 2019. Available online: https://www.niceorg.uk/guidance/ng136 (accessed on 11 December 2019).
- Garg, P.K.; O’Neal, W.T.; Chen, L.Y.; Loehr, L.R.; Sotoodehnia, N.; Soliman, E.Z.; Alonso, A. American Heart Association’s Life Simple 7 and Risk of Atrial Fibrillation in a Population Without Known Cardiovascular Disease: The ARIC (Atherosclerosis Risk in Communities) Study. J. Am. Heart Assoc. 2018, 7, e008424. [Google Scholar] [CrossRef]
- Lloyd-Jones, D.M.; Hong, Y.; Labarthe, D.; Mozaffarian, D.; Appel, L.J.; Van Horn, L.; Greenlund, K.; Daniels, S.; Nichol, G.; Tomaselli, G.F.; et al. Defining and setting national goals for cardiovascular health promotion and disease reduction: The American Heart Association’s strategic Impact Goal through 2020 and beyond. Circulation 2010, 121, 586–613. [Google Scholar] [CrossRef]
- Reddy, K.S.; Katan, M.B. Diet, nutrition and the prevention of hypertension and cardiovascular diseases. Public Health Nutr. 2004, 7, 167–186. [Google Scholar] [CrossRef] [PubMed]
- Sleight, P. Smoking and hypertension. Clin. Exp. Hypertens. 1993, 15, 1181–1192. [Google Scholar] [CrossRef] [PubMed]
- Kulkarni, S.; O’Farrell, I.; Erasi, M.; Kochar, M. Stress and hypertension. WMJ Off. Publ. State Med. Soc. Wis. 1998, 97, 34. [Google Scholar]
- Chattu, V.K.; Manzar, M.D.; Kumary, S.; Burman, D.; Spence, D.W.; Pandi-Perumal, S.R. The Global Problem of Insufficient Sleep and Its Serious Public Health Implications. Healthcare 2018, 7, 1. [Google Scholar] [CrossRef]
- Chattu, V.K.; Sakhamuri, S.M.; Kumar, R.; Spence, D.W.; BaHammam, A.S.; Pandi-Perumal, S.R. Insufficient Sleep Syndrome: Is it time to classify it as a major noncommunicable disease? Sleep Sci. 2018, 11, 56–64. [Google Scholar] [CrossRef]
- Gelber, R.P.; Gaziano, J.M.; Manson, J.E.; Buring, J.E.; Sesso, H.D. A prospective study of body mass index and the risk of developing hypertension in men. Am. J. Hypertens. 2007, 20, 370–377. [Google Scholar] [CrossRef]
- Huang, Z.; Willett, W.C.; Manson, J.E.; Rosner, B.; Stampfer, M.J.; Speizer, F.E.; Colditz, G.A. Body weight, weight change, and risk for hypertension in women. Ann. Intern. Med. 1998, 128, 81–88. [Google Scholar] [CrossRef]
- Khaw, K.-T.; Wareham, N.; Bingham, S.; Welch, A.; Luben, R.; Day, N. Combined impact of health behaviours and mortality in men and women: The EPIC-Norfolk prospective population study. PLoS Med. 2008, 5, e12. [Google Scholar]
- Mills, K.T.; Stefanescu, A.; He, J. The global epidemiology of hypertension. Nat. Rev. Nephrol. 2020, 16, 223–237. [Google Scholar] [CrossRef] [PubMed]
- Elliott, P.; Vergnaud, A.-C.; Singh, D.; Neasham, D.; Spear, J.; Heard, A. The Airwave Health Monitoring Study of police officers and staff in Great Britain: Rationale, design and methods. Environ. Res. 2014, 134, 280–285. [Google Scholar] [CrossRef] [PubMed]
- Jones, N.R.; McCormack, T.; Constanti, M.; McManus, R.J. Diagnosis and management of hypertension in adults: NICE guideline update 2019. Br. J. Gen. Pract. 2020, 70, 90–91. [Google Scholar] [CrossRef]
- Landsbergis, P.A.; Schnall, P.L.; Pickering, T.G.; Schwartz, J.E. Validity and reliability of a work history questionnaire derived from the Job Content Questionnaire. J. Occup. Environ. Med. 2002, 44, 1037–1047. [Google Scholar] [CrossRef]
- Ingre, M. Excuse me, but did the IPD-work consortium just “falsify” the job-strain model? Scand. J. Work Environ. Health 2015, 41, 504–505. [Google Scholar] [CrossRef]
- International Physical Activity Questionnaire (2005) International. Physical Activity Questionnaire Scoring Protocol 2005. Available online: http://www.ipaq.ki.se/scoring.htm (accessed on 1 October 2014).
- Nelson, M.; Haraldsdóttir, J. Food photographs: Practical guidelines II. Development and use of photographic atlases for assessing food portion size. Public Health Nutr. 1998, 1, 231–237. [Google Scholar] [CrossRef]
- Gibson, R.; Eriksen, R.; Lamb, K.; McMeel, Y.; Vergnaud, A.-C.; Spear, J.; Aresu, M.; Chan, Q.; Elliott, P.; Frost, G. Dietary assessment of British police force employees: A description of diet record coding procedures and cross-sectional evaluation of dietary energy intake reporting (The Airwave Health Monitoring Study). BMJ Open 2017, 7, e012927. [Google Scholar] [CrossRef]
- Finglas, P.M.; Roe, M.A.; Pinchen, H.M.; Berry, R.; Church, S.M. McCance and Widdowson’s The Composition of Foods; Seventh summary edition; The Royal Society of Chemistry: Cambridge, UK, 2015. [Google Scholar]
- Drewnowski, A. Defining nutrient density: Development and validation of the nutrient rich foods index. J. Am. Coll. Nutr. 2009, 28, 421s–426s. [Google Scholar] [CrossRef]
- Fulgoni, V.L., 3rd; Keast, D.R.; Drewnowski, A. Development and validation of the nutrient-rich foods index: A tool to measure nutritional quality of foods. J. Nutr. 2009, 139, 1549–1554. [Google Scholar] [CrossRef]
- Lear, S.A.; James, P.T.; Ko, G.T.; Kumanyika, S. Appropriateness of waist circumference and waist-to-hip ratio cutoffs for different ethnic groups. Eur. J. Clin. Nutr. 2010, 64, 42–61. [Google Scholar] [CrossRef] [PubMed]
- Strath, S.J.; Kaminsky, L.A.; Ainsworth, B.E.; Ekelund, U.; Freedson, P.S.; Gary, R.A.; Richardson, C.R.; Smith, D.T.; Swartz, A.M. Guide to the Assessment of Physical Activity: Clinical and Research Applications. Circulation 2013, 128, 2259–2279. [Google Scholar] [CrossRef] [PubMed]
- Watson, N.F.; Badr, M.S.; Belenky, G.; Bliwise, D.L.; Buxton, O.M.; Buysse, D.; Dinges, D.F.; Gangwisch, J.; Grandner, M.A.; Kushida, C.; et al. Joint Consensus Statement of the American Academy of Sleep Medicine and Sleep Research Society on the Recommended Amount of Sleep for a Healthy Adult: Methodology and Discussion. Sleep 2015, 38, 1161–1183. [Google Scholar] [CrossRef]
- Aljuraiban, G.S.; Chan, Q.; Oude Griep, L.M.; Brown, I.J.; Daviglus, M.L.; Stamler, J.; Van Horn, L.; Elliott, P.; Frost, G.S. The impact of eating frequency and time of intake on nutrient quality and Body Mass Index: The INTERMAP Study, a Population-Based Study. J. Acad. Nutr. Diet 2015, 115, 528–536. [Google Scholar] [CrossRef] [PubMed]
- Black, A.E. Critical evaluation of energy intake using the Goldberg cut-off for energy intake:basal metabolic rate. A practical guide to its calculation, use and limitations. Int. J. Obes. 2000, 24, 1119–1130. [Google Scholar] [CrossRef]
- Ogedegbe, G.; Gyamfi, J.; Plange-Rhule, J.; Surkis, A.; Rosenthal, D.M.; Airhihenbuwa, C.; Iwelunmor, J.; Cooper, R. Task shifting interventions for cardiovascular risk reduction in low-income and middle-income countries: A systematic review of randomised controlled trials. BMJ Open 2014, 4, e005983. [Google Scholar] [CrossRef]
- Tasnim, S.; Tang, C.; Musini, V.M.; Wright, J.M. Effect of alcohol on blood pressure. Cochrane Database Syst. Rev. 2020, 7, Cd012787. [Google Scholar] [CrossRef]
- Vadstrup, E.S.; Petersen, L.; Sørensen, T.I.A.; Grønbæk, M. Waist circumference in relation to history of amount and type of alcohol: Results from the Copenhagen City Heart Study. Int. J. Obes. 2003, 27, 238–246. [Google Scholar] [CrossRef]
- Friedman, G.D.; Tekawa, I.; Klatsky, A.L.; Sidney, S.; Armstrong, M.A. Alcohol drinking and cigarette smoking: An exploration of the association in middle-aged men and women. Drug Alcohol Depend. 1991, 27, 283–290. [Google Scholar] [CrossRef]
- Wakabayashi, I. Associations between heavy alcohol drinking and lipid-related indices in middle-aged men. Alcohol 2013, 47, 637–642. [Google Scholar] [CrossRef]
- Barone Gibbs, B.; Hivert, M.-F.; Jerome, G.J.; Kraus, W.E.; Rosenkranz, S.K.; Schorr, E.N.; Spartano, N.L.; Lobelo, F.; Lifestyle, A.H.A.C.O.; Health, C.; et al. Physical Activity as a Critical Component of First-Line Treatment for Elevated Blood Pressure or Cholesterol: Who, What, and How?: A Scientific Statement From the American Heart Association. Hypertension 2021, 78, e26–e37. [Google Scholar] [CrossRef] [PubMed]
- Kay, S.; Fiatarone Singh, M. The influence of physical activity on abdominal fat: A systematic review of the literature. Obes. Rev. 2006, 7, 183–200. [Google Scholar] [CrossRef] [PubMed]
- Romaguera, D.; Ängquist, L.; Du, H.; Jakobsen, M.U.; Forouhi, N.G.; Halkjær, J.; Feskens, E.J.; van der A, D.L.; Masala, G.; Steffen, A. Food composition of the diet in relation to changes in waist circumference adjusted for body mass index. PLoS ONE 2011, 6, e23384. [Google Scholar] [CrossRef] [PubMed]
- van Den Berg, J.F.; Miedema, H.M.; Tulen, J.H.; Neven, A.K.; Hofman, A.; Witteman, J.C.; Tiemeier, H. Long sleep duration is associated with serum cholesterol in the elderly: The Rotterdam Study. Psychosom. Med. 2008, 70, 1005–1011. [Google Scholar] [CrossRef] [PubMed]
- Craig, W.Y.; Palomaki, G.E.; Haddow, J.E. Cigarette smoking and serum lipid and lipoprotein concentrations: An analysis of published data. Br. Med. J. 1989, 298, 784–788. [Google Scholar] [CrossRef]
- Brien, S.E.; Ronksley, P.E.; Turner, B.J.; Mukamal, K.J.; Ghali, W.A. Effect of alcohol consumption on biological markers associated with risk of coronary heart disease: Systematic review and meta-analysis of interventional studies. BMJ 2011, 342, d636. [Google Scholar] [CrossRef]
- Appel, L.J.; Champagne, C.M.; Harsha, D.W.; Cooper, L.S.; Obarzanek, E.; Elmer, P.J.; Stevens, V.J.; Vollmer, W.M.; Lin, P.H.; Svetkey, L.P.; et al. Effects of comprehensive lifestyle modification on blood pressure control: Main results of the PREMIER clinical trial. JAMA 2003, 289, 2083–2093. [Google Scholar] [CrossRef]
- Liu, K.; Daviglus, M.L.; Loria, C.M.; Colangelo, L.A.; Spring, B.; Moller, A.C.; Lloyd-Jones, D.M. Healthy Lifestyle Through Young Adulthood and the Presence of Low Cardiovascular Disease Risk Profile in Middle Age. Circulation 2012, 125, 996–1004. [Google Scholar] [CrossRef]



| Goal/Factor | Poor | Intermediate | Ideal |
|---|---|---|---|
| Waist-circumference | Male: >102 cm, Female: >88 cm (White); Male: >90 cm, Female: >88 cm (other ethnic groups) | Male: ≥94 to ≤102 cm, Female: ≥80 to ≤88 cm (White); Male: ≥85 to ≤90 cm, Female: ≥80 to ≤88 cm (other ethnic groups) | Male: <94 cm, Female: <80 cm (White); Male: <85 cm, Female: <80 cm (other ethnic groups) |
| Smoking status | Current | Former < 12 months | Never or quit ≥ 12 months |
| Total serum cholesterol | ≥240 mg/dL | 200–239 mg/dL | <200 mg/dL |
| Additional lifestyle factors | |||
| Sleep duration | 5 h or less or 9 h or more | 6 h | 7 and 8 h |
| Physical activity | None | Recreational walking 1 to 8 h a week or practicing physical activity and sports activities for 1 to 4 h a week | Recreational walking for 8 h or more a week or practicing physical activity and sports activities for more than 4 h a week |
| Alcohol intake | Current | Former < 12 months | Never or quit ≥ 12 months |
| Diet quality (nutrient-rich food index 9.3) score | ≤16 | 16–25 | >25 |
| Poor (0–3) | Intermediate (4) | Ideal (5–6) | Total | |
|---|---|---|---|---|
| n | 12,248 (30%) | 10,315 (26%) | 17,899 (44%) | 40,462 |
| Median basic lifestyle score | 3 | 4 | 5 | 4 |
| Male (%) | 64.3 | 64.1 | 62.3 | 63.3 |
| Age (y) | 43.3 (43.2, 43.5) | 41.0 (40.9, 41.2) | 37.6 (37.5, 37.8) | 40.5 (8.9) |
| Ethnicity (%) | ||||
| White | 93.1 | 94.3 | 96.1 | 94.8 |
| Marital status (%) | ||||
| Cohabiting | 14.3 | 15.7 | 19.8 | 17.1 |
| Married | 64.8 | 63.2 | 56.9 | 60.9 |
| Divorced/separated | 9.5 | 8.6 | 7.0 | 8.1 |
| Single | 9.5 | 10.6 | 13.6 | 11.6 |
| Missing | 2.0 | 1.9 | 2.8 | 2.3 |
| Education (%) | ||||
| Left school before taking GCSE | 6.0 | 3.9 | 2.2 | 3.8 |
| GCSE or equivalent | 34.7 | 31.3 | 25.5 | 29.8 |
| Vocational qualifications | 7.7 | 7.3 | 6.4 | 7.0 |
| A levels/higher or equivalent | 29.8 | 31.6 | 33.0 | 31.6 |
| Bachelor’s degree or equivalent | 15.9 | 19.6 | 25.8 | 21.2 |
| Postgraduate qualifications | 5.9 | 6.3 | 7.2 | 6.6 |
| Annual household income (%) | ||||
| Less than £26,000 | 7.6 | 7.2 | 6.4 | 6.9 |
| £26,000–£37,999 | 17.4 | 16.9 | 17.7 | 17.4 |
| £38,000–£57,999 | 37.9 | 37.7 | 37.0 | 37.4 |
| £58,000–£77,999 | 24.1 | 24.9 | 25.6 | 25.0 |
| More than £78,000 | 13.0 | 13.4 | 13.5 | 13.3 |
| Employment (force) country (%) | ||||
| England | 66.9 | 69.3 | 71.6 | 69.6 |
| Scotland | 16.7 | 15.8 | 15.2 | 15.8 |
| Wales | 14.6 | 13.0 | 11.4 | 12.8 |
| Missing | 1.8 | 1.9 | 1.8 | 1.8 |
| Job Strain | ||||
| Low (high control, low demand) | 23.5 | 23.2 | 24.1 | 23.7 |
| Active/passive (high demand, high control) | 49.5 | 49.8 | 49.0 | 49.4 |
| High (high demand, low control) (%) | 27.0 | 27.0 | 26.9 | 27.0 |
| Physical activity (%) | ||||
| Low | 33.7 | 28.2 | 21.3 | 26.8 |
| Moderate | 10.0 | 10.4 | 9.7 | 10.0 |
| High | 56.3 | 61.4 | 69.0 | 63.2 |
| Smoking status (%) | ||||
| Current | 21.6 | 8.6 | 0.0 | 8.8 |
| Former (<12 months) | 38.5 | 24.7 | 11.8 | 23.2 |
| Never or quit (≥12 months) | 39.8 | 66.7 | 88.2 | 68.0 |
| Sleep duration (%) | ||||
| 5 h or less, 9 h or more | 11.4 | 10.1 | 8.4 | 9.8 |
| 6 h | 31.3 | 29.8 | 26.2 | 28.7 |
| 7–8 h | 57.3 | 60.1 | 65.4 | 61.5 |
| Alcohol intake (%) | ||||
| Current | 90.8 | 91.0 | 91.0 | 90.9 |
| Former (<12 months) | 6.6 | 6.4 | 6.2 | 6.4 |
| Never or quit (≥12 months) | 2.6 | 2.7 | 2.8 | 2.7 |
| Systolic BP (mmHg) | 131.9 (131.6, 132.1) | 128.8 (128.6, 129.1) | 125.6 (125.4, 125.8) | 129.9 (15.2) |
| Diastolic BP (mmHg) | 81.9 (81.8, 82.1) | 79.3 (79.2, 79.5) | 75.9 (75.8, 76.0) | 79.2 (10.1) |
| BMI (kg/m2) | 29.7 (29.7, 29.8) | 27.5 (27.4, 27.6) | 24.9 (24.8, 24.9) | 27.2 (4.2) |
| Waist-circumference (cm) | 96.2 (96.0, 96.4) | 89.7 (89.5, 89.9) | 82.0 (81.9, 82.2) | 89.8 (12.4) |
| Total cholesterol (mg/dL) | 227.6 (226.9, 228.3) | 201.0 (200.3, 201.8) | 180.8 (180.2, 181.4) | 201.4 (45.2) |
| Nutrients c | ||||
| n | 3372 | 3372 | 1801 | |
| Total energy (kcal) | 1977 (1962, 1992) | 1820 (1805, 1834) | 1693 (1673, 1712) | 1895 (480) |
| Carbohydrates (%) | 46 (46, 47) | 46 (46, 47) | 47 (47, 48) | 47 (7) |
| Protein (%) | 16 (15, 16) | 17 (16, 17) | 19 (19, 20) | 17 (3) |
| Fat (%) | 36 (35, 36) | 33 (33, 34) | 30 (30, 31) | 34 (6) |
| NRF9.3 index score | 11.7 (10.8, 11.2) | 20.5 (20.3, 20.6) | 32.3 (32.1, 32.5) | 19.5 (8.5) |
| NRF9.3 index score components (per 1000 kcal) | ||||
| Protein (g) | 38 (38, 39) | 43 (42, 43) | 48 (47, 48) | 43 (8) |
| Fiber (g) | 8 (7, 8) | 10 (9, 10) | 12 (10, 11) | 9 (3) |
| Vitamin A (IU) | 1226 (1183, 1268) | 1515 (1475, 1556) | 2388 (2332, 2443) | 1543 (1246) |
| Vitamin E (mg) | 4 (3, 4) | 4 (3, 4) | 5 (4, 5) | 4 (1) |
| Vitamin C (mg) | 32 (30, 32) | 49 (48, 50) | 81 (80, 82) | 48 (29) |
| Calcium (mg) | 434 (430, 438) | 464 (460, 468) | 498 (493, 503) | 452 (109) |
| Magnesium (mg) | 132 (131, 133) | 156 (156, 157) | 184 (182, 185) | 152 (31) |
| Iron (mg) | 6 (5, 6) | 6 (5, 6) | 7 (6, 7) | 6 (2) |
| Potassium (mg) | 1434 (1425, 1443) | 1696 (1687, 1704) | 2027 (2016, 2039) | 1630 (335) |
| Saturated fatty acid (g) | 16 (15, 16) | 13 (13, 14) | 11 (11, 12) | 14 (3) |
| Total sugar (g) | 48 (47, 48) | 47 (46, 47) | 51 (50, 51) | 48 (15) |
| Total sodium (mg) | 1452 (1441, 1464) | 1452 (1441, 1462) | 1425 (1410, 1440) | 1420 (312) |
| Systolic Blood Pressure (mmHg) | Diastolic Blood Pressure (mmHg) | |
|---|---|---|
| Mean difference (95%CI) | Mean difference (95%CI) | |
| Basic lifestyle score (waist-circumference + smoking + cholesterol) | ||
| Model 1 | −2.07 (−2.16, −1.97) *** | −2.01 (−2.08, −1.94) *** |
| Model 2 | −2.05 (−2.15, −1.95) *** | −1.98 (−2.05, −1.91) *** |
| Model 3 | −2.05 (−2.15, −1.95) *** | −1.98 (−2.05, −1.92) *** |
| Individual lifestyle risk factors | ||
| Waist-circumference | ||
| Model 1 | −3.57 (−3.73, −3.40) *** | −3.55 (−3.66, −3.43) *** |
| Model 2 | −3.63 (−3.80, −3.47) *** | −3.53 (−3.64, −3.42) *** |
| Smoking | ||
| Model 1 | −0.14 (−0.35, 0.06) | −0.24 (−0.38, −0.10) ** |
| Model 2 | −0.07 (−0.27, 0.14) | −0.23 (−0.38, −0.09) ** |
| Total serum cholesterol | ||
| Model 1 | −2.66 (−2.84, −2.47) *** | −2.42 (−2.56, −2.29) *** |
| Model 2 | −2.59 (−2.78, −2.40) *** | −2.36 (−2.49, −2.23) *** |
| Sleep | ||
| Model 1 | −0.05 (−0.25, 0.15) | −0.38 (−0.52, −0.25) *** |
| Model 2 | −0.06 (−0.26, 0.14) | −0.39 (−0.52, −0.25) *** |
| Physical activity | ||
| Model 1 | −0.12 (−0.27, 0.04) | −0.94 (−1.05, −0.84) *** |
| Model 2 | −0.12 (−0.27, 0.04) | −0.94 (−1.05, −0.84) *** |
| Alcohol intake | ||
| Model 1 | −0.76 (−1.09, −0.43) *** | −0.67 (−0.90, −0.44) *** |
| Model 2 | −0.57 (−0.91, −0.24) ** | −0.60 (−0.83, −0.36) *** |
| Diet quality | ||
| Model 1 | −0.13 (−0.71, −0.02) * | −0.53 (−0.71, −0.35) *** |
| Model 2 | −0.02 (−0.29, 0.24) | −0.51 (−0.70, −0.33) *** |
| Combined lifestyle score (sleep + physical activity + alcohol intake + diet quality) c | ||
| Model 1 | −0.19 (−0.37, −0.02) * | −0.63 (−0.75, −0.51) *** |
| Model 2 | −0.18 (−0.36, −0.01) * | −0.62 (−0.74, −0.51) *** |
| Stepwise inclusion of individual lifestyle factors to the basic score | ||
| Basic lifestyle score + sleep | ||
| Model 1 | −1.57 (−1.66, −1.49) *** | −1.60 (−1.66, −1.54) *** |
| Model 2 | −1.57 (−1.66, −1.48) *** | −1.58 (−1.64, −1.53) *** |
| Basic lifestyle score + physical activity | ||
| Model 1 | −1.34 (−1.42, −1.26) *** | −1.53 (−1.59, −1.48) *** |
| Model 2 | −1.33 (−1.41, −1.25) *** | −1.52 (−1.57, −1.47) *** |
| Basic lifestyle score + alcohol intake | ||
| Model 1 | −1.95 (−2.05, −1.86) *** | −1.90 (−1.96, −1.83) *** |
| Model 2 | −1.91 (−2.00, −1.81) *** | −1.85 (−1.92, −1.79) *** |
| Basic lifestyle score + diet quality | ||
| Model 1 | −1.41 (−1.59, −1.22) *** | −1.48 (−1.60, −1.36) *** |
| Model 2 | −1.42 (−1.61, −1.24) *** | −1.48 (−1.60, −1.35) *** |
| Basic lifestyle score + sleep + physical activity | ||
| Model 1 | −1.10 (−1.18, −1.03) *** | −1.31 (−1.36, −1.26) *** |
| Model 2 | −1.10 (−1.17, −1.02) *** | −1.39 (−1.44, −1.34) *** |
| Basic lifestyle score + sleep + physical activity + alcohol intake | ||
| Model 1 | −1.10 (−1.17, −1.03) *** | −1.29 (−1.33, −1.24) *** |
| Model 2 | −1.07 (−1.14, −1.00) *** | −1.27 (−1.32, −1.22) *** |
| Basic lifestyle score + sleep + physical activity + alcohol intake + diet quality c | ||
| Model 1 | −0.77 (−0.90, −0.65) *** | −1.00 (−1.05, −0.88) *** |
| Model 2 | −0.78 (−0.90, −0.65) *** | −1.00 (−1.05, −0.88) *** |
| Basic lifestyle score + sleep + physical activity + diet quality | ||
| Model 1 | −0.91 (−1.05, −0.77) *** | −1.11 (−1.21, −1.02) *** |
| Model 2 | −0.92 (−1.06, −0.77) *** | −1.11 (−1.21, −1.02) *** |
| Model 3 | −0.91 (−1.05, −0.77) *** | −1.11 (−1.21, −1.02) *** |
Disclaimer/Publisher’s Note: The statements, opinions and data contained in all publications are solely those of the individual author(s) and contributor(s) and not of MDPI and/or the editor(s). MDPI and/or the editor(s) disclaim responsibility for any injury to people or property resulting from any ideas, methods, instructions or products referred to in the content. |
© 2023 by the authors. Licensee MDPI, Basel, Switzerland. This article is an open access article distributed under the terms and conditions of the Creative Commons Attribution (CC BY) license (https://creativecommons.org/licenses/by/4.0/).
Share and Cite
Aljuraiban, G.S.; Gibson, R.; Chan, D.S.M.; Elliott, P.; Chan, Q.; Griep, L.M.O. Lifestyle Score and Risk of Hypertension in the Airwave Health Monitoring Study of British Police Force Employees. Int. J. Environ. Res. Public Health 2023, 20, 4029. https://doi.org/10.3390/ijerph20054029
Aljuraiban GS, Gibson R, Chan DSM, Elliott P, Chan Q, Griep LMO. Lifestyle Score and Risk of Hypertension in the Airwave Health Monitoring Study of British Police Force Employees. International Journal of Environmental Research and Public Health. 2023; 20(5):4029. https://doi.org/10.3390/ijerph20054029
Chicago/Turabian StyleAljuraiban, Ghadeer S., Rachel Gibson, Doris S. M. Chan, Paul Elliott, Queenie Chan, and Linda M. Oude Griep. 2023. "Lifestyle Score and Risk of Hypertension in the Airwave Health Monitoring Study of British Police Force Employees" International Journal of Environmental Research and Public Health 20, no. 5: 4029. https://doi.org/10.3390/ijerph20054029
APA StyleAljuraiban, G. S., Gibson, R., Chan, D. S. M., Elliott, P., Chan, Q., & Griep, L. M. O. (2023). Lifestyle Score and Risk of Hypertension in the Airwave Health Monitoring Study of British Police Force Employees. International Journal of Environmental Research and Public Health, 20(5), 4029. https://doi.org/10.3390/ijerph20054029

