Does Lactate-Guided Threshold Interval Training within a High-Volume Low-Intensity Approach Represent the “Next Step” in the Evolution of Distance Running Training?
Abstract
1. Introduction
2. Historical Trends in Distance Runners’ Training Principles
3. External and Internal Training Load in Distance Running
4. Training Volume and Intensity Distribution Analysis in Runners Based on Their Internal Response to Exercise
- The pyramidal model is characterized by a decreasing training volume from z1 to z2 and z3, respectively. Approximately 70–80% of volume is covered in z1, with the remaining 20–30% in z2 and z3 [50].
- The polarized model is characterized by the completion of approximately 80% of the volume at z1, with most of the remaining 20% covered at z3 and as little training as possible in z2 [50].
- The threshold model features a greater proportion of overall volume conducted in z2 (i.e., >35%) than other models.
5. Physiological and Performance Development Using Lactate-Guided Threshold Interval Training (LTIT) within a High-Volume Low-Intensity Approach
5.1. Physiological Mechanisms Underpinning the Effectiveness of the Use of High Training Volume at Low Intensity
5.2. Physiological Mechanisms Explaining the Effectiveness of LT2 Intensity Training
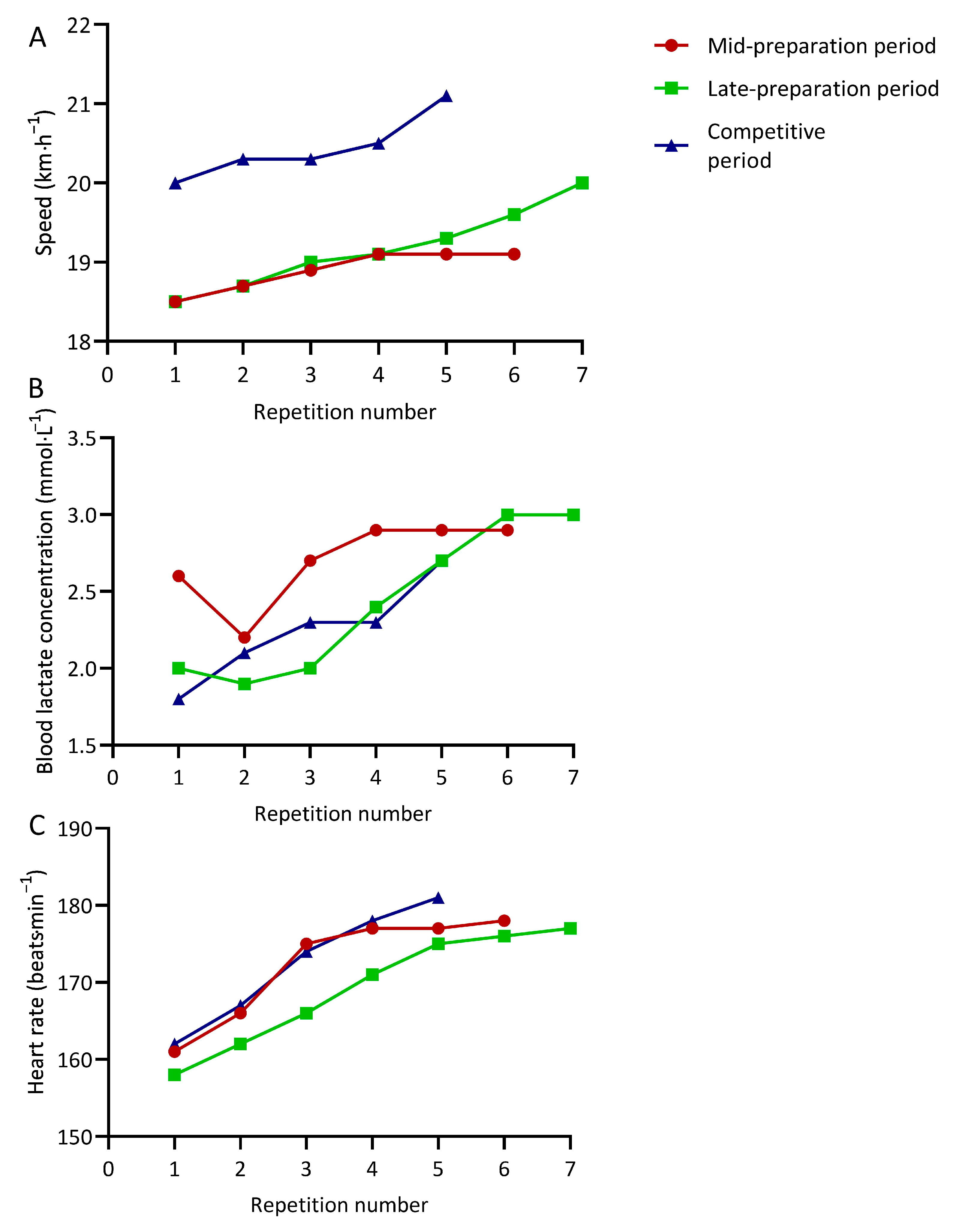
5.3. Potential Benefits of Lactate-Guided Threshold Interval Training
6. Putting This Training Model into Practice
7. Limitations, Future Studies, and Practical Applications
- The allowance of a greater number of ‘high-intensity’ sessions compared with adopting a usual z4 interval training-based approach.
- Achieving pre-established goals of internal load during the training session.
- The possibility of adjusting and individualizing the specific training sessions within the model framework in a periodized approach (i.e., month by month, year by year, etc.). In this way, it is possible to accurately monitor not only the training adaptations being achieved without the need of specific tests but also the response to the different sessions through [BLa] measurements and make individual adjustments to the training program on the basis of this information.
- Adaptation to altitude training while preventing excessive internal training loads derived from low air’s O2 partial pressure, given that [BLa] monitoring ensures that internal load remains at the pre-established levels.
Author Contributions
Funding
Institutional Review Board Statement
Informed Consent Statement
Data Availability Statement
Acknowledgments
Conflicts of Interest
References
- Tjelta, L.I. Three Norwegian Brothers All European 1500 m Champions: What Is the Secret? Int. J. Sport. Sci. Coach. 2019, 14, 694–700. [Google Scholar] [CrossRef]
- Casado, A.; Hanley, B.; Santos-Concejero, J.; Ruiz-Pérez, L.M. World-Class Long-Distance Running Performances Are Best Predicted by Volume of Easy Runs and Deliberate Practice of Short-Interval and Tempo Runs. J. Strength Cond. Res. 2021, 35, 2525–2531. [Google Scholar] [CrossRef]
- Kenneally, M.; Casado, A.; Santos-Concejero, J. The Effect of Periodization and Training Intensity Distribution on Middle-and Long-Distance Running Performance: A Systematic Review. Int. J. Sport. Physiol. Perform. 2018, 13, 1114–1121. [Google Scholar] [CrossRef] [PubMed]
- Foster, C. VO2max and Training Indices as Determinants of Competitive Running Performance. J. Sport. Sci. 1983, 1, 13–22. [Google Scholar] [CrossRef]
- Noakes, T.D.; Myburgh, K.H.; Schall, R. Peak Treadmill Running Velocity during the Vo2 Max Test Predicts Running Performance. J. Sport. Sci. 1990, 8, 35–45. [Google Scholar] [CrossRef]
- Ingham, S.A.; Whyte, G.P.; Pedlar, C.; Bailey, D.M.; Dunman, N.; Nevill, A.M. Determinants of 800-m and 1500-m Running Performance Using Allometric Models. Med. Sci. Sport. Exerc. 2008, 40, 345–350. [Google Scholar] [CrossRef]
- Conley, D.L.; Krahenbuhl, G.S. Running Economy and Distance Running Performance of Highly Trained Athletes. Med. Sci. Sport. Exerc. 1980, 12, 357–360. [Google Scholar] [CrossRef]
- Morgan, D.W.; Martin, P.E.; Krahenbuhl, G.S. Factors Affecting Running Economy. Sport. Med. 1989, 7, 310–330. [Google Scholar] [CrossRef]
- Foster, C.; Lucia, A. Running Economy: The Forgotten Factor in Elite Performance. Sport. Med. 2007, 37, 316–319. [Google Scholar] [CrossRef] [PubMed]
- Bassett, D.R.; Howley, E.T. Limiting Factors for Maximum Oxygen Uptake and Determinants of Endurance Performance. Med. Sci. Sport. Exerc. 2000, 32, 70–84. [Google Scholar] [CrossRef]
- Noakes, T. Physiological Capacity of the Elite Runner. In Running&Science—In An Interdisciplinary Perspective; Bangsbo, J., Larsen, H.B., Eds.; Institute of Exercise and Sport Sciences, University of Copenhagen: Copenhagen, Denmark, 2001; pp. 19–47. [Google Scholar]
- Jones, A.M.; Kirby, B.S.; Clark, I.E.; Rice, H.M.; Fulkerson, E.; Wylie, L.J.; Wilkerson, D.P.; Vanhatalo, A.; Wilkins, B.W. Physiological Demands of Running at 2-Hour Marathon Race Pace. J. Appl. Physiol. 2021, 130, 369–379. [Google Scholar] [CrossRef]
- Billat, L.V. Use of Blood Lactate Measurements for Prediction of Exercise Performance and for Control of Training. Recommendations for Long-Distance Running. Sport. Med. 1996, 22, 157–175. [Google Scholar] [CrossRef]
- Faude, O.; Kindermann, W.; Meyer, T. Lactate Threshold Concepts. Sport. Med. 2009, 39, 469–490. [Google Scholar] [CrossRef] [PubMed]
- Tolfrey, K.; Hansen, S.A.; Dutton, K.; McKee, T.; Jones, A.M. Physiological Correlates of 2-Mile Run Performance as Determined Using a Novel on-Demand Treadmill. Appl. Physiol. Nutr. Metab. 2009, 34, 763–772. [Google Scholar] [CrossRef]
- Daniels, J.; Scardina, N. Interval Training and Performance. Sport. Med. 1984, 1, 327–334. [Google Scholar] [CrossRef]
- Bosquet, L.; Léger, L.; Legros, P. Methods to Determine Aerobic Endurance. Sport. Med. 2002, 32, 675–700. [Google Scholar] [CrossRef]
- Joyner, M.J.; Coyle, E.F. Endurance Exercise Performance: The Physiology of Champions. J. Physiol. 2008, 586, 35–44. [Google Scholar] [CrossRef] [PubMed]
- Midgley, A.W.; McNaughton, L.R.; Jones, A.M. Training to Enhance the Physiological Determinants of Long-Distance Running Performance: Can Valid Recommendations Be given to Runners and Coaches Based on Current Scientific Knowledge? Sport. Med. 2007, 37, 857–880. [Google Scholar] [CrossRef]
- Brandon, L.J. Physiological Factors Associated with Middle Distance Running Performance. Sport. Med. 1995, 19, 268–277. [Google Scholar] [CrossRef]
- Seiler, K.S.; Kjerland, G.Ø. Quantifying Training Intensity Distribution in Elite Endurance Athletes: Is There Evidence for an “Optimal” Distribution? Scand. J. Med. Sci. Sport. 2006, 16, 49–56. [Google Scholar] [CrossRef] [PubMed]
- Seiler, S.; Tønnessen, E. Intervals, Thresholds, and Long Slow Distance: The Role of Intensity and Duration in Endurance Training. Training 2009, 13, 32–53. [Google Scholar]
- Grant, G. No Short-Cuts to the Top. In Athletics Weekly; Descartes. Publishing Ltd.: Peterborough, UK, 2009; p. 26. [Google Scholar]
- Foster, C.; Casado, A.; Esteve-Lanao, J.; Haugen, T.; Seiler, S. Polarized Training Is Optimal for Endurance Athletes. Med. Sci. Sport. Exerc. 2022, 54, 1028–1031. [Google Scholar] [CrossRef] [PubMed]
- Burnley, M.; Bearden, S.E.; Jones, A.M. Polarized Training Is Not Optimal for Endurance Athletes. Med. Sci. Sport. Exerc. 2022, 54, 1032–1034. [Google Scholar] [CrossRef]
- Lydiard, A.; Gilmour, G. Running to the Top; Meyer & Meyer Sport: Aachen, Germany, 1997. [Google Scholar]
- Brook, N. Endurance Running Events; British Athletics Federation: Birmingham, England, 1992. [Google Scholar]
- Martin, D.E.; Coe, P.N. Training Distance Runners; Leisure Press: Champaign, IL, USA, 1991. [Google Scholar]
- Van Aaken, E. Van Aaken Method: Finding the Endurance to Run Faster and Live Healthier; World Publications: Mountain View, CA, USA, 1976. [Google Scholar]
- Dellinger, B.; Freeman, B. The Competitive Runners Book; Collier Books: Springfield, OH, USA, 1984. [Google Scholar]
- Billat, V.L. Interval Training for Performance: A Scientific and Empirical Practice. Special Recommendations for Middle- and Long-Distance Running. Part I: Aerobic Interval Training. Sport. Med. 2001, 31, 75–90. [Google Scholar] [CrossRef]
- Holmer, G. Veien Til Rekorden; Instruksjonsbok i Friidrett: Oslo, Norway, 1947. [Google Scholar]
- Temple, C. Cross Country and Road Running; Stanley Paul: London, UK, 1980. [Google Scholar]
- Burfoot, A. Training the Hard/Easy Way. Run. World 1981, 16, 57–105. [Google Scholar]
- Ferreira, P. Experience in Oporto. Track Field Q. Rev. 1983, 83, 38–41. [Google Scholar]
- Moritani, T.; DeVries, H.A. Neural Factors versus Hypertrophy in the Time Course of Muscle Strength Gain. Am. J. Phys. Med. 1979, 58, 115–130. [Google Scholar]
- Casado, A.; Tjelta, L.I. Training Volume and Intensity Distribution among Elite Middle- and Long-Distance Runners. In The Science and Practice of Middle- and Long-Distance Running; Blagrove, R., Hayes, P., Eds.; Routledge: New York, NY, USA, 2021. [Google Scholar]
- Tjelta, L.I. The Training of International Level Distance Runners. Int. J. Sport. Sci. Coach 2016, 11, 122–134. [Google Scholar] [CrossRef]
- Kaggestad, J. So Trainiert Ingrid Kristiansen 1986. Leichtatletik 1987, 38, 831–834. [Google Scholar]
- Jones, A.M. The Physiology of the World Record Holder for the Women’s Marathon. Int. J. Sport. Sci. Coach 2006, 1, 101–116. [Google Scholar] [CrossRef]
- Billat, V.; Lepretre, P.M.; Heugas, A.M.; Laurence, M.H.; Salim, D.; Koralsztein, J.P. Training and Bioenergetic Characteristics in Elite Male and Female Kenyan Runners. Med. Sci. Sport. Exerc. 2003, 35, 297–304. [Google Scholar] [CrossRef]
- Impellizzeri, F.M.; Marcora, S.M.; Coutts, A.J. Internal and External Training Load: 15 Years On. Int. J. Sport. Physiol. Perform. 2019, 14, 270–273. [Google Scholar] [CrossRef] [PubMed]
- Kindermann, W.; Simon, G.; Keul, J. The Significance of the Aerobic-Anaerobic Transition for the Determination of Work Load Intensities during Endurance Training. Eur. J. Appl. Physiol. Occup. Physiol. 1979, 42, 25–34. [Google Scholar] [CrossRef] [PubMed]
- Skinner, J.S.; McLellan, T.H. The Transition from Aerobic to Anaerobic Metabolism. Res. Q Exerc. Sport. 1980, 51, 234–248. [Google Scholar] [CrossRef] [PubMed]
- Meyer, T.; Lucía, A.; Earnest, C.P.; Kindermann, W. A Conceptual Framework for Performance Diagnosis and Training Prescription from Submaximal Gas Exchange Parameters—Theory and Application. Int. J. Sport. Med. 2005, 26, S38–S48. [Google Scholar] [CrossRef] [PubMed]
- Midgley, A.W.; McNaughton, L.R.; Wilkinson, M. Is There an Optimal Training Intensity for Enhancing the Maximal Oxygen Uptake of Distance Runners? Sport. Med. 2006, 36, 117–132. [Google Scholar] [CrossRef] [PubMed]
- Beneke, R.; Leithäuser, R.M.; Ochentel, O. Blood Lactate Diagnostics in Exercise Testing and Training. Int. J. Sport. Physiol. Perform. 2011, 6, 8–24. [Google Scholar] [CrossRef]
- Jones, A.M.; Burnley, M.; Black, M.I.; Poole, D.C.; Vanhatalo, A. The Maximal Metabolic Steady State: Redefining the ‘Gold Standard’. Physiol. Rep. 2019, 7, e14098. [Google Scholar] [CrossRef]
- Stöggl, T.L.; Sperlich, B. The Training Intensity Distribution among Well-Trained and Elite Endurance Athletes. Front. Physiol. 2015, 6, 295. [Google Scholar] [CrossRef]
- Seiler, S. What Is Best Practice for Training Intensity and Duration Distribution in Endurance Athletes? Int. J. Sport. Physiol. Perform. 2010, 5, 276–291. [Google Scholar] [CrossRef]
- Tjelta, L.I.; Tjelta, A.R.; Dyrstad, S.M. Relationship between Velocity at Anaerobic Threshold and Factors Affecting Velocity at Anaerobic Threshold in Elite Distance Runners. IJASS Int. J. Appl. Sport. Sci. 2012, 24, 8–17. [Google Scholar] [CrossRef]
- Haugen, T.; Sandbakk, O.; Enoksen, E.; Seiler, S.; Tonnessen, E. Crossing the Golden Divide: The Science Nd Practice of Training World-Class 800- and 1500-m Runners. Sport. Med. 2020, in press. [Google Scholar] [CrossRef] [PubMed]
- Haugen, T.; Sandbakk, Ø.; Seiler, S.; Tønnessen, E. The Training Characteristics of World-Class Distance Runners: An Integration of Scientific Literature and Results-Proven Practice. Sport. Med. Open 2022, 8, 46. [Google Scholar] [CrossRef] [PubMed]
- Campos, Y.; Casado, A.; Vieira, J.G.; Guimarães, M.; Sant’Ana, L.; Leitão, L.; da Silva, S.F.; Silva Marques De Azevedo, P.H.; Vianna, J.; Domínguez, R. Training-Intensity Distribution on Middle- And Long-Distance Runners: A Systematic Review. Int. J. Sport. Med. 2021, 43, 305–316. [Google Scholar] [CrossRef]
- Casado, A.; González-Mohíno, F.; González-Ravé, J.M.; Foster, C. Training Periodization, Methods, Intensity Distribution, and Volume in Highly Trained and Elite Distance Runners: A Systematic Review. Int. J. Sport. Physiol. Perform. 2022, 17, 1–14. [Google Scholar] [CrossRef]
- Egan, B.; Zierath, J.R. Exercise Metabolism and the Molecular Regulation of Skeletal Muscle Adaptation. Cell Metab. 2013, 17, 162–184. [Google Scholar] [CrossRef]
- Van der Zwaard, S.; Brocherie, F.; Jaspers, R.T. Under the Hood: Skeletal Muscle Determinants of Endurance Performance. Front. Sport. Act. Living 2021, 3, 719434. [Google Scholar] [CrossRef] [PubMed]
- Bishop, D.J.; Botella, J.; Granata, C. CrossTalk Opposing View: Exercise Training Volume Is More Important than Training Intensity to Promote Increases in Mitochondrial Content. J. Physiol. 2019, 597, 4115–4118. [Google Scholar] [CrossRef]
- MacInnis, M.J.; Gibala, M.J. Physiological Adaptations to Interval Training and the Role of Exercise Intensity. J. Physiol. 2017, 595, 2915–2930. [Google Scholar] [CrossRef]
- Gibala, M.J.; McGee, S.L.; Garnham, A.P.; Howlett, K.F.; Snow, R.J.; Hargreaves, M. Brief Intense Interval Exercise Activates AMPK and P38 MAPK Signaling and Increases the Expression of PGC-1α in Human Skeletal Muscle. J. Appl. Physiol. 2009, 106, 929–934. [Google Scholar] [CrossRef]
- MacInnis, M.J.; Skelly, L.E.; Gibala, M.J. CrossTalk Proposal: Exercise Training Intensity Is More Important than Volume to Promote Increases in Human Skeletal Muscle Mitochondrial Content. J. Physiol. 2019, 597, 4111–4113. [Google Scholar] [CrossRef] [PubMed]
- Meeusen, R.; Duclos, M.; Foster, C.; Fry, A.; Gleeson, M.; Nieman, D.; Raglin, J.; Rietjens, G.; Steinacker, J.; Urhausen, A. Prevention, Diagnosis, and Treatment of the Overtraining Syndrome: Joint Consensus Statement of the European College of Sport Science and the American College of Sports Medicine. Med. Sci. Sport. Exerc. 2013, 45, 186–205. [Google Scholar] [CrossRef]
- Seiler, S.; Haugen, O.; Kuffel, E. Autonomic Recovery after Exercise in Trained Athletes: Intensity and Duration Effects. Med. Sci. Sport. Exerc. 2007, 39, 1366–1373. [Google Scholar] [CrossRef] [PubMed]
- Billat, V.L.; Flechet, B.; Petit, B.; Muriaux, G.; Koralsztein, J.P. Interval Training at VO(2max): Effects on Aerobic Performance and Overtraining Markers. Med. Sci. Sport. Exerc. 1999, 31, 156–163. [Google Scholar] [CrossRef] [PubMed]
- Esteve-Lanao, J.; Foster, C.; Seiler, S.; Lucia, A. Impact of Training Intensity Distribution on Performance in Endurance Athletes. J. Strength Cond. Res. 2007, 21, 943–949. [Google Scholar] [CrossRef]
- Foster, C. Monitoring Training in Athletes with Reference to Overtraining Syndrome. Med. Sci. Sport. Exerc. 1998, 30, 1164–1168. [Google Scholar] [CrossRef]
- Tjelta, L.I. A Longitudinal Case Study of the Training of the 2012 European 1500 m Track Champion. Int. J. Appl. Sport. Sci. 2013, 25, 11–18. [Google Scholar] [CrossRef]
- Tjelta, L.I.; Enoksen, E. Training Characteristics of Male Junior Cross Country and Track Runners on European Top Level. Int. J. Sport. Sci. Coach. 2010, 5, 193–203. [Google Scholar] [CrossRef]
- Kenneally, M.; Casado, A.; Gomez-Ezeiza, J.; Santos-Concejero, J. Training Characteristics of a World Championship 5000-m Finalist and Multiple Continental Record Holder Over the Year Leading to a World Championship Final. Int. J. Sports Physiol. Perform. 2021, 17, 1–5. [Google Scholar] [CrossRef]
- Kenneally, M.; Casado, A.; Gómez-Ezeiza, J.; Santos-Concejero, J. Training Intensity Distribution Analysis by Race Pace vs. Physiological Approach in World-Class Middle- and Long-Distance Runners. Eur. J. Sport. Sci. 2020, 21, 819–826. [Google Scholar] [CrossRef]
- Robergs, R.A.; Ghiasvand, F.; Parker, D. Biochemistry of Exercise-Induced Metabolic Acidosis. Am. J. Physiol. -Regul. Integr. Comp. Physiol. 2004, 287, R502–R516. [Google Scholar] [CrossRef] [PubMed]
- Brooks, G.A. Lactate. Sport. Med. 2007, 37, 341–343. [Google Scholar] [CrossRef] [PubMed]
- Maffulli, N.; Capasso, G.; Lancia, A. Anaerobic Threshold and Performance in Middle and Long Distance Running. J. Sport. Med. Phys. Fit. 1991, 31, 332–338. [Google Scholar]
- Roecker, K.; Schotte, O.; Niess, A.M.; Horstmann, T.; Dickhuth, H.H. Predicting Competition Performance in Long-Distance Running by Means of a Treadmill Test. Med. Sci. Sport. Exerc. 1998, 30, 1552–1557. [Google Scholar] [CrossRef]
- Jones, A.M.; Carter, H. The Effect of Endurance Training on Parameters of Aerobic Fitness. Sport. Med. 2000, 29, 373–386. [Google Scholar] [CrossRef] [PubMed]
- Sjodin, B.; Jacobs, I.; Svedenhag, J. Changes in Onset of Blood Lactate Accumulation (OBLA) and Muscle Enzymes after Training at OBLA. Eur. J. Appl. Physiol. Occup. Physiol. 1982, 49, 45–57. [Google Scholar] [CrossRef]
- Yoshida, T.; Udo, M.; Iwai, K.; Chida, M.; Ichioka, M.; Nakadomo, F.; Yamaguchi, T. Significance of the Contribution of Aerobic and Anaerobic Components to Several Distance Running Performances in Female Athletes. Eur. J. Appl. Physiol. Occup. Physiol. 1990, 60, 249–253. [Google Scholar] [CrossRef] [PubMed]
- Nicholson, R.M.; Sleivert, G.G. Indices of Lactate Threshold and Their Relationship with 10-Km Running Velocity. Med. Sci. Sport. Exerc. 2001, 33, 339–342. [Google Scholar] [CrossRef]
- Billat, V.L.; Sirvent, P.; Py, G.; Koralsztein, J.-P.; Mercier, J. The Concept of Maximal Lactate Steady State. Sport. Med. 2003, 33, 407–426. [Google Scholar] [CrossRef]
- Tjelta, L.I.; Enoksen, E. Training Volume and Intensity. In Running and Science—In An Interdisciplinary Perspective; Bangsbo, J., Larsen, H.B., Eds.; Institute of Exercise and Sport Sciences, University of Copenhagen: Copenhagen, Denmark, 2001; pp. 149–177. [Google Scholar]
- Tjelta, L.; Tønnessen, E.; Enoksen, E. A Case Study of the Training of Nine Times New York Marathon Winner Grete Waitz. Int. J. Sport. Sci. Coach. 2014, 9, 139–157. [Google Scholar] [CrossRef]
- Casado, A.; Hanley, B.; Ruiz-Pérez, L.M. Deliberate Practice in Training Differentiates the Best Kenyan and Spanish Long-Distance Runners. Eur. J. Sport. Sci. 2020, 20, 887–895. [Google Scholar] [CrossRef] [PubMed]
- Enoksen, E.; Shalfawi, S.A.I.; Tønnessen, E. The Effect of High-vs. Low-Intensity Training on Aerobic Capacity in Well-Trained Male Middle-Distance Runners. J. Strength Cond. Res. 2011, 25, 812–818. [Google Scholar] [CrossRef]
- Galbraith, A.; Hopker, J.; Cardinale, M.; Cunniffe, B.; Passfield, L. A 1-Year Study of Endurance Runners: Training, Laboratory Tests, and Field Tests. Int. J. Sport. Physiol. Perform. 2014, 9, 1019–1025. [Google Scholar] [CrossRef] [PubMed]
- Filipas, L.; Bonato, M.; Gallo, G.; Codella, R. Effects of 16 Weeks of Pyramidal and Polarized Training Intensity Distributions in Well-trained Endurance Runners. Scand. J. Med. Sci. Sport. 2021, 32, 498–511. [Google Scholar] [CrossRef] [PubMed]
- Robinson, D.M.; Robinson, S.M.; Hume, P.A.; Hopkins, W.G. Training Intensity of Elite Male Distance Runners. Med. Sci. Sport. Exerc. 1991, 23, 1078–1082. [Google Scholar] [CrossRef]
- Ingham, S.A.; Fudge, B.W.; Pringle, J.S. Training Distribution, Physiological Profile, and Performance for a Male International 1500-m Runner. Int. J. Sport. Physiol. Perform. 2012, 7, 193–195. [Google Scholar] [CrossRef] [PubMed]
- Philp, A.; Macdonald, A.L.; Carter, H.; Watt, P.W.; Pringle, J.S. Maximal Lactate Steady State as a Training Stimulus. Int. J. Sport. Med. 2008, 29, 475–479. [Google Scholar] [CrossRef]
- Kristensen, D.E.; Albers, P.H.; Prats, C.; Baba, O.; Birk, J.B.; Wojtaszewski, J.F.P. Human Muscle Fibre Type-Specific Regulation of AMPK and Downstream Targets by Exercise. J. Physiol. 2015, 593, 2053–2069. [Google Scholar] [CrossRef]
- Burnley, M.; Vanhatalo, A.; Jones, A.M. Distinct Profiles of Neuromuscular Fatigue during Muscle Contractions below and above the Critical Torque in Humans. J. Appl. Physiol. 2012, 113, 215–223. [Google Scholar] [CrossRef]
- Rosenblat, M.A.; Granata, C.; Thomas, S.G. Effect of Interval Training on the Factors Influencing Maximal Oxygen Consumption: A Systematic Review and Meta-Analysis. Sport. Med. 2022, 52, 1329–1352. [Google Scholar] [CrossRef]
- Bakken, M. The Norwegian Model of Lactate Threshold Training and Lactate Controlled Approach to Training. Available online: www.mariusbakken.com/the-norwegian-model.html (accessed on 4 April 2022).



| Scale | [BLa] | HR | VO2max | RPE | Training Methods | |
|---|---|---|---|---|---|---|
| 6-Zone | 3-Zone | mmol·L−1 | % Max | % | 6–20 | |
| SST (6) | 3 | n/a | n/a | n/a | n/a | Sprint |
| VHIT (5) | 3 | 8–18 | >97 | 94–140 | 18–20 | Lactate tolerance (i.e., 800 m and 1500 m pace) |
| HIT (4) | 3 | 4.5–8 | 92–97 | 88–94 | 16–18 | Intensive aerobic interval (i.e., 5000 m pace) |
| MIT (3) | 2 | 3.5–4.5 | 87–92 | 84–88 | 14–16 | Threshold training: interval running (10,000 m pace) |
| MIT (2) | 2 | 2–3.5 | 82–87 | 80–84 | 12–14 | Threshold training: continuous/interval running (marathon pace) |
| LIT (1) | 1 | 0.7–2 | 62–82 | 55–80 | 9–12 | Easy and moderate continuous running |
| Morning | Evening | |
|---|---|---|
| Monday | 15 km (z1) | 12 km (z1). Sprints (z5) and technique. |
| Tuesday | 5 km (z1). 5 × 6 min at 2.5 mmol·L−1 recovering (r.) 1 min between repetitions (z2). 2 km (z1) | 5 km (z1). 10 × 1000 m at 3.5 mmol·L−1 recovering 1 min between repetitions (z2). 2 km (z1). |
| Wednesday | 16 km (z1). Strength training. | 10 km (z1). Sprints (z5) and technique. |
| Thursday | 5 km (z1). 5 × 2 km at 2.5 mmol·L−1 recovering 1 min between repetitions (z2). 2 km (z1). | 5 km (z1). 25 × 400 m at 3.5 mmol·L−1 recovering 30 s between repetitions (z2). 2 km (z1). |
| Friday | 15 km (z1). | Rest. |
| Saturday | 5 km (z1). 20 × 200 m uphill at 8 mmol·L−1 recovering 70 s jogging back (z4). 2 km (z1). | 10 km (z1). |
| Sunday | 21 km (z1). | Rest. |
Disclaimer/Publisher’s Note: The statements, opinions and data contained in all publications are solely those of the individual author(s) and contributor(s) and not of MDPI and/or the editor(s). MDPI and/or the editor(s) disclaim responsibility for any injury to people or property resulting from any ideas, methods, instructions or products referred to in the content. |
© 2023 by the authors. Licensee MDPI, Basel, Switzerland. This article is an open access article distributed under the terms and conditions of the Creative Commons Attribution (CC BY) license (https://creativecommons.org/licenses/by/4.0/).
Share and Cite
Casado, A.; Foster, C.; Bakken, M.; Tjelta, L.I. Does Lactate-Guided Threshold Interval Training within a High-Volume Low-Intensity Approach Represent the “Next Step” in the Evolution of Distance Running Training? Int. J. Environ. Res. Public Health 2023, 20, 3782. https://doi.org/10.3390/ijerph20053782
Casado A, Foster C, Bakken M, Tjelta LI. Does Lactate-Guided Threshold Interval Training within a High-Volume Low-Intensity Approach Represent the “Next Step” in the Evolution of Distance Running Training? International Journal of Environmental Research and Public Health. 2023; 20(5):3782. https://doi.org/10.3390/ijerph20053782
Chicago/Turabian StyleCasado, Arturo, Carl Foster, Marius Bakken, and Leif Inge Tjelta. 2023. "Does Lactate-Guided Threshold Interval Training within a High-Volume Low-Intensity Approach Represent the “Next Step” in the Evolution of Distance Running Training?" International Journal of Environmental Research and Public Health 20, no. 5: 3782. https://doi.org/10.3390/ijerph20053782
APA StyleCasado, A., Foster, C., Bakken, M., & Tjelta, L. I. (2023). Does Lactate-Guided Threshold Interval Training within a High-Volume Low-Intensity Approach Represent the “Next Step” in the Evolution of Distance Running Training? International Journal of Environmental Research and Public Health, 20(5), 3782. https://doi.org/10.3390/ijerph20053782

