Long-Term Outcomes after Stroke in Patients with Atrial Fibrillation: A Single Center Study
Abstract
1. Introduction
2. Materials and Methods
2.1. Study Group
2.2. Follow up and Outcomes
2.3. Statistical Analysis
3. Results
3.1. Baseline Characteristic
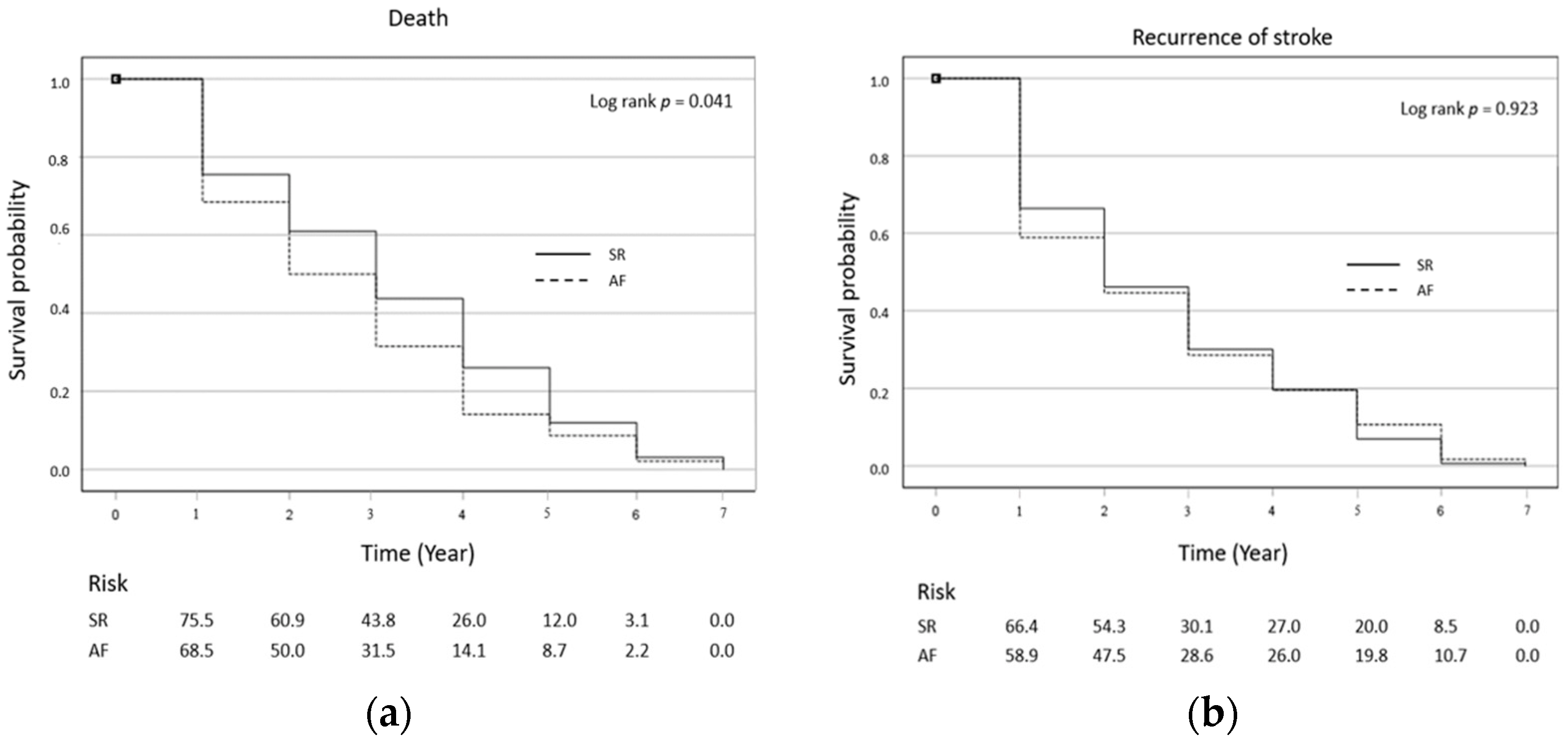
3.2. Outcomes
4. Discussion
Limitations
5. Conclusions
Supplementary Materials
Author Contributions
Funding
Institutional Review Board Statement
Informed Consent Statement
Data Availability Statement
Conflicts of Interest
References
- Han, J.; Mao, W.; Ni, J.; Wu, Y.; Liu, J.; Bai, L.; Shi, M.; Tu, J.; Ning, X.; Wang, J. Rate and Determinants of Recurrence at 1 Year and 5 Years After Stroke in a Low-Income Population in Rural China. Front. Neurol. 2020, 11, 2. [Google Scholar] [CrossRef] [PubMed]
- Zhuo, Y.; Wu, J.; Qu, Y.; Yu, H.; Huang, X.; Zee, B.; Lee, J.; Yang, Z. Clinical risk factors associated with recurrence of ischemic stroke within two years: A cohort study. Medicine 2020, 99, e20830. [Google Scholar] [CrossRef] [PubMed]
- Singh, R.J.; Chen, S.; Ganesh, A.; Hill, M.D. Long-term neurological, vascular, and mortality outcomes after stroke. Int. J. Stroke 2018, 13, 787–796. [Google Scholar] [CrossRef]
- Fohtung, R.B.; Rich, M.W. Identification of Patients at Risk of Stroke From Atrial Fibrillation. US Cardiol. Rev. 2016, 10, 60–64. [Google Scholar] [CrossRef]
- Zhao, Y.; Zou, C.; Wang, C.; Zhang, Y.; Wang, S. Long-Term Outcomes after Stroke in Elderly Patients with Atrial Fibrillation: A Hospital-Based Follow-Up Study in China. Front. Aging Neurosci. 2016, 8, 56. [Google Scholar] [CrossRef] [PubMed]
- Wolf, P.A.; Abbott, R.D.; Kannel, W.B. Atrial fibrillation as an independent risk factor for stroke: The Framingham Study. Stroke 1991, 22, 983–988. [Google Scholar] [CrossRef] [PubMed]
- Alberts, M.; Chen, Y.W.; Lin, J.H.; Kogan, E.; Twyman, K.; Milentijevic, D. Risks of Stroke and Mortality in Atrial Fibrillation Patients Treated With Rivaroxaban and Warfarin. Stroke 2020, 51, 549–555. [Google Scholar] [CrossRef]
- Aho, K.; Harmsen, P.; Hatano, S.; Marquardsen, J.; Smirnov, V.E.; Strasser, T. Cerebrovascular disease in the community: Results of a WHO collaborative study. Bull. World Health Organ. 1980, 58, 113–130. [Google Scholar]
- Wang, T.; Li, B.; Gu, H.; Lou, Y.; Ning, X.; Wang, J.; An, Z. Effect of age on long-term outcomes after stroke with atrial fibrillation: A hospital-based follow-up study in China. Oncotarget 2017, 8, 53684–53690. [Google Scholar] [CrossRef] [PubMed]
- Hindricks, G.; Potpara, T.; Dagres, N.; Arbelo, E.; Bax, J.J.; Blomström-Lundqvist, C.; Boriani, G.; Castella, M.; Dan, G.A.; Dilaveris, P.; et al. ESC Scientific Document Group. 2020 ESC Guidelines for the diagnosis and management of atrial fibrillation developed in collaboration with the European Association for Cardio-Thoracic Surgery (EACTS): The Task Force for the diagnosis and management of atrial fibrillation of the European Society of Cardiology (ESC) Developed with the special contribution of the European Heart Rhythm Association (EHRA) of the ESC. Eur. Heart J. 2021, 42, 373–498. [Google Scholar] [CrossRef]
- Mohan, K.M.; Wolfe, C.D.; Rudd, A.G.; Heuschmann, P.U.; Kolominsky-Rabas, P.L.; Grieve, A.P. Risk and cumulative risk of stroke recurrence: A systematic review and meta-analysis. Stroke 2011, 42, 1489–1494. [Google Scholar] [CrossRef]
- Arsava, E.M.; Kim, G.M.; Oliveira-Filho, J.; Gungor, L.; Noh, H.J.; Lordelo Mde, J.; Avery, R.; Maier, I.L.; Ay, H. Prediction of Early Recurrence After Acute Ischemic Stroke. JAMA Neurol. 2016, 73, 396–401. [Google Scholar] [CrossRef] [PubMed]
- Alkhouli, M.; Alqahtani, F.; Aljohani, S.; Alvi, M.; Holmes, D.R. Burden of Atrial Fibrillation-Associated Ischemic Stroke in the United States. JACC Clin. Electrophysiol. 2018, 4, 4618–4625. [Google Scholar] [CrossRef] [PubMed]
- Lin, H.J.; Wolf, P.A.; Kelly-Hayes, M.; Beiser, A.S.; Kase, C.S.; Benjamin, E.J.; D’Agostino, R.B. Stroke severity in atrial fibrillation. The Framingham Study. Stroke 1996, 27, 1760–1764. [Google Scholar] [CrossRef] [PubMed]
- Lamassa, M.; Di Carlo, A.; Pracucci, G.; Basile, A.M.; Trefoloni, G.; Vanni, P.; Spolveri, S.; Baruffi, M.C.; Landini, G.; Ghetti, A.; et al. Characteristics, outcome, and care of stroke associated with atrial fibrillation in Europe: Data from a multicenter multinational hospital-based registry (The European Community Stroke Project). Stroke 2001, 32, 392–398. [Google Scholar] [CrossRef]
- Vinding, N.E.; Kristensen, S.L.; Rørth, R.; Butt, J.H.; Østergaard, L.; Olesen, J.B.; Torp-Pedersen, C.; Gislason, G.H.; Køber, L.; Kruuse, C.; et al. Ischemic Stroke Severity and Mortality in Patients With and Without Atrial Fibrillation. J. Am. Heart Assoc. 2022, 11, e022638. [Google Scholar] [CrossRef]
- Marini, C.; De Santis, F.; Sacco, S.; Russo, T.; Olivieri, L.; Totaro, R.; Carolei, A. Contribution of atrial fibrillation to incidence and outcome of ischemic stroke: Results from a population-based study. Stroke 2005, 36, 1115–1119. [Google Scholar] [CrossRef]
- Palm, F.; Urbanek, C.; Wolf, J.; Buggle, F.; Kleemann, T.; Hennerici, M.G.; Inselmann, G.; Hagar, M.; Safer, A.; Becher, H.; et al. Etiology, risk factors and sex-differences in ischemic stroke in the Ludwigshafen stroke study (LuSSt), a population-based stroke registry. Cerebrovasc. Dis. 2012, 33, 64–68. [Google Scholar] [CrossRef]
- Karataş, M.B.; Çanga, Y.; İpek, G.; Özcan, K.S.; Güngör, B.; Durmuş, G.; Onuk, T.; Öz, A.; Şimşek, B.; Bolca, O. Association of admission serum laboratory parameters with new-onset atrial fibrillation after a primary percutaneous coronary intervention. Coron. Artery Dis. 2016, 27, 128–134. [Google Scholar] [CrossRef]
- Alshehri, A.M. Stroke in atrial fibrillation: Review of risk stratification and preventive therapy. J. Fam. Community Med. 2019, 26, 92–97. [Google Scholar] [CrossRef]
- Brunner, K.J.; Bunch, T.J.; Mullin, C.M.; May, H.T.; Bair, T.L.; Elliot, D.W.; Anderson, J.L.; Mahapatra, S. Clinical predictors of risk for atrial fibrillation: Implications for diagnosis and monitoring. Mayo Clin. Proc. 2014, 89, 1498–1505. [Google Scholar] [CrossRef]
- Khanevski, A.N.; Bjerkreim, A.T.; Novotny, V.; Naess, H.; Thomassen, L.; Logallo, N.; Kvistad, C.E.; NOR-STROKE Study Group. Recurrent ischemic stroke: Incidence, predictors, and impact on mortality. Acta Neurol. Scand. 2019, 140, 3–8. [Google Scholar] [CrossRef] [PubMed]
- Andersen, K.K.; Andersen, Z.J.; Olsen, T.S. Predictors of early and late case-fatality in a nationwide Danish study of 26,818 patients with first-ever ischemic stroke. Stroke 2011, 42, 2806–2812. [Google Scholar] [CrossRef] [PubMed]
- Hankey, G.J.; Jamrozik, K.; Broadhurst, R.J.; Forbes, S.; Burvill, P.W.; Anderson, C.S.; Stewart-Wynne, E.G. Five-year survival after first-ever stroke and related prognostic factors in the Perth Community Stroke Study. Stroke 2000, 31, 2080–2086. [Google Scholar] [CrossRef]
- Fang, M.C.; Go, A.S.; Chang, Y.; Borowsky, L.H.; Pomernacki, N.K.; Udaltsova, N.; Singer, D.E. Long-term survival after ischemic stroke in patients with atrial fibrillation. Neurology 2014, 82, 1033–1037. [Google Scholar] [CrossRef] [PubMed]
- Frost, L.; Andersen, L.V.; Vestergaard, P.; Husted, S.; Mortensen, L.S. Trend in mortality after stroke with atrial fibrillation. Am. J. Med. 2007, 120, 47–53. [Google Scholar] [CrossRef]
- Yang, X.M.; Rao, Z.Z.; Gu, H.Q.; Zhao, X.Q.; Wang, C.J.; Liu, L.P.; Liu, C.; Wang, Y.L.; Li, Z.X.; Xiao, R.P.; et al. Atrial Fibrillation Known Before or Detected After Stroke Share Similar Risk of Ischemic Stroke Recurrence and Death. Stroke 2019, 50, 1124–1129. [Google Scholar] [CrossRef]
- Kim, W.; Kim, E.J. Heart Failure as a Risk Factor for Stroke. J. Stroke. 2018, 20, 33–45. [Google Scholar] [CrossRef]
- Öz, A.; Cinar, T.; Güler, K.C.; Efe, S.Ç.; Emre, U.; Karabağ, T.; Ayça, B. Novel electrocardiography parameter for paroxysmal atrial fibrillation in acute ischaemic stroke patients: P wave peak time. Postgrad. Med. J. 2020, 96, 584–588. [Google Scholar] [CrossRef]
- Çinar, T.; Hayiroğlu, M.İ.; Selçuk, M.; Cinier, G.; Çiçek, V.; Doğan, S.; Kiliç, Ş.; Asal, S.; Atmaca, M.M.; Orhan, A.L. Evaluation of electrocardiographic P wave parameters in predicting long-term atrial fibrillation in patients with acute ischemic stroke. Arq. Neuropsiquiatr. 2022, 80, 877–884. [Google Scholar] [CrossRef]


| Characteristic | All Patients n = 892 | AF Group n = 223 | SR Group n = 669 | p (x²) |
|---|---|---|---|---|
| Age (years) | 70.7 (12.22) | 75.4 (9.46) | 69.2 (12.64) | 0.001 |
| Age group, n (%) | <0.001 | |||
| <65 years | 278 (31) | 30 (13) | 248 (37) | |
| 65–74 years | 225 (25) | 64 (29) | 161 (24) | |
| >74 years | 389 (44) | 129 (58) | 260 (39) | |
| Gender, n (%) | ||||
| Females | 403 (45) | 131 (59) | 272 (41) | |
| Males | 489 (55) | 92 (41) | 397 (59) | |
| Medical history, n (%) | ||||
| Heart failure | 96 (11) | 51 (23) | 45 (7) | <0.001 |
| Hypertension | 699 (78) | 188 (84) | 511 (76) | 0.013 |
| Diabetes mellitus | 218 (24) | 58 (26) | 160 (24) | 0.529 |
| Previous stroke/TIA | 136 (15) | 45 (20) | 91 (14) | 0.018 |
| Coronary artery disease | 275 (31) | 93 (42) | 182 (27) | <0.001 |
| Dyslipidemia | 151 (17) | 37 (17) | 114 (7) | 0.877 |
| Peripheral arterial disease | 42 (5) | 13 (6) | 29 (4) | 0.364 |
| Smoking | 130 (15) | 12 (5) | 118 (18) | <0.001 |
| Alcoholism | 83 (9) | 9 (4) | 74 (11) | 0.002 |
| ICA stenosis >70% | 129 (15) | 24 (11) | 105 (16) | 0.062 |
| Laboratory tests, n (%) | ||||
| HGB < 12 g/dl | 84 (9) | 32 (14) | 52 (8) | 0.004 |
| PLT < 150 g/dl | 70 (8) | 23 (10) | 47 (7) | 0.114 |
| Thrombolytic therapy | 66 (7) | 17 (8) | 49 (7) | 0.883 |
| Antithrombotic treatment *, n (%) | <0.001 | |||
| Antiplatelet agents | 506 (78) | 85 (56) | 421 (85) | |
| VKA | 24 (4) | 15 (1) | 9 (2) | |
| NOAC | 82 (13) | 43 (28) | 39 (8) | |
| no medication | 38 (6) | 9 (6) | 29 (6) | 0.848 |
| NIHSS score (mean ± SD) | ||||
| at admission | 3.35 (±4.04) | 7.03 (±5.83) | 5.27 (±5.08) | <0.001 |
| at discharge | 3.36 (±4.04) | 4.16 (±4.63) | 3.09 (±3.79) | <0.001 |
| NIHSS at admission | <0.001 | |||
| ≤7 | 601 (69) | 130 (60) | 471 (72) | |
| 8–15 | 196 (23) | 59 (27) | 137 (21) | |
| ≥16 | 70 (8) | 27 (13) | 43 (7) | |
| NIHSS at discharge | <0.001 | |||
| ≤7 | 702 (82) | 161 (76) | 541 (85) | |
| 8–15 | 134 (16) | 41 (19) | 93 (15) | |
| ≥16 | 16 (2) | 10 (5) | 6 (1) | |
| CHA2DS2-VASc (mean ± SD) | 4.65 ± 1.57 | 5.31 ± 1.50 | 4.43 ± 1.54 | <0.001 |
| Outcomes | AF Group | SR Group | Univariate Analysis | Multivariate Analysis | ||
|---|---|---|---|---|---|---|
| OR (95% CI) | p | OR (95% CI) | p | |||
| 1 Year | ||||||
| Mortality | 30 (13.5) | 47 (7.0) | 2.06 (1.27–3.34) | 0.004. | 1.59 (0.72–3.51) | 0.247 |
| Recurrence | 23 (10.3) | 48 (7.2) | 1.49 (0.88–2.51) | 0.136 | 1.85 (0.79–4.33) | 0.157 |
| 3 Years | ||||||
| Mortality | 17 (7.6) | 33 (4.9) | 1.59 (0.87–2.92) | 0.133 | 0.82 (0.31–2.15) | 0.683 |
| Recurrence | 9 (4.0) | 25 (3.7) | 1.08 (0.50–2.36) | 0.840 | 1.36 (0.35–5.34) | 0.660 |
| 5 Years | ||||||
| Mortality | 5 (2.2) | 27 (4.0) | 0.55 (0.21–1.43) | 0.219 | 0.36 (0.07–1.76) | 0.207 |
| Recurrence | 6 (2.7) | 19 (2.8) | 0.95 (0.37–2.40) | 0.907 | 0.19 (0.03–1.18) | 0.075 |
| Factor | SR Group | AF Group | ||
|---|---|---|---|---|
| OR (95%CI) | p | OR (95%CI) | p | |
| 1 Year | ||||
| >75 years | 3.33 (1.37;8.14) | 0.008 | — | |
| Hypertension | 0.51 (0.25–1.07) | 0.074 | — | |
| 3 Years | ||||
| >75 years | 3.02 (1.52–6.00) | 0.002 | 10.84 (1.27–92.41) | 0.029 |
| NIHSS at admission > 16 | — | 0.16 (0.02–1.20) | 0.075 | |
| NIHSS at discharge > 16 | — | 8.37 (0.80–87.66) | 0.076 | |
| 5 Years | ||||
| 66–74 years | 2.74 (1.36–5.53) | 0.005 | — | |
| >75 years | 4.47 (2.34–8.53) | <0.001 | 4.69 (0.87–25.26) | 0.072 |
| Heart failure | — | 2.07 (0.91–4.73) | 0.083 | |
| NIHSS at admission > 16 | — | 0.18 (0.03–1.27) | 0.085 | |
Disclaimer/Publisher’s Note: The statements, opinions and data contained in all publications are solely those of the individual author(s) and contributor(s) and not of MDPI and/or the editor(s). MDPI and/or the editor(s) disclaim responsibility for any injury to people or property resulting from any ideas, methods, instructions or products referred to in the content. |
© 2023 by the authors. Licensee MDPI, Basel, Switzerland. This article is an open access article distributed under the terms and conditions of the Creative Commons Attribution (CC BY) license (https://creativecommons.org/licenses/by/4.0/).
Share and Cite
Tracz, J.; Gorczyca-Głowacka, I.; Rosołowska, A.; Wożakowska-Kapłon, B. Long-Term Outcomes after Stroke in Patients with Atrial Fibrillation: A Single Center Study. Int. J. Environ. Res. Public Health 2023, 20, 3491. https://doi.org/10.3390/ijerph20043491
Tracz J, Gorczyca-Głowacka I, Rosołowska A, Wożakowska-Kapłon B. Long-Term Outcomes after Stroke in Patients with Atrial Fibrillation: A Single Center Study. International Journal of Environmental Research and Public Health. 2023; 20(4):3491. https://doi.org/10.3390/ijerph20043491
Chicago/Turabian StyleTracz, Justyna, Iwona Gorczyca-Głowacka, Anita Rosołowska, and Beata Wożakowska-Kapłon. 2023. "Long-Term Outcomes after Stroke in Patients with Atrial Fibrillation: A Single Center Study" International Journal of Environmental Research and Public Health 20, no. 4: 3491. https://doi.org/10.3390/ijerph20043491
APA StyleTracz, J., Gorczyca-Głowacka, I., Rosołowska, A., & Wożakowska-Kapłon, B. (2023). Long-Term Outcomes after Stroke in Patients with Atrial Fibrillation: A Single Center Study. International Journal of Environmental Research and Public Health, 20(4), 3491. https://doi.org/10.3390/ijerph20043491

