Secular Trends in Physical Fitness of Peruvian Children Living at High-Altitude
Abstract
1. Introduction
2. Materials and Methods
2.1. Design and Participants
2.2. The City of Junín
2.3. Measurements and Tests
2.3.1. Physical Fitness
2.3.2. Anthropometry
2.4. Data Quality Control
2.5. Statistical Procedures
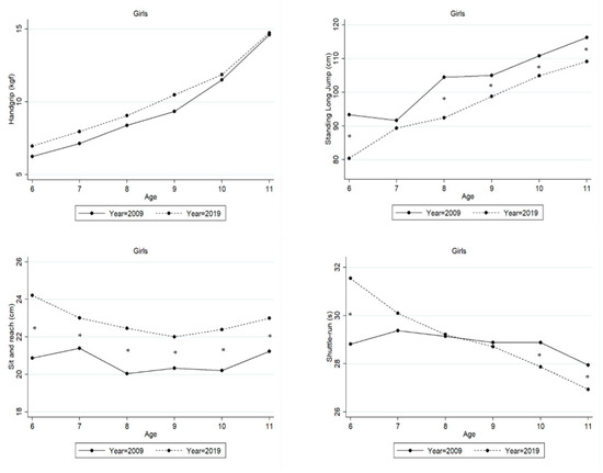
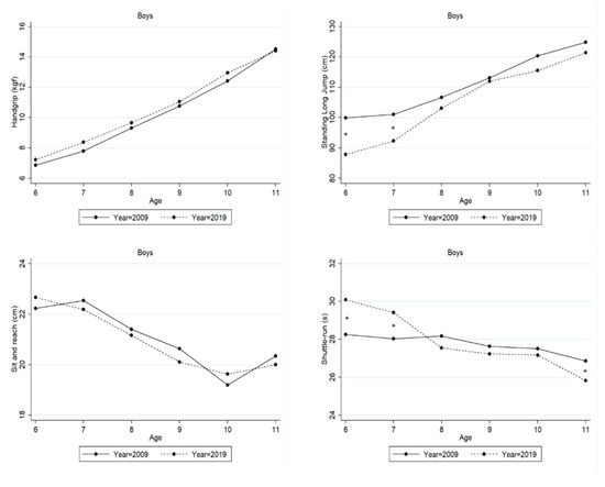
3. Results
4. Discussion
5. Conclusions
Supplementary Materials
Author Contributions
Funding
Institutional Review Board Statement
Informed Consent Statement
Data Availability Statement
Acknowledgments
Conflicts of Interest
References
- Hedegaard, M. A Cultural-Historical Theory of Children’s Development. In Studying Children: A Cultural-Historical Approach; McGraw Hill: New York, NY, USA, 2008; pp. 10–29. [Google Scholar]
- Postigo, J.C. Perception and Resilience of Andean Populations Facing Climate Change. J. Ethnobiol. 2014, 34, 383–400. [Google Scholar] [CrossRef]
- Lennox, E. Double Exposure to Climate Change and Globalization in a Peruvian Highland Community. Soc. Nat. Resour. 2015, 28, 781–796. [Google Scholar] [CrossRef]
- Tanaka, M.; Vera Rojas, S. La Dinámica “Neodualista” de una Democracia sin Sistema de Partidos: La Situación de la Democracia en el Perú. Rev. Cienc. Política 2010, 30, 87–114. [Google Scholar] [CrossRef]
- Acosta, A.M. Analysing Success in the Fight against Malnutrition in Peru. IDS Work. Pap. 2011, 2011, 2–49. [Google Scholar] [CrossRef]
- Milan, A.; Ho, R. Livelihood and migration patterns at different altitudes in the Central Highlands of Peru. Clim. Dev. 2014, 6, 69–76. [Google Scholar] [CrossRef]
- INEI. Censo Nacional. 2017. Available online: https://censo2017.inei.gob.pe/resultados-definitivos-de-los-censos-nacionales-2017/ (accessed on 21 December 2022).
- Hoke, M.K.; Leatherman, T.L. Secular trends in growth in the high-altitude district of Nuñoa, Peru 1964–2015. Am. J. Phys. Anthr. 2018, 168, 200–208. [Google Scholar] [CrossRef]
- Ortega, F.B.; Ruiz, J.R.; Castillo, M.J.; Sjöström, M. Physical fitness in childhood and adolescence: A powerful marker of health. Int. J. Obes. 2008, 32, 1–11. [Google Scholar] [CrossRef]
- Institute of Medicine. Fitness Measures and Health Outcomes in Youth; The National Academies Press: Washington, DC, USA, 2012. [Google Scholar]
- Mintjens, S.; Menting, M.D.; Daams, J.G.; van Poppel, M.N.M.; Roseboom, T.J.; Gemke, R. Cardiorespiratory Fitness in Childhood and Adolescence Affects Future Cardiovascular Risk Factors: A Systematic Review of Longitudinal Studies. Sports Med. 2018, 48, 2577–2605. [Google Scholar] [CrossRef]
- Barnett, L.M.; Van Beurden, E.; Morgan, P.J.; Brooks, L.O.; Beard, J.R. Does Childhood Motor Skill Proficiency Predict Adolescent Fitness? Med. Sci. Sports Exerc. 2008, 40, 2137–2144. [Google Scholar] [CrossRef]
- Stodden, D.F.; Goodway, J.D.; Langendorfer, S.J.; Roberton, M.A.; Rudisill, M.E.; Garcia, C.; Garcia, L.E. A developmental perspective on the role of motor skill competence in physical activity: An emergent relationship. Quest 2008, 60, 290–306. [Google Scholar] [CrossRef]
- Lubans, D.R.; Morgan, P.J.; Cliff, D.P.; Barnett, L.M.; Okely, A.D. Fundamental movement skills in children and adolescents: Review of associated health benefits. Sports Med. 2010, 40, 1019–1035. [Google Scholar] [CrossRef] [PubMed]
- Potočnik, L.; Jurak, G.; Starc, G. Secular Trends of Physical Fitness in Twenty-Five Birth Cohorts of Slovenian Children: A Population-Based Study. Front. Public Health 2020, 8, 561273. [Google Scholar] [CrossRef] [PubMed]
- Bi, C.; Zhang, F.; Gu, Y.; Song, Y.; Cai, X. Secular Trend in the Physical Fitness of Xinjiang Children and Adolescents between 1985 and 2014. Int. J. Environ. Res. Public Health 2020, 17, 2195. [Google Scholar] [CrossRef]
- Żegleń, M.; Kryst, Ł.; Kowal, M.; Woronkowicz, A. Changes in Physical Fitness Among Preschool Children from Kraków (Poland) From 2008 to 2018. J. Phys. Act. Health 2020, 17, 987–994. [Google Scholar] [CrossRef]
- Dos Santos, F.K.; Prista, A.; Gomes, T.N.; Daca, T.; Madeira, A.; Katzmarzyk, P.T.; Maia, J.A. Secular trends in physical fitness of Mozambican school-aged children and adolescents. Am. J. Hum. Biol. 2015, 27, 201–206. [Google Scholar] [CrossRef] [PubMed]
- Eberhardt, T.; Niessner, C.; Oriwol, D.; Buchal, L.; Worth, A.; Bös, K. Secular Trends in Physical Fitness of Children and Adolescents: A Review of Large-Scale Epidemiological Studies Published after 2006. Int. J. Environ. Res. Public Health 2020, 17, 5671. [Google Scholar] [CrossRef]
- Masanovic, B.; Gardasevic, J.; Marques, A.; Peralta, M.; Demetriou, Y.; Sturm, D.J.; Popovic, S. Trends in Physical Fitness Among School-Aged Children and Adolescents: A Systematic Review. Front. Pediatr. 2020, 8, 627529. [Google Scholar] [CrossRef]
- Fühner, T.; Kliegl, R.; Arntz, F.; Kriemler, S.; Granacher, U. An Update on Secular Trends in Physical Fitness of Children and Adolescents from 1972 to 2015: A Systematic Review. Sports Med. 2021, 51, 303–320. [Google Scholar] [CrossRef]
- Dooley, F.L.; Kaster, T.; Fitzgerald, J.S.; Walch, T.J.; Annandale, M.; Ferrar, K.; Lang, J.J.; Smith, J.J.; Tomkinson, G.R. A Systematic Analysis of Temporal Trends in the Handgrip Strength of 2,216,320 Children and Adolescents Between 1967 and 2017. Sports Med. 2020, 50, 1129–1144. [Google Scholar] [CrossRef]
- Kasović, M.; Štefan, L.; Petrić, V. Secular trends in health-related physical fitness among 11–14-year-old Croatian children and adolescents from 1999 to 2014. Sci. Rep. 2021, 11, 11039. [Google Scholar] [CrossRef]
- Tomkinson, G.R.; Olds, T. Pediatric Fitness: Secular Trends and Geographic Variability; Karger Medical and Scientific Publishers: Strasbourg, France, 2007; Volume 50. [Google Scholar]
- Bustamante, A.; Beunen, G.; Maia, J. ¿ Como crecen y se Desarrollan los Niños y Adolescentes en La Merced y San Ramón. Alcances Para la Educación Física, el Deporte y la Salud; Universidad Nacional de Educación: Lima, Peru, 2011; p. 174. [Google Scholar]
- EUROFIT. Handbook for the EUROFIT Tests of Physical Fitness, 2nd ed.; Committee of Experts on Sports Research: Strasbourg, France, 1993. [Google Scholar]
- Lohman, T.G.; Roche, A.F.; Martorell, R. Anthropometric Standardization Reference Manual; Human Kinetics Books: Champaign, IL, USA, 1988; Volume 177. [Google Scholar]
- Stata Statistical Software: Release 17; StataCorp LLC: College Station, TX, USA, 2021.
- Malina, R.M.; Bouchard, C.; Bar-Or, O. Growth, Maturation, and Physical Activity; Human Kinetics: Champaign, IL, USA, 2004. [Google Scholar]
- Behan, S.; Belton, S.; Peers, C.; O’Connor, N.E.; Issartel, J. Exploring the relationships between fundamental movement skills and health related fitness components in children. Eur. J. Sport Sci. 2022, 22, 171–181. [Google Scholar] [CrossRef]
- Masanovic, B.; Popovic, S.; Bjelica, D.; Gardasevic, J. The 2018 National Report on Children’s and Adolescents’ Physical Activity and Physical Fitness for Montenegro. Iran. J. Public Health 2020, 49, 1992–2000. [Google Scholar] [CrossRef]
- Smpokos, E.A.; Linardakis, M.; Papadaki, A.; Lionis, C.; Kafatos, A. Secular trends in fitness, moderate-to-vigorous physical activity, and TV-viewing among first grade school children of Crete, Greece between 1992/93 and 2006/07. J. Sci. Med. Sport 2012, 15, 129–135. [Google Scholar] [CrossRef]
- Moliner-Urdiales, D.; Ruiz, J.R.; Ortega, F.B.; Jiménez-Pavón, D.; Vicente-Rodriguez, G.; Rey-López, J.P.; Martínez-Gómez, D.; Casajús, J.A.; Mesana, M.I.; Marcos, A.; et al. Secular trends in health-related physical fitness in Spanish adolescents: The AVENA and HELENA Studies. J. Sci. Med. Sport 2010, 13, 584–588. [Google Scholar] [CrossRef]
- Colley, R.C.; Clarke, J.; Doyon, C.Y.; Janssen, I.; Lang, J.J.; Timmons, B.W.; Tremblay, M.S. Trends in physical fitness among Canadian children and youth. Health Rep. 2019, 30, 3–13. [Google Scholar] [CrossRef] [PubMed]
- Dong, Y.; Lau, P.W.C.; Dong, B.; Zou, Z.; Yang, Y.; Wen, B.; Ma, Y.; Hu, P.; Song, Y.; Ma, J.; et al. Trends in physical fitness, growth, and nutritional status of Chinese children and adolescents: A retrospective analysis of 15 million students from six successive national surveys between 1985 and 2014. Lancet Child Adolesc. Health 2019, 3, 871–880. [Google Scholar] [CrossRef] [PubMed]
- Singer, K.P.; Breidahl, P. The Use of Computed Tomography in Assessing Muscle Cross-sectional Area, and the Relationship between Cross-sectional Area and Strength. Aust. J. Physiother. 1987, 33, 75–82. [Google Scholar] [CrossRef]
- Bentham, J.; Di Cesare, M.; Bilano, V.; Bixby, H.; Zhou, B.; Stevens, G.A.; Riley, L.M.; Taddei, C.; Hajifathalian, K.; Lu, Y.; et al. Worldwide Trends in Body-Mass Index, Underweight, Overweight, and Obesity from 1975 to 2016: A Pooled Analysis of 2416 Population-Based Measurement Studies in 128.9 Million Children, Adolescents, and Adults. Lancet 2017, 390, 2627–2642. [Google Scholar] [CrossRef]
- Albon, H.M.; Hamlin, M.J.; Ross, J.J. Secular trends and distributional changes in health and fitness performance variables of 10–14-year-old children in New Zealand between 1991 and 2003. Br. J. Sports Med. 2010, 44, 263–269. [Google Scholar] [CrossRef]
- Matton, L.; Duvigneaud, N.; Wijndaele, K.; Philippaerts, R.; Duquet, W.; Beunen, G.; Claessens, A.L.; Thomis, M.; Lefevre, J. Secular trends in anthropometric characteristics, physical fitness, physical activity, and biological maturation in Flemish adolescents between 1969 and 2005. Am. J. Hum. Biol. 2007, 19, 345–357. [Google Scholar] [CrossRef] [PubMed]
- Pereira, S.; Santos, C.; Tani, G.; Freitas, D.; Garbeloto, F.; Guimarães, E.; Robinson, L.E.; Baxter-Jones, A.; Katzmarzyk, P.T.; Maia, J. Physical fitness spurts in pre-adolescent boys and girls: Timing, intensity and sequencing. J. Sports Sci. 2022, 40, 630–637. [Google Scholar] [CrossRef] [PubMed]
- Westerståhl, M.; Barnekow-Bergkvist, M.; Hedberg, G.; Jansson, E. Secular trends in body dimensions and physical fitness among adolescents in Sweden from 1974 to 1995. Scand. J. Med. Sci. Sports 2003, 13, 128–137. [Google Scholar] [CrossRef]
- Ploegmakers, J.J.; Hepping, A.M.; Geertzen, J.H.; Bulstra, S.K.; Stevens, M. Grip strength is strongly associated with height, weight and gender in childhood: A cross sectional study of 2241 children and adolescents providing reference values. J. Physiother. 2013, 59, 255–261. [Google Scholar] [CrossRef] [PubMed]
- Xu, Y.; Mei, M.; Wang, H.; Yan, Q.; He, G. Association between Weight Status and Physical Fitness in Chinese Mainland Children and Adolescents: A Cross-Sectional Study. Int. J. Environ. Res. Public Health 2020, 17, 2468. [Google Scholar] [CrossRef] [PubMed]


| Age * | 2009 | 2019 | ||||
|---|---|---|---|---|---|---|
| (Years) | Girls | Boys | Total | Girls | Boys | Total |
| 6 | 38 | 48 | 86 | 50 | 50 | 100 |
| 7 | 55 | 47 | 102 | 72 | 72 | 144 |
| 8 | 47 | 62 | 109 | 75 | 88 | 163 |
| 9 | 66 | 74 | 140 | 78 | 84 | 162 |
| 10 | 69 | 70 | 139 | 89 | 71 | 160 |
| 11 | 74 | 57 | 131 | 87 | 67 | 154 |
| TOTAL | 349 | 358 | 707 | 451 | 432 | 883 |
| Characteristics | 2009 | 2019 |
|---|---|---|
| Geographic | ||
| Geographical area (km2) | 883.8 | |
| Demographic | ||
| Total population (inhabitants) | 11,242 | 6833 |
| Socioeconomic | ||
| Human Development Index | 0.42 | 0.49 |
| Per capita family income (SOL per month) | 434.15 | 707.32 |
| Primary production | Stockbreeding/Agriculture | |
| Sportive features | ||
| Number of clubs | 12 | 08 |
| Number of practitioners | 260 | 150 |
| Sports practiced | Soccer, volleyball, athletics, basketball | Soccer, volleyball, athletics, basketball, handball |
| Infrastructure for physical activity and sports | ||
| Parks | Yes | Yes |
| Kids’ playground | No | Yes |
| Pool | No | No |
| Multisport indoor | Yes | Yes |
| Multisport outdoor | Yes | Yes |
| Gymnastics complex | No | No |
| Physical Education (PE) classes | ||
| Total population (schoolchildren) | 3560 | 2649 |
| PE frequency (p/week) | 1 | 1 |
| PE duration (hours) | Primary and Secondary (2 h) | Primary (3 h); Secondary (2 h) |
| Equipment available (type) | Balls, cones, chess game | Balls, cones, chess game, gymnastic mats, banks |
| Extracurricular activities (type) | Folk dances | Folk dances, rhythmic gymnastics |
| Number of participants in the school sports program | 450 | 400 |
| Girls | ||||||||||||||||
|---|---|---|---|---|---|---|---|---|---|---|---|---|---|---|---|---|
| Handgrip (kgf) | Standing Long Jump (cm) | Sit and Reach (cm) | Shuttle-Run (s) | |||||||||||||
| Age (y) | 2009 | 2019 | Diff. | 95%CI | 2009 | 2019 | Diff. | 95%CI | 2009 | 2019 | Diff. | 95%CI | 2009 | 2019 | Diff. | 95%CI |
| 6 | 6.2 ± 0.4 | 7.0 ± 0.4 | 0.8 ns | −0.44; 1.86 | 93.3 ± 2.8 | 80.4 ± 2.4 | −12.9 ** | −20.08; −5.69 | 20.9 ± 0.8 | 24.2 ± 0.7 | 3.3 ** | 1.32; 5.35 | 28.8 ± 0.4 | 31.5 ± 0.3 | 2.7 ** | 1.68; 3.77 |
| 7 | 7.1 ± 0.4 | 8.0 ± 0.3 | 0.9 ns | −0.13; 1.78 | 91.7 ± 2.3 | 89.4 ± 2.0 | −2.3 ns | −8.25; 3.73 | 21.3 ± 0.6 | 23.0 ± 0.6 | 1.7 * | −0.06; 3.29 | 29.4 ± 0.3 | 30.1 ± 0.3 | 0.7 ns | −0.15; 1.59 |
| 8 | 8.4 ± 0.4 | 9.1 ± 0.3 | 0.7 ns | −0.32; 1.67 | 104.5 ± 2.5 | 92.4 ± 2.0 | −12.1 ** | −18.26; −5.82 | 20.0 ± 0.7 | 22.5 ± 0.6 | 2.5 ** | 0.67; 4.15 | 29.1 ± 0.4 | 29.2 ± 0.3 | 0.1 ns | −0.83; 0.97 |
| 9 | 9.3 ± 0.3 | 10.5 ± 0.3 | 1.2 ns | 0.24; 2.02 | 105.0 ± 2.1 | 98.8 ± 1.9 | −6.2 * | −11.87; −0.68 | 20.3 ± 0.6 | 22.0 ± 0.5 | 1.7 * | 0.11; 3.24 | 28.9 ± 0.3 | 28.7 ± 0.3 | −0.2 ns | −0.97; 0.65 |
| 10 | 11.5 ± 0.3 | 11.9 ± 0.3 | 0.4 ns | −0.51; 1.20 | 110.8 ± 2.0 | 104.9 ± 1.8 | −5.9 * | −11.25; −0.52 | 20.2 ± 0.6 | 22.4 ± 0.5 | 2.2 ** | 0.68; 3.68 | 28.9 ± 0.3 | 27.9 ± 2.3 | −1.0 ** | −1.79; −0.23 |
| 11 | 14.6 ± 0.3 | 14.7 ± 0.3 | 0.1 ns | −0.71; 0.98 | 116.2 ± 2.0 | 109.1 ± 1.8 | −7.1 ** | −12.39; −1.82 | 21.2 ± 0.5 | 23.0 ± 0.5 | 1.8 * | 0.28; 3.24 | 27.9 ± 2.4 | 26.9 ± 2.4 | −1.0 ** | −1.78; −0.24 |
| Two-Factor ANOVA Model Results | ||||||||||||||||
| Age | F = 156.06, p < 0.001, η2 = 0.497 | F = 41.91, p < 0.001, η2 = 0.210 | F = 1.84, p = 0.103, η2 = 0.012 | F = 20.01, p < 0.001, η2 = 0.112 | ||||||||||||
| Year | F = 10.33, p < 0.001, η2 = 0.012 | F = 38.77, p < 0.001, η2 = 0.047 | F = 38.76, p < 0.001, η2 = 0.047 | F = 1.52, p = 0.217, η2 = 0.002 | ||||||||||||
| Age-by-Year | F = 0.63, p = 0.679, η2 = 0.003 | F = 1.54, p = 0.175, η2 = 0.009 | F = 0.48, p = 0.792, η2 = 0.003 | F = 8.46, p < 0.001, η2 = 0.509 | ||||||||||||
| Boys | ||||||||||||||||
|---|---|---|---|---|---|---|---|---|---|---|---|---|---|---|---|---|
| Handgrip (kgf) | Standing Long Jump (cm) | Sit and Reach (cm) | Shuttle-Run (s) | |||||||||||||
| Age (y) | 2009 | 2019 | Diff. | 95%CI | 2009 | 2019 | Diff. | 95%CI | 2009 | 2019 | Diff. | 95%CI | 2009 | 2019 | Diff. | 95%CI |
| 6 | 6.9 ± 0.4 | 7.2 ± 0.4 | 0.3 ns | −0.75; 1.45 | 99.9 ± 2.3 | 87.9 ± 2.3 | −12.0 ** | −18.47; −5.74 | 22.2 ± 0.7 | 22.7 ± 0.7 | 0.5 ns | −1.42; 2.30 | 28.3 ± 0.4 | 30.1 ± 0.4 | 1.8 ** | 0.74; 2.90 |
| 7 | 7.8 ± 0.4 | 8.4 ± 0.3 | 0.6 ns | −0.44; 1.61 | 101.1 ± 2.3 | 92.3 ± 1.9 | −8.8 ** | −14.67; −2.85 | 22.5 ± 0.7 | 22.2 ± 0.6 | −0.3 ns | −2.07; 1.37 | 28.0 ± 0.4 | 29.4 ± 0.3 | 1.4 ** | 0.36; 2.38 |
| 8 | 9.3 ± 0.3 | 9.7 ± 0.3 | 0.4 ns | −0.55; 1.26 | 106.7 ± 2.0 | 103.1 ± 1.7 | −3.6 ns | −8.76; 1.69 | 21.4 ± 0.6 | 21.2 ± 0.5 | −0.2 ns | −1.76; 1.29 | 28.2 ± 0.3 | 27.5 ± 0.3 | −0.7 ns | −1.52; 0.27 |
| 9 | 10.8 ± 0.3 | 11.0 ± 0.3 | 0.2 ns | −0.59; 1.15 | 113.1 ± 1.9 | 112.0 ± 1.8 | −1.1 ns | −6.14; 3.90 | 20.6 ± 0.5 | 20.1 ± 0.5 | −0.5 ns | −1.98; 0.95 | 27.6 ± 0.3 | 27.2 ± 0.3 | −0.4 ns | −1.26; 0.46 |
| 10 | 12.4 ± 0.3 | 13.0 ± 0.3 | 0.6 ns | −0.38; 1.45 | 120.4 ± 1.9 | 115.5 ± 1.9 | −4.9 ns | −10.17; 0.44 | 19.2 ± 0.6 | 19.6 ± 0.6 | 0.4 ns | −1.11; 1.99 | 27.5 ± 0.3 | 27.2 ± 0.3 | −0.3 ns | −1.24; 0.57 |
| 11 | 14.5 ± 0.4 | 14.4 ± 0.3 | −0.1 ns | −1.10; 0.86 | 124.8 ± 2.1 | 121.4 ± 2.0 | −3.4 ns | −9.10; 2.25 | 20.3 ± 0.6 | 20.0 ± 0.6 | −0.3 ns | −2.01; 1.31 | 26.9 ± 0.4 | 25.8 ± 0.3 | −1.1 * | −2.01; −0.07 |
| Two-Factor ANOVA Model Results | ||||||||||||||||
| Age | F = 118.88, p < 0.001, η2 = 0.433 | F = 62.02, p < 0.001, η2 = 0.285 | F = 8.35, p < 0.001, η2 = 0.051 | F = 15.67, p < 0.001, η2 = 0.091 | ||||||||||||
| Year | F = 2.70, p = 0.101, η2 = 0.003 | F = 23.40, p < 0.001, η2 = 0.029 | F = 0.08, p = 0.775, η2 = 0.001 | F = 0.45, p = 0.504, η2 = 0.001 | ||||||||||||
| Age-by-Year | F = 0.25, p = 0.939, η2 = 0.002 | F = 1.85, p = 0.101, η2 = 0.118 | F = 0.26, p = 0.936, η2 = 0.002 | F = 5.13, p < 0001, η2 = 0.032 | ||||||||||||
Disclaimer/Publisher’s Note: The statements, opinions and data contained in all publications are solely those of the individual author(s) and contributor(s) and not of MDPI and/or the editor(s). MDPI and/or the editor(s) disclaim responsibility for any injury to people or property resulting from any ideas, methods, instructions or products referred to in the content. |
© 2023 by the authors. Licensee MDPI, Basel, Switzerland. This article is an open access article distributed under the terms and conditions of the Creative Commons Attribution (CC BY) license (https://creativecommons.org/licenses/by/4.0/).
Share and Cite
Santos, C.; Pereira, S.; Vasconcelos, O.; Tani, G.; Hedeker, D.; Katzmarzyk, P.T.; Maia, J.; Bustamante, A. Secular Trends in Physical Fitness of Peruvian Children Living at High-Altitude. Int. J. Environ. Res. Public Health 2023, 20, 3236. https://doi.org/10.3390/ijerph20043236
Santos C, Pereira S, Vasconcelos O, Tani G, Hedeker D, Katzmarzyk PT, Maia J, Bustamante A. Secular Trends in Physical Fitness of Peruvian Children Living at High-Altitude. International Journal of Environmental Research and Public Health. 2023; 20(4):3236. https://doi.org/10.3390/ijerph20043236
Chicago/Turabian StyleSantos, Carla, Sara Pereira, Olga Vasconcelos, Go Tani, Donald Hedeker, Peter T. Katzmarzyk, José Maia, and Alcibíades Bustamante. 2023. "Secular Trends in Physical Fitness of Peruvian Children Living at High-Altitude" International Journal of Environmental Research and Public Health 20, no. 4: 3236. https://doi.org/10.3390/ijerph20043236
APA StyleSantos, C., Pereira, S., Vasconcelos, O., Tani, G., Hedeker, D., Katzmarzyk, P. T., Maia, J., & Bustamante, A. (2023). Secular Trends in Physical Fitness of Peruvian Children Living at High-Altitude. International Journal of Environmental Research and Public Health, 20(4), 3236. https://doi.org/10.3390/ijerph20043236

