PTSD (Posttraumatic Stress Disorder) in Teachers: A Mini Meta-Analysis during COVID-19
Abstract
1. Introduction
2. Materials and Methods
2.1. Search Strategy
2.2. Selection Criteria
2.3. Methodological Quality Assessment
2.4. Data Extraction and Statistical Analysis
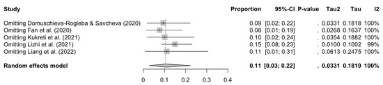
3. Results
4. Discussion
5. Conclusions
Supplementary Materials
Author Contributions
Funding
Institutional Review Board Statement
Informed Consent Statement
Data Availability Statement
Conflicts of Interest
References
- WHO Director-General’s Opening Remarks at the Media Briefing on COVID-19. 11 March 2020. Available online: https://www.who.int/director-general/speeches/detail/who-director-general-s-opening-remarks-at-the-media-briefing-on-covid-19---11-march-2020 (accessed on 1 September 2021).
- Nussbaumer-Streit, B.; Mayr, V.; Dobrescu, A.I.; Chapman, A.; Persad, E.; Klerings, I.; Wagner, G.; Siebert, U.; Christof, C.; Zachariah, C.; et al. Quarantine alone or in combination with other public health measures to control COVID-19: A rapid review. Cochrane Database Syst. Rev. 2020, 9, CD013574. [Google Scholar] [CrossRef] [PubMed]
- Talic, S.; Shah, S.; Wild, H.; Gasevic, D.; Maharaj, A.; Ademi, Z.; Li, X.; Xu, W.; Mesa-Eguiagaray, I.; Rostron, J.; et al. Effectiveness of public health measures in reducing the incidence of covid-19, SARS-CoV-2 transmission, and covid-19 mortality: Systematic review and meta-analysis. BMJ 2021, 375, e068302. [Google Scholar] [CrossRef] [PubMed]
- Cachón-Zagalaz, J.; Sánchez-Zafra, M.; Sanabrias-Moreno, D.; González-Valero, G.; Lara-Sánchez, A.J.; Zagalaz-Sánchez, M.L. Systematic Review of the Literature About the Effects of the COVID-19 Pandemic on the Lives of School Children. Front. Psychol. 2020, 11, 569348. [Google Scholar] [CrossRef] [PubMed]
- Viner, R.M.; Russell, S.J.; Croker, H.; Packer, J.; Ward, J.; Stansfield, C.; Mytton, O.; Bonell, C.; Booy, R. School closure and management practices during coronavirus outbreaks including COVID-19: A rapid systematic review. Lancet Child Adolesc. Health 2020, 4, 397–404. [Google Scholar] [CrossRef]
- Krishnaratne, S.; Pfadenhauer, L.M.; Coenen, M.; Geffert, K.; Jung-Sievers, C.; Klinger, C.; Kratzer, S.; Littlecott, H.; Movsisyan, A.; Rabe, J.E.; et al. Measures implemented in the school setting to contain the COVID-19 pandemic: A scoping review. Cochrane Database Syst. Rev. 2020, 12, CD013812. [Google Scholar] [CrossRef]
- Gicheva, D. Teachers’ Working Hours During the COVID-19 Pandemic. Educ. Res. 2021, 51, 85–87. [Google Scholar] [CrossRef]
- Lizana, P.A.; Vega-Fernadez, G. Teacher Teleworking during the COVID-19 Pandemic: Association between Work Hours, Work-Family Balance and Quality of Life. Int. J. Environ. Res. Public Health 2021, 18, 7566. [Google Scholar] [CrossRef]
- Pressley, T. Factors contributing to teacher burnout during COVID-19. Educ. Res. 2021, 50, 325–327. [Google Scholar] [CrossRef]
- Etchells, M.J.; Brannen, L.; Donop, J.; Bielefeldt, J.; Singer, E.A.; Moorhead, E.; Walderon, T. Synchronous teaching and asynchronous trauma: Exploring teacher trauma in the wake of COVID-19. Soc. Sci. Humanit. Open. 2021, 4, 100197. [Google Scholar] [CrossRef]
- Fan, C.; Fu, P.; Li, X.; Li, M.; Zhu, M. Trauma exposure and the PTSD symptoms of college teachers during the peak of the COVID-19 outbreak. Stress Health 2021, 37, 914–927. [Google Scholar] [CrossRef]
- Baptiste, Y.M. Digital Feast and Physical Famine: The Altered Ecosystem of Anatomy Education due to the COVID-19 Pandemic. Anat. Sci. Educ. 2021, 14, 399–407. [Google Scholar] [CrossRef] [PubMed]
- Somani, P. The Role of Education During and After COVID-19. J. Soc. Sci. Stud. Res. 2021, 1, 34–40. [Google Scholar]
- Duran, M. The Effects of COVID-19 Pandemic on Preschool Education. Int. J. Educ. Methodol. 2021, 7, 249–260. [Google Scholar] [CrossRef]
- Inan, H.Z. Challenges of Distance/Online and Face-to-Face Education in the New Normal: Experiences of Reggio Emilia-Inspired Early Childhood Educators in Turkey. Pedagog. Res. 2021, 6, em0086. [Google Scholar] [CrossRef]
- Borup, J.; Jensen, M.; Archambault, L.; Short, C.R.; Graham, C.R. Supporting students during COVID-19: Developing and leveraging academic communities of engagement in a time of crisis. J. Technol. Teach. Educ. 2020, 28, 161–169. [Google Scholar]
- Permatasari, N.; Ashari, F.R.; Ismail, N. Contribution of perceived social support (peer, family, and teacher) to academic resilience during COVID-19. Gold. Ratio Soc. Sci. Educ. 2021, 1, 1. [Google Scholar] [CrossRef]
- McLennan, C.; Mercieca, D.; Mercieca, D. What can I do? Teachers, students and families in relationship during COVID-19 lockdown in Scotland. Malta Rev. Educ. Res. 2020, 14, 163–181. [Google Scholar]
- Tal, C.; Tish, S.; Tal, P. Parental Perceptions of Their Preschool and Elementary School Children with Respect to Teacher-Family Relations and Teaching Methods During the First COVID-19 Lockdown. Pedagog. Res. 2022, 7, em0114. [Google Scholar] [CrossRef]
- Georgieva, I.; Lepping, P.; Bozev, V.; Lickiewicz, J.; Pekara, J.; Wikman, S.; Loseviča, M.; Raveesh, B.N.; Mihai, A.; Lantta, T. Prevalence, new incidence, course, and risk factors of PTSD, depression, anxiety, and panic disorder during the COVID-19 pandemic in 11 countries. Healthcare 2021, 9, 664. [Google Scholar] [CrossRef]
- Ozamiz-Etxebarria, N.; Idoiaga Mondragon, N.; Bueno-Notivol, J.; Pérez-Moreno, M.; Santabárbara, J. Prevalence of Anxiety, Depression, and Stress among Teachers during the COVID-19 Pandemic: A Rapid Systematic Review with Meta-Analysis. Brain Sci. 2021, 11, 1172. [Google Scholar] [CrossRef]
- Deja, M.; Denke, C.; Weber-Carstens, S.; Schröder, J.; Pille, C.E.; Hokema, F.; Falke, K.J.; Kaisers, U. Social support during intensive care unit stay might improve mental impairment and consequently health-related quality of life in survivors of severe acute respiratory distress syndrome. Crit. Care 2006, 10, R147. [Google Scholar] [CrossRef] [PubMed]
- Blevins, C.A.; Weathers, F.W.; Davis, M.T.; Witte, T.K.; Domino, J.L. The Posttraumatic Stress Disorder Checklist for DSM-5 (PCL-5): Development and Initial Psychometric Evaluation. J. Trauma Stress 2015, 28, 489–498. [Google Scholar] [CrossRef]
- American Psychiatric Association. Diagnostic and Statistical Manual of Mental Disorders (DSM-5®); American Psychiatric Pub: Washington, DC, USA, 2013. [Google Scholar]
- Kukreti, S.; Ahorsu, D.K.; Strong, C.; Chen, I.H.; Lin, C.Y.; Ko, N.Y.; Griffiths, M.D.; Chen, Y.P.; Kuo, Y.J.; Pakpour, A.H. Post-Traumatic Stress Disorder in Chinese Teachers during COVID-19 Pandemic: Roles of Fear of COVID-19, Nomophobia, and Psychological Distress. Healthcare 2021, 9, 1288. [Google Scholar] [CrossRef] [PubMed]
- Li, Y.; Scherer, N.; Felix, L.; Kuper, H. Prevalence of depression, anxiety and post-traumatic stress disorder in health care workers during the COVID-19 pandemic: A systematic review and meta-analysis. PLoS ONE 2021, 16, e0246454. [Google Scholar] [CrossRef] [PubMed]
- Cénat, J.M.; Blais-Rochette, C.; Kokou-Kpolou, C.K.; Noorishad, P.G.; Mukunzi, J.N.; McIntee, S.E.; Dalexis, R.D.; Goulet, M.A.; Labelle, P.R. Prevalence of symptoms of depression, anxiety, insomnia, posttraumatic stress disorder, and psychological distress among populations affected by the COVID-19 pandemic: A systematic review and meta-analysis. Psychiatry Res. 2021, 295, 113599. [Google Scholar] [CrossRef]
- Salehi, M.; Amanat, M.; Mohammadi, M.; Salmanian, M.; Rezaei, N.; Saghazadeh, A.; Garakani, A. The prevalence of post-traumatic stress disorder related symptoms in Coronavirus outbreaks: A systematic-review and meta-analysis. J. Affect. Disord. 2021, 282, 527–538. [Google Scholar] [CrossRef]
- Qiu, D.; Li, Y.; Li, L.; He, J.; Ouyang, F.; Xiao, S. Prevalence of post-traumatic stress symptoms among people influenced by coronavirus disease 2019 outbreak: A meta-analysis. Eur. Psychiatry 2021, 64, e30. [Google Scholar] [CrossRef]
- Crosby, L.; Shantel, D.; Penny, B.; Thomas, M. Teaching through collective trauma in the era of COVID-19: Trauma-informed practices for middle level learners. Middle Grades Rev. 2020, 6, 5. [Google Scholar]
- Cummings, S.R.; Browner, W.S.; Hulley, S.B. Conceiving the research question and developing the study plan. Des. Clin. Res. 2013, 4, 14–22. [Google Scholar]
- Moher, D.; Liberati, A.; Tetzlaff, J.; Altman, D.G.; Prisma Group. Preferred reporting items for systematic reviews and meta-analyses: The PRISMA statement. PLoS Med. 2009, 6, e1000097. [Google Scholar] [CrossRef]
- Methods Group of the Campbell Collaboration. Methodological expectations of Campbell Collaboration intervention reviews: Conduct standards. Campbell Policies Guidel. Ser. 2016, 3, 23. [Google Scholar]
- Harrer, M.; Cuijpers, P.; Furukawa, T.A.; Ebert, D.D. Doing Meta-Analysis with R: A Hands-On Guide; Chapman and Hall/CRC: Boca Raton, FL, USA, 2021. [Google Scholar]
- Loney, P.L.; Chambers, L.W.; Bennett, K.J.; Roberts, J.G.; Stratford, P.W. Critical appraisal of the health research literature: Prevalence or incidence of a health problem. Chronic Dis. Can. 1998, 19, 170–176. [Google Scholar] [PubMed]
- DerSimonian, R.; Laird, N. Meta-analysis in clinical trials. Control. Clin. Trials 1986, 7, 177–188. [Google Scholar] [CrossRef] [PubMed]
- Lin, L.; Xu, C. Arcsine-based transformations for meta-analysis of proportions: Pros, cons, and alternatives. Health Sci. Rep. 2020, 3, e178. [Google Scholar] [CrossRef] [PubMed]
- Von Hippel, P.T. The heterogeneity statistic I(2) can be biased in small meta-analyses. BMC Med. Res. Methodol. 2015, 15, 35. [Google Scholar] [CrossRef] [PubMed]
- Higgins, J.P.; Thompson, S.G.; Deeks, J.J.; Altman, D.G. Measuring inconsistency in meta-analyses. BMJ 2003, 327, 557–560. [Google Scholar] [CrossRef]
- Thompson, S.G.; Higgins, J.P. How should meta-regression analyses be undertaken and interpreted? Stat. Med. 2002, 21, 1559–1573. [Google Scholar] [CrossRef]
- Cochrane Handbook for Systematic Reviews of Interventions. Version 5.1.0 [updatedMarch 2011]. The Cochrane Collaboration. 2011. Available online: https://handbook-5-1.cochrane.org/ (accessed on 12 November 2021).
- Hunter, J.P.; Saratzis, A.; Sutton, A.J.; Boucher, R.H.; Sayers, R.D.; Bown, M.J. In meta-analyses of proportion studies, funnel plots were found to be an inaccurate method of assessing publication bias. J. Clin. Epidemiol. 2014, 67, 897–903. [Google Scholar] [CrossRef]
- Rosenberg, M.S. The file-drawer problem revisited: A general weighted method for calculating fail-safe numbers in meta-analysis. Evolution 2005, 59, 464–468. [Google Scholar]
- Sterne, J.A.; Sutton, A.J.; Ioannidis, J.P.; Terrin, N.; Jones, D.R.; Lau, J.; Carpenter, J.; Rücker, G.; Harbord, R.M.; Schmid, C.H.; et al. Recommendations for examining and interpreting funnel plot asymmetry in meta-analyses of randomised controlled trials. BMJ 2011, 343, d4002. [Google Scholar] [CrossRef]
- Development Core Team. R: A Language and Environment for Statistical Computing; R Foundation for Statistical Computing: Vienna, Austria, 2019. [Google Scholar]
- Lizhi, X.; Peng, C.; Wanhong, Z.; Shengmei, X.; Lingjiang, L.; Li, Z.; Xiaoping, W.; Weihui, L. Factors Associated With Preference of Psychological Intervention and Mental Status Among Chinese Teachers During Coronavirus Disease 2019: A Large Cross-Sectional Survey. Front. Psychiatry 2021, 12, 704010. [Google Scholar] [CrossRef] [PubMed]
- Liang, J.; Gao, Y.; Chen, I.; Chen, X.; Zheng, Y. The Association between Post-Traumatic Stress Disorder and Psychological Distress among Primary School and Middle School Teachers during the COVID-19 Epidemic: A Moderated Mediation Analysis. Sustainability 2022, 14, 12128. [Google Scholar] [CrossRef]
- Domuschieva-Rogleva, G.; Savcheva, E. The Psychological Impact of COVID-19 on University Lecturers in the Field of Sports Education. Pedagog.-Pedagog. 2020, 92, 163–175. [Google Scholar]
- Saakvitne, K.W. Shared trauma: The therapist’s increased vulnerability. Psychoanal. Dialogues 2002, 12, 443–449. [Google Scholar] [CrossRef]
- Miller, K.; Flint-Stipp, K. Preservice teacher burnout: Secondary trauma and self-care issues in teacher education. Issues Teach. Educ. 2019, 28, 28–45. [Google Scholar]
- Yuan, K.; Gong, Y.M.; Liu, L.; Sun, Y.K.; Tian, S.S.; Wang, Y.J.; Zhong, Y.; Zhang, A.Y.; Su, S.Z.; Liu, X.X.; et al. Prevalence of posttraumatic stress disorder after infectious disease pandemics in the twenty-first century, including COVID-19: A meta-analysis and systematic review. Mol. Psychiatry 2021, 26, 4982–4998. [Google Scholar] [CrossRef] [PubMed]
- Ghahramani, S.; Kasraei, H.; Hayati, R.; Tabrizi, R.; Marzaleh, M.A. Health care workers’ mental health in the face of COVID-19: A systematic review and meta-analysis. Int. J. Psychiatry Clin. Pract. 2022. [Google Scholar] [CrossRef]
- Boyraz, G.; Waits, J.B.; Felix, V.A.; Wynes, D.D. Posttraumatic stress and physical health among adults: The role of coping mechanisms. J. Loss Trauma 2016, 21, 47–61. [Google Scholar] [CrossRef]
- Kessler, R.C.; Berglund, P.; Demler, O.; Jin, R.; Merikangas, K.R.; Walters, E.E. Lifetime prevalence and age-of-onset distributions of DSM-IV disorders in the National Comorbidity Survey Replication. Arch. Gen. Psychiatry 2005, 62, 593–602. [Google Scholar] [CrossRef]
- Pietrzak, R.H.; Goldstein, R.B.; Southwick, S.M.; Grant, B.F. Prevalence and Axis I comorbidity of full and partial posttraumatic stress disorder in the United States: Results from Wave 2 of the National Epidemiologic Survey on Alcohol and Related Conditions. J. Anxiety Disord. 2011, 25, 456–465. [Google Scholar] [CrossRef]
- Karatzias, T.; Hyland, P.; Bradley, A.; Cloitre, M.; Roberts, N.P.; Bisson, J.I.; Shevlin, M. Risk factors and comorbidity of ICD-11 PTSD and complex PTSD: Findings from a trauma-exposed population based sample of adults in the United Kingdom. Depress. Anxiety 2019, 36, 887–894. [Google Scholar] [CrossRef] [PubMed]
- Hong, X.; Currier, G.W.; Zhao, X.; Jiang, Y.; Zhou, W.; Wei, J. Posttraumatic stress disorder in convalescent severe acute respiratory syndrome patients: A 4-year follow-up study. Gen. Hosp. Psychiatry 2009, 31, 546–554. [Google Scholar] [CrossRef]
- Berger, R.; Abu-Raiya, H.; Benatov, J. Reducing primary and secondary traumatic stress symptoms among educators by training them to deliver a resiliency program (ERASE-Stress) following the Christchurch earthquake in New Zealand. Am. J. Orthopsychiatry 2016, 86, 236. [Google Scholar] [CrossRef] [PubMed]
- Cohen, M.; Gagin, R.; Peled-Avram, M. Multiple terrorist attacks: Compassion fatigue in Israeli social workers. Traumatology 2006, 12, 293–301. [Google Scholar] [CrossRef]
- Goh, J.X.; Hall, J.A.; Rosenthal, R. Mini meta-analysis of your own studies: Some arguments on why and a primer on how. Soc. Personal. Psychol. Compass 2016, 10, 535–549. [Google Scholar] [CrossRef]
- Valentine, J.C.; Pigott, T.D.; Rothstein, H.R. How many studies do you need? A primer on statistical power for meta-analysis. J. Educ. Behav. Stat. 2010, 35, 215–247. [Google Scholar] [CrossRef]
- Thorlund, K.; Imberger, G.; Johnston, B.C.; Walsh, M.; Awad, T.; Thabane, L.; Gluud, C.; Devereaux, P.J.; Wetterslev, J. Evolution of heterogeneity (I2) estimates and their 95% confidence intervals in large meta-analyses. PLoS ONE. 2012, 7, e39471. [Google Scholar] [CrossRef] [PubMed]

| First Author (Publication Year) | Sample Country | Population | Sample Size (n) | Mean Age (SD) | Females (%) | Response Rate (%) | Sampling Method | Quality Assessment |
|---|---|---|---|---|---|---|---|---|
| Domuschieva-Rogleba & Savcheva (2020) [48] | Bulgaria | University teachers | 67 | NR | 46.3% | NR | NR | 2 |
| Fan et al. (2020) [11] | China | University teachers | 1650 | 40.3 (8.3) | 51.8% | 80% | Random | 6 |
| Kukreti et al. (2021) [25] | China | School teachers | 2603 | NR | 71.6% | NR | Non-probabilistic | 5 |
| Lizhi et al. (2021) [46] | China | All teachers | 18,529 | NR | 78.9% | NR | NR | 5 |
| Liang et al. (2022) [47] | China | Primary and middle school teachers | 11,014 | NR | 71.3% | NR | NR | 3 |
| Study | 1 | 2 | 3 | 4 | 5 | 6 | 7 | 8 | Total |
|---|---|---|---|---|---|---|---|---|---|
| Domuschieva-Rogleba & Savcheva (2020) [48] | 0 | 0 | 0 | 0 | 0 | 0 | 1 | 1 | 2 |
| Fan et al. (2020) [11] | 1 | 0 | 1 | 1 | 0 | 1 | 1 | 1 | 6 |
| Kukreti et al. (2021) [25] | 0 | 0 | 1 | 1 | 0 | 1 | 1 | 1 | 5 |
| Lizhi et al. (2021) [46] | 0 | 1 | 1 | 1 | 0 | 0 | 1 | 1 | 5 |
| Liang et al. (2022) [47] | 0 | 0 | 1 | 1 | 0 | 0 | 0 | 1 | 3 |
Disclaimer/Publisher’s Note: The statements, opinions and data contained in all publications are solely those of the individual author(s) and contributor(s) and not of MDPI and/or the editor(s). MDPI and/or the editor(s) disclaim responsibility for any injury to people or property resulting from any ideas, methods, instructions or products referred to in the content. |
© 2023 by the authors. Licensee MDPI, Basel, Switzerland. This article is an open access article distributed under the terms and conditions of the Creative Commons Attribution (CC BY) license (https://creativecommons.org/licenses/by/4.0/).
Share and Cite
Idoiaga Mondragon, N.; Fernandez, I.L.; Ozamiz-Etxebarria, N.; Villagrasa, B.; Santabárbara, J. PTSD (Posttraumatic Stress Disorder) in Teachers: A Mini Meta-Analysis during COVID-19. Int. J. Environ. Res. Public Health 2023, 20, 1802. https://doi.org/10.3390/ijerph20031802
Idoiaga Mondragon N, Fernandez IL, Ozamiz-Etxebarria N, Villagrasa B, Santabárbara J. PTSD (Posttraumatic Stress Disorder) in Teachers: A Mini Meta-Analysis during COVID-19. International Journal of Environmental Research and Public Health. 2023; 20(3):1802. https://doi.org/10.3390/ijerph20031802
Chicago/Turabian StyleIdoiaga Mondragon, Nahia, Idoia Legorburu Fernandez, Naiara Ozamiz-Etxebarria, Beatriz Villagrasa, and Javier Santabárbara. 2023. "PTSD (Posttraumatic Stress Disorder) in Teachers: A Mini Meta-Analysis during COVID-19" International Journal of Environmental Research and Public Health 20, no. 3: 1802. https://doi.org/10.3390/ijerph20031802
APA StyleIdoiaga Mondragon, N., Fernandez, I. L., Ozamiz-Etxebarria, N., Villagrasa, B., & Santabárbara, J. (2023). PTSD (Posttraumatic Stress Disorder) in Teachers: A Mini Meta-Analysis during COVID-19. International Journal of Environmental Research and Public Health, 20(3), 1802. https://doi.org/10.3390/ijerph20031802

