Beauty Beware: Associations between Perceptions of Harm and Safer Hair-Product-Purchasing Behaviors in a Cross-Sectional Study of Adults Affiliated with a University in the Northeast
Abstract
1. Introduction
2. Materials and Methods
2.1. Data Source and Study Participants
2.2. Independent Variables
2.3. Dependent Variables
2.4. Statistical Analyses
3. Results
3.1. Sample Characteristics and Distributions of Perceptions of Harm and Hair-Product-Purchasing Behaviors
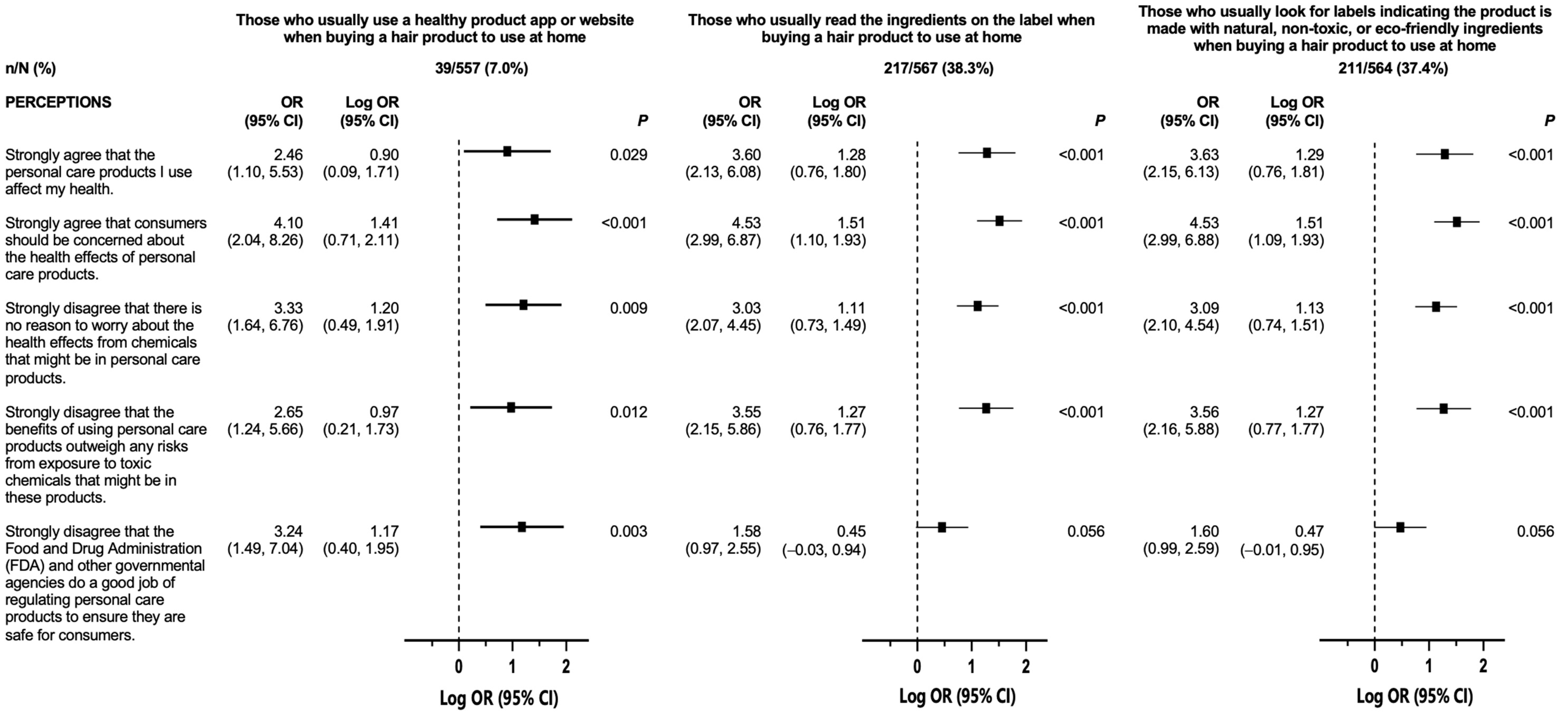
3.2. Associations between Perceptions of Harm and Hair-Product-Purchasing Behaviors
4. Discussion
5. Conclusions
Supplementary Materials
Author Contributions
Funding
Institutional Review Board Statement
Informed Consent Statement
Data Availability Statement
Acknowledgments
Conflicts of Interest
References
- World Health Organization. State of the Science of Endocrine Disrupting Chemicals 2012: Summary for Decision-Makers; Report No.: WHO/HSE/PHE/IHE/2013.1. 2013. Available online: https://apps.who.int/iris/handle/10665/78102 (accessed on 6 December 2022).
- Food and Drug Admistration C for FS and A. Parabens in Cosmetics. 3 March 2022. Available online: https://www.fda.gov/cosmetics/cosmetic-ingredients/parabens-cosmetics (accessed on 5 April 2023).
- Centers for Disease Control and Prevention. Phthalates Factsheet|National Biomonitoring Program|CDC. 2021. Available online: https://www.cdc.gov/biomonitoring/Phthalates_FactSheet.html (accessed on 5 April 2023).
- White, A.J.; Gregoire, A.M.; Taylor, K.W.; Eberle, C. Adolescent use of hair dyes, straighteners and perms in relation to breast cancer risk. Int. J. Cancer 2021, 148, 2255–2263. [Google Scholar] [CrossRef]
- James-Todd, T.; Terry, M.B.; Rich-Edwards, J.; Deierlein, A.; Senie, R. Childhood Hair Product Use and Earlier Age at Menarche in a Racially Diverse Study Population: A Pilot Study. Ann. Epidemiol. 2011, 21, 461–465. [Google Scholar] [CrossRef] [PubMed]
- McDonald, J.A.; Tehranifar, P.; Flom, J.D.; Terry, M.B.; James-Todd, T. Hair product use, age at menarche and mammographic breast density in multiethnic urban women. Environ. Health 2018, 17, 1. [Google Scholar] [CrossRef] [PubMed]
- Donovan, M.; Tiwary, C.M.; Axelrod, D.; Sasco, A.J.; Jones, L.; Hajek, R.; Sauber, E.; Kuo, J.; Davis, D.L. Personal care products that contain estrogens or xenoestrogens may increase breast cancer risk. Med. Hypotheses 2007, 68, 756–766. [Google Scholar] [CrossRef] [PubMed]
- Heikkinen, S.; Pitkäniemi, J.; Sarkeala, T.; Malila, N.; Koskenvuo, M. Does Hair Dye Use Increase the Risk of Breast Cancer? A Population-Based Case-Control Study of Finnish Women. PLoS ONE 2015, 10, e0135190. [Google Scholar] [CrossRef] [PubMed]
- Eberle, C.E.; Sandler, D.P.; Taylor, K.W.; White, A.J. Hair dye and chemical straightener use and breast cancer risk in a large US population of black and white women. Int. J. Cancer 2020, 147, 383–391. [Google Scholar] [CrossRef] [PubMed]
- Chang, C.J.; O’Brien, K.M.; Keil, A.P.; Gaston, S.A.; Jackson, C.L.; Sandler, D.P.; White, A.J. Use of Straighteners and Other Hair Products and Incident Uterine Cancer. J. Natl. Cancer Inst. 2022, 114, 1636–1645. [Google Scholar] [CrossRef] [PubMed]
- Rao, R.; McDonald, J.A.; Barrett, E.S.; Greenberg, P.; Teteh, D.K.; Montgomery, S.B.; Qin, B.; Lin, Y.; Hong, C.C.; Ambrosone, C.B.; et al. Associations of hair dye and relaxer use with breast tumor clinicopathologic features: Findings from the Women’s circle of Health Study. Environ. Res. 2022, 203, 111863. [Google Scholar] [CrossRef]
- Llanos, A.A.; Rabkin, A.; Bandera, E.V.; Zirpoli, G.; Gonzalez, B.D.; Xing, C.Y.; Qin, B.; Lin, Y.; Hong, C.C.; Demissie, K.; et al. Hair product use and breast cancer risk among African American and White women. Carcinogenesis 2017, 38, 883–892. [Google Scholar] [CrossRef]
- FDA. FDA Authority Over Cosmetics: How Cosmetics Are Not FDA-Approved, but Are FDA-Regulated. 3 August 2013. Available online: https://www.fda.gov/cosmetics/cosmetics-laws-regulations/fda-authority-over-cosmetics-how-cosmetics-are-not-fda-approved-are-fda-regulated (accessed on 12 November 2022).
- Dodson, R.E.; Boronow, K.E.; Susmann, H.; Udesky, J.O.; Rodgers, K.M.; Weller, D.; Woudneh, M.; Brody, J.G.; Rudel, R.A. Consumer behavior and exposure to parabens, bisphenols, triclosan, dichlorophenols, and benzophenone-3: Results from a crowdsourced biomonitoring study. Int. J. Hyg. Environ. Health 2020, 230, 113624. [Google Scholar] [CrossRef]
- Harley, K.G.; Kogut, K.; Madrigal, D.S.; Cardenas, M.; Vera, I.A.; Meza-Alfaro, G.; She, J.; Gavin, Q.; Zahedi, R.; Bradman, A.; et al. Reducing Phthalate, Paraben, and Phenol Exposure from Personal Care Products in Adolescent Girls: Findings from the HERMOSA Intervention Study. Environ. Health Perspect. 2016, 124, 1600–1607. [Google Scholar] [CrossRef]
- Dairkee, S.H.; Moore, D.H.; Luciani, M.G.; Anderle, N.; Gerona, R.; Ky, K.; Torres, S.M.; Marshall, P.V.; Goodson, W.H. Reduction of daily-use parabens and phthalates reverses accumulation of cancer-associated phenotypes within disease-free breast tissue of study subjects. Chemosphere 2023, 322, 138014. [Google Scholar] [CrossRef]
- Dodson, R.E.; Cardona, B.; Zota, A.R.; Robinson Flint, J.; Navarro, S.; Shamasunder, B. Personal care product use among diverse women in California: Taking Stock Study. J. Expo. Sci. Environ. Epidemiol. 2021, 31, 487–502. [Google Scholar] [CrossRef]
- Taylor, K.W.; Baird, D.D.; Herring, A.H.; Engel, L.S.; Nichols, H.B.; Sandler, D.P.; Troester, M.A. Associations among personal care product use patterns and exogenous hormone use in the NIEHS Sister Study. J. Expo. Sci. Environ. Epidemiol. 2017, 27, 458–464. [Google Scholar] [CrossRef]
- Parlett, L.E.; Calafat, A.M.; Swan, S.H. Women’s exposure to phthalates in relation to use of personal care products. J. Expo. Sci. Environ. Epidemiol. 2013, 23, 197–206. [Google Scholar] [CrossRef]
- Philippat, C.; Bennett, D.; Calafat, A.M.; Picciotto, I.H. Exposure to select phthalates and phenols through use of personal care products among Californian adults and their children. Environ. Res. 2015, 140, 369–376. [Google Scholar] [CrossRef]
- Wesselink, A.K.; Fruh, V.; Hauser, R.; Weuve, J.; Taylor, K.W.; Orta, O.R.; Claus Henn, B.; Bethea, T.N.; McClean, M.D.; Williams, P.L.; et al. Correlates of urinary concentrations of phthalate and phthalate alternative metabolites among reproductive-aged Black women from Detroit, Michigan. J. Expo. Sci. Environ. Epidemiol. 2021, 31, 461–475. [Google Scholar] [CrossRef]
- Berger, K.P.; Kogut, K.R.; Bradman, A.; She, J.; Gavin, Q.; Zahedi, R.; Parra, K.L.; Harley, K.G. Personal care product use as a predictor of urinary concentrations of certain phthalates, parabens, and phenols in the HERMOSA study. J. Expo. Sci. Environ. Epidemiol. 2019, 29, 21–32. [Google Scholar] [CrossRef] [PubMed]
- Deierlein, A.L.; Grayon, A.R.; Zhu, X.; Sun, Y.; Liu, X.; Kohlasch, K.; Stein, C.R. Personal Care and Household Cleaning Product Use among Pregnant Women and New Mothers during the COVID-19 Pandemic. Int. J. Environ. Res. Public Health 2022, 19, 5645. [Google Scholar] [CrossRef] [PubMed]
- Ricke, I.J.; Oglesby, A.; Lyden, G.R.; Barrett, E.S. Knowledge, Attitudes, and Behaviors Regarding Chemical Exposure among a Population Sample of Reproductive-Aged Women. Int. J. Environ. Res. Public Health 2022, 19, 3015. [Google Scholar] [CrossRef] [PubMed]
- Chan, L.M.; Chalupka, S.M.; Barrett, R. Female College Student Awareness of Exposures to Environmental Toxins in Personal Care Products and Their Effect on Preconception Health. Workplace Health Saf. 2015, 63, 64–70. [Google Scholar] [CrossRef]
- Llanos, A.A.M.; Rockson, A.; Greenberg, P.; Portillo, E.; McDonald, J.A.; Teteh, D.K.; Villasenor, J.; Lozada, C.; Franklin, J.; More, V.; et al. Assessment of Personal Care Product Use and Perceptions of Use in a Sample of US Adults Affiliated with a University in the Northeast. Environ. Res. 2023, 236 Pt 1, 116719. [Google Scholar] [CrossRef] [PubMed]
- Finn, S.; O’Fallon, L. The Emergence of Environmental Health Literacy-From Its Roots to Its Future Potential. Environ. Health Perspect. 2017, 125, 495–501. [Google Scholar] [CrossRef] [PubMed]
- Rotman, R. Greenwashing No More: The Case for Stronger Regulation of Environmental Marketing. Adm. Law Rev. 2020, 72, 417–443. Available online: https://papers.ssrn.com/abstract=3693050 (accessed on 6 March 2023).
- Davis-Bundrage, M.; Medvedev, K.; Hall, J.N. How beauty product use links to black lives matter: Examining the influence of beliefs of health threats on behaviour. Fash. Style Pop. Cult. 2021, 8, 37–62. [Google Scholar] [CrossRef]
- Perry, M. Sustainability for Student. You’ve Heard of Greenwashing…Now Let’s Talk about Cleanwashing. 2022. Available online: https://www.sustainabilityforstudents.com/post/you-ve-heard-of-greenwashing-now-let-s-talk-about-cleanwashing (accessed on 24 April 2023).
- Bisharat, J. How To Spot ‘Cleanwashing,’ Marketing That Makes Beauty Products Seem Greener and Healthier Than They Are. Minutes—Insights from the Internet’s Brightest Minds. 2019. Available online: https://minutes.co/cleanwashing-marketing-that-makes-products-seem-healthier/ (accessed on 24 April 2023).
- Nimocks, J.M. The Natural Hair Movement as a Platform for Environmental Education. 2015. Available online: https://www.semanticscholar.org/paper/The-Natural-Hair-Movement-as-a-Platform-for-Nimocks/c31a8dda48c38103f9846b879fd6845a9425ccc2 (accessed on 6 March 2023).
- Olsen, M.C.; Slotegraaf, R.J.; Chandukala, S.R. Green Claims and Message Frames: How Green New Products Change Brand Attitude. J. Mark. 2014, 78, 119–137. [Google Scholar] [CrossRef]
- Laufer, W.S. Social Accountability and Corporate Greenwashing. J. Bus. Ethics 2003, 43, 253–261. [Google Scholar] [CrossRef]
- Endocrine Society. What You Can Do About EDCs. Available online: https://www.endocrine.org/topics/edc/what-you-can-do (accessed on 16 July 2023).
- Black Beauty Project. Safe Cosmetics. Available online: https://www.safecosmetics.org/black-beauty-project/ (accessed on 19 April 2023).
- Helm, J.S.; Nishioka, M.; Brody, J.G.; Rudel, R.A.; Dodson, R.E. Measurement of endocrine disrupting and asthma-associated chemicals in hair products used by Black women. Environ. Res. 2018, 165, 448–458. [Google Scholar] [CrossRef]
- Johnson, P.I.; Favela, K.; Jarin, J.; Le, A.M.; Clark, P.Y.; Fu, L.; Gillis, A.D.; Morga, N.; Nguyen, C.; Harley, K.G. Chemicals of concern in personal care products used by women of color in three communities of California. J. Expo. Sci. Environ. Epidemiol. 2022, 32, 864–876. [Google Scholar] [CrossRef]
- King, A. Horizon—The EU Research and Innovation Magazine. Chemical Mixtures Pose ‘Underestimated’ Risk to Human Health Say Scientists|Research and Innovation. 2019. Available online: https://ec.europa.eu/research-and-innovation/en/horizon-magazine/chemical-mixtures-pose-underestimated-risk-human-health-say-scientists. (accessed on 17 July 2023).
- Kirchhof, M.G.; Gannes, G.C. The Health Controversies of Parabens. Ski. Ther. Lett. 2013, 18, 5–7. Available online: https://www.skintherapyletter.com/dermatology/parabens-controversies/ (accessed on 20 March 2023).
- Ruiz Cairo, E. Better Safe Than Sorry? The Impact of the EU-US Negotiations under TTIP on the Regulation of Cosmetic Products. Croat. Yearb. Eur. Law Policy 2015, 11, 115–132. [Google Scholar] [CrossRef][Green Version]
- CFR—Code of Federal Regulations Title 21. Available online: https://www.accessdata.fda.gov/scripts/cdrh/cfdocs/cfcfr/CFRSearch.cfm?fr=701.3 (accessed on 19 April 2023).
- FDA. Modernization of Cosmetics Regulation Act of 2022. 2023. Available online: https://www.fda.gov/cosmetics/cosmetics-laws-regulations/modernization-cosmetics-regulation-act-2022 (accessed on 24 April 2023).
- Just, A.C.; Adibi, J.J.; Rundle, A.G.; Calafat, A.M.; Camann, D.E.; Hauser, R.; Silva, M.J.; Whyatt, R.M. Urinary and air phthalate concentrations and self-reported use of personal care products among minority pregnant women in New York city. J. Expo. Sci. Environ. Epidemiol. 2010, 20, 625–633. [Google Scholar] [CrossRef] [PubMed]
- Madrigal, D.S.; Minkler, M.; Parra, K.L.; Mundo, C.; Gonzalez, J.E.C.; Jimenez, R.; Vera, C.; Harley, K.G. Improving Latino youths’ environmental health literacy and leadership skills though participatory research on chemical exposures in cosmetics: The HERMOSA study. Int. Q. Community Health Educ. 2016, 36, 231–240. [Google Scholar] [CrossRef] [PubMed]
- Ferranti, M. An Odor of Racism: Vaginal Deodorants in African-American Beauty Culture and Advertising. Advert. Soc. Rev. 2011, 11. Available online: https://muse.jhu.edu/article/407304 (accessed on 28 October 2022).
- Griskevicius, V.; Tybur, J.M.; Van den Bergh, B. Going green to be seen: Status, reputation, and conspicuous conservation. J. Pers. Soc. Psychol. 2010, 98, 392–404. [Google Scholar] [CrossRef]
- Johnson, T.; Bankhead, T. Hair It Is: Examining the Experiences of Black Women with Natural Hair. Open J. Soc. Sci. 2014, 2, 86–100. [Google Scholar] [CrossRef]
- Rudd, N.A. Cosmetics Consumption and Use among Women: Ritualized Activities that Construct and Transform the Self. J. Ritual. Stud. 1997, 11, 59–77. [Google Scholar]
- Teteh, D.K.; Montgomery, S.B.; Monice, S.; Stiel, L. My crown and glory: Community, identity, culture, and Black women’s concerns of hair product-related breast cancer risk. Cogent Arts Humanit. 2017, 4, 1345297. [Google Scholar] [CrossRef]



| Gender Identity | |||
|---|---|---|---|
| Characteristics | Overall | Females | Males |
| n (%) | 567 (100.0) | 485 (85.5) | 82 (14.5) |
| Age (years), mean ± SD | 37.0 ± 15.6 | 36.8 ± 15.2 | 38.6 ± 17.5 |
| Race and ethnicity | |||
| Asian American/Pacific Islander | 114 (20.1) | 52 (9.2) | 2 (0.4) |
| Hispanic/Latinx | 57 (10.1) | 260 (45.9) | 51 (9.0) |
| Non-Hispanic Black | 54 (9.5) | 49 (8.6) | 8 (1.4) |
| Non-Hispanic White | 311 (54.9) | 97 (17.1) | 17 (3.0) |
| Multiracial or other | 31 (5.5) | 27 (4.8) | 4 (0.7) |
| Education | |||
| High school diploma | 24 (4.2) | 19 (3.4) | 5 (0.9) |
| Some college | 122 (21.5) | 108 (19.1) | 14 (2.5) |
| Bachelor’s degree | 182 (32.1) | 161 (28.4) | 21 (3.7) |
| Master’s degree | 126 (22.2) | 113 (19.9) | 13 (2.3) |
| Doctoral degree | 113 (19.9) | 84 (14.8) | 29 (5.1) |
| Income | |||
| Less than USD 50,000 | 90 (15.9) | 74 (13.1) | 16 (2.8) |
| USD 50,000–99,999 | 171 (30.2) | 152 (26.8) | 19 (3.4) |
| USD 100,000–149,999 | 156 (27.5) | 133 (23.5) | 23 (4.1) |
| USD 150,000 and above | 150 (26.5) | 126 (22.2) | 24 (4.2) |
| Marital Status | |||
| Married | 216 (38.1) | 181 (31.9) | 35 (6.2) |
| Unmarried | 351 (61.9) | 304 (53.6) | 47 (8.3) |
| University Role | |||
| Undergraduate student | 87 (15.3) | 75 (13.2) | 12 (2.1) |
| Graduate student | 139 (24.5) | 117 (20.6) | 22 (3.9) |
| Staff | 228 (40.2) | 209 (36.9) | 19 (3.4) |
| Faculty | 87 (15.3) | 67 (11.8) | 20 (3.5) |
| Other | 26 (4.6) | 17 (3.0) | 9 (1.6) |
| Perceptions | Purchasing Behavior | ||||||||
|---|---|---|---|---|---|---|---|---|---|
| Characteristics | Overall | Strongly Agree That the Personal Care Products I Use Affect My Health a. | Strongly Agree that Consumers Should Be Concerned about the Health Effects of Personal Care Products a. | Strongly Disagree that There Is no Reason to Worry about the Health Effects from Chemicals That Might be in Personal Care Products b. | Strongly Disagree That the Benefits of Using Personal Care Products Outweigh any Risks from Exposure to Toxic Chemicals that Might be in These Products b. | Strongly Disagree that the Food and Drug Administration (FDA) and Other Governmental Agencies Do a Good Job of Regulating Personal Care Products to Ensure They Are Safe for Consumers b. | Those Who Usually/Always Use a Healthy Product App or Website when Buying a Hair Product to Use at Home c. | Those Who Usually/Always Read the Ingredients on the Label when Buying a Hair Product to Use at Home c. | Those Who Usually/Always Look for Labels Indicating the Product Is Made with Natural, Non-Toxic or Eco-Friendly Ingredients when Buying a Hair Product to Use at Home c. |
| N (%) | 567 (100.0) | 77/567 (13.6) | 153/567 (27.0) | 192/567 (33.9) | 86/567 (15.2) | 91/567 (16.1) | 39/557 (7.0) | 217/567 (38.3) | 211/564 (37.4) |
| Gender identity | |||||||||
| Female | 485 (85.5) | 70 (12.4) | 140 (24.7) | 176 (31.0) | 74 (13.1) | 84 (14.8) | 34 (6.0) | 197 (34.7) | 189 (33.3) |
| Male | 82 (14.5) | 7 (1.2) | 13 (2.3) | 16 (2.8) | 12 (2.1) | 7 (1.2) | 5 (0.9) | 20 (3.5) | 22 (3.9) |
| Race and ethnicity | |||||||||
| Asian American/Pacific Islander | 114 (20.1) | 13 (2.3) | 27 (4.8) | 27 (4.8) | 16 (2.8) | 12 (2.1) | 9 (1.6) | 32 (5.6) | 36 (6.4) |
| Hispanic/Latinx | 57 (10.1) | 8 (1.4) | 20 (3.5) | 22 (3.9) | 10 (1.8) | 11 (1.9) | 8 (1.4) | 29 (5.1) | 31 (5.47) |
| Non-Hispanic Black | 54 (9.5) | 6 (1.1) | 20 (3.5) | 31 (5.5) | 12 (2.1) | 8 (1.4) | 7 (1.2) | 36 (6.4) | 32 (5.6) |
| Non-Hispanic White | 311 (54.9) | 44 (7.8) | 73 (12.9) | 98 (17.3) | 45 (7.9) | 58 (10.2) | 12 (2.1) | 100 (17.6) | 93 (16.4) |
| Multiracial/Other | 31 (5.5) | 6 (1.1) | 13 (2.3) | 14 (2.5) | 3 (0.5) | 2 (0.4) | 3 (0.5) | 20 (3.5) | 19 (3.4) |
| Age, years | |||||||||
| 18-33 | 295 (52.0) | 37 (6.5) | 83 (14.6) | 94 (16.6) | 38 (6.7) | 52 (9.2) | 19 (3.4) | 113 (19.9) | 116 (20.5) |
| 34-49 | 123 (21.7) | 16 (2.8) | 35 (6.2) | 43 (7.6) | 22 (3.9) | 25 (4.4) | 12 (2.1) | 49 (8.6) | 47 (8.3) |
| 50-79 | 149 (26.3) | 24 (4.2) | 35 (6.2) | 55 (9.7) | 26 (4.6) | 14 (2.5) | 8 (1.4) | 55 (9.7) | 48 (8.5) |
| Education | |||||||||
| High school diploma | 24 (4.2) | 3 (0.5) | 8 (1.4) | 8 (1.4) | 7 (1.2) | 2 (0.4) | 2 (0.4) | 8 (1.4) | 7 (1.2) |
| Some college | 122 (21.5) | 15 (2.7) | 30 (5.3) | 40 (7.1) | 13 (2.3) | 12 (2.1) | 10 (1.8) | 47 (8.3) | 40 (7.1) |
| Bachelor’s degree | 182 (32.1) | 31 (5.5) | 55 (9.7) | 68 (12.0) | 31 (5.5) | 33 (5.8) | 16 (2.8) | 79 (13.9) | 84 (14.8) |
| Master’s degree | 126 (22.2) | 20 (3.5) | 38 (6.7) | 47 (8.3) | 21 (3.7) | 26 (4.6) | 8 (1.4) | 50 (8.8) | 52 (9.2) |
| Doctoral degree | 113 (19.9) | 8 (1.4) | 22 (3.9) | 29 (5.1) | 14 (2.5) | 18 (3.2) | 3 (0.5) | 33 (5.8) | 28 (4.9) |
| Income | |||||||||
| Less than $ 50,000 | 90 (15.9) | 10 (1.8) | 28 (4.9) | 34 (6.0) | 17 (3.0) | 21 (3.7) | 8 (1.4) | 36 (6.4) | 40 (7.1) |
| $50,000–$99,999 | 171 (30.2) | 18 (3.2) | 44 (7.8) | 59 (10.4) | 19 (3.4) | 22 (3.9) | 11 (1.9) | 76 (13.4) | 69 (12.2) |
| $100,000–$149,999 | 156 (27.5) | 29 (5.1) | 47 (8.3) | 56 (9.9) | 28 (4.9) | 25 (4.4) | 12 (2.1) | 61 (10.8) | 60 (10.6) |
| $150,000 and above | 150 (26.5) | 20 (3.5) | 34 (6.0) | 43 (7.6) | 22 (3.9) | 23 (4.1) | 8 (1.4) | 44 (7.8) | 42 (7.4) |
| Marital Status | |||||||||
| Married | 216 (38.1) | 32 (5.6) | 52 (9.2) | 67 (11.8) | 34 (6.0) | 30 (5.3) | 20 (3.5) | 80 (14.1) | 79 (13.9) |
| Unmarried | 351 (61.9) | 45 (7.9) | 101 (17.8) | 125 (22.1) | 52 (9.2) | 61 (10.8) | 19 (3.4) | 137 (24.2) | 132 (23.3) |
Disclaimer/Publisher’s Note: The statements, opinions and data contained in all publications are solely those of the individual author(s) and contributor(s) and not of MDPI and/or the editor(s). MDPI and/or the editor(s) disclaim responsibility for any injury to people or property resulting from any ideas, methods, instructions or products referred to in the content. |
© 2023 by the authors. Licensee MDPI, Basel, Switzerland. This article is an open access article distributed under the terms and conditions of the Creative Commons Attribution (CC BY) license (https://creativecommons.org/licenses/by/4.0/).
Share and Cite
Payne, C.E.; Rockson, A.; Ashrafi, A.; McDonald, J.A.; Bethea, T.N.; Barrett, E.S.; Llanos, A.A.M. Beauty Beware: Associations between Perceptions of Harm and Safer Hair-Product-Purchasing Behaviors in a Cross-Sectional Study of Adults Affiliated with a University in the Northeast. Int. J. Environ. Res. Public Health 2023, 20, 7129. https://doi.org/10.3390/ijerph20237129
Payne CE, Rockson A, Ashrafi A, McDonald JA, Bethea TN, Barrett ES, Llanos AAM. Beauty Beware: Associations between Perceptions of Harm and Safer Hair-Product-Purchasing Behaviors in a Cross-Sectional Study of Adults Affiliated with a University in the Northeast. International Journal of Environmental Research and Public Health. 2023; 20(23):7129. https://doi.org/10.3390/ijerph20237129
Chicago/Turabian StylePayne, Cathryn E., Amber Rockson, Adiba Ashrafi, Jasmine A. McDonald, Traci N. Bethea, Emily S. Barrett, and Adana A. M. Llanos. 2023. "Beauty Beware: Associations between Perceptions of Harm and Safer Hair-Product-Purchasing Behaviors in a Cross-Sectional Study of Adults Affiliated with a University in the Northeast" International Journal of Environmental Research and Public Health 20, no. 23: 7129. https://doi.org/10.3390/ijerph20237129
APA StylePayne, C. E., Rockson, A., Ashrafi, A., McDonald, J. A., Bethea, T. N., Barrett, E. S., & Llanos, A. A. M. (2023). Beauty Beware: Associations between Perceptions of Harm and Safer Hair-Product-Purchasing Behaviors in a Cross-Sectional Study of Adults Affiliated with a University in the Northeast. International Journal of Environmental Research and Public Health, 20(23), 7129. https://doi.org/10.3390/ijerph20237129

