Drivers and Decoupling Effects of PM2.5 Emissions in China: An Application of the Generalized Divisia Index
Abstract
1. Introduction
2. Methods and Data
2.1. GDIM Method
2.2. Decomposition of PM2.5 Emission Factors
2.3. Decoupling Model Based on GDIM
2.4. Data Sources
3. Results and Discussion
3.1. Decomposition Analysis
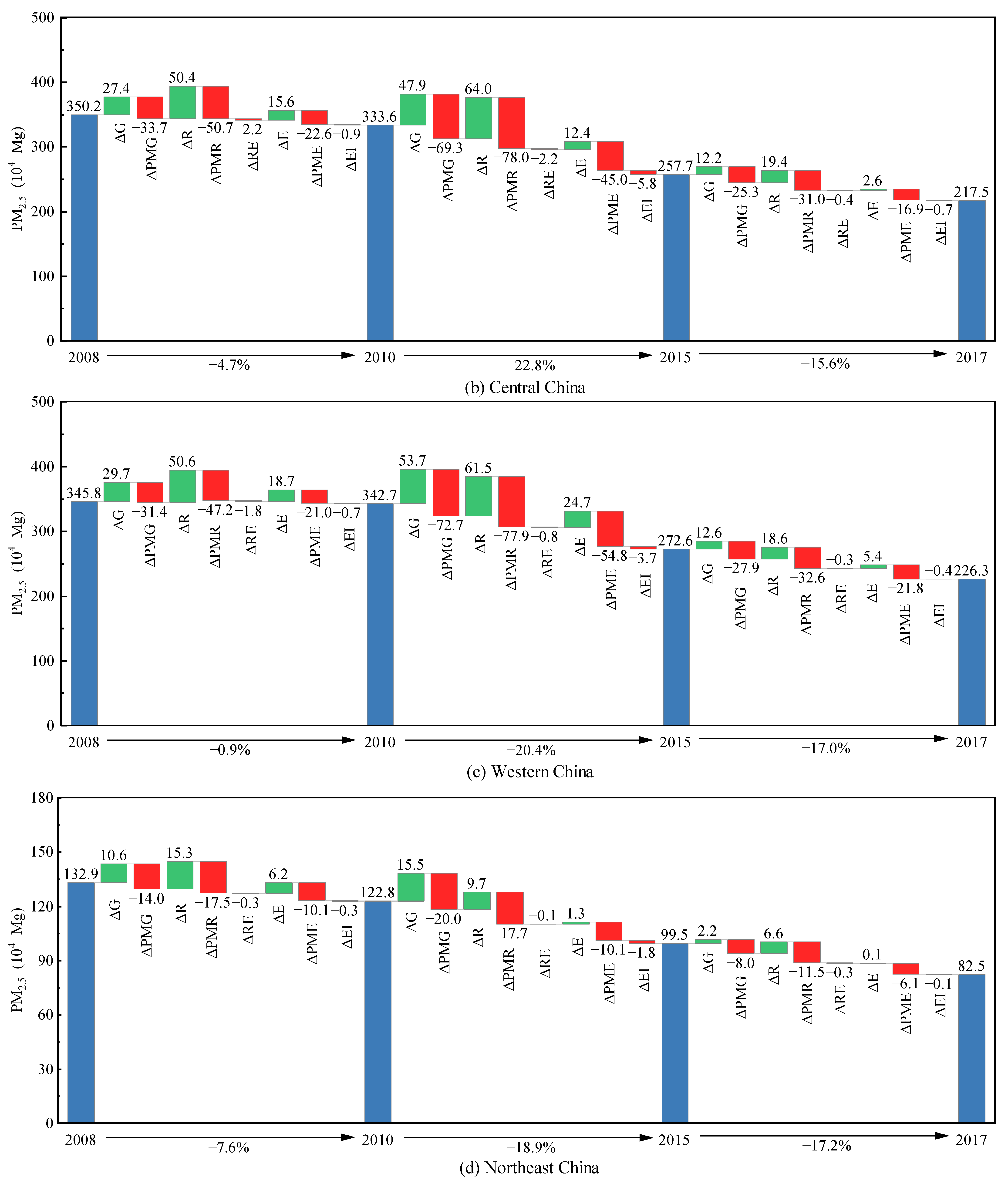
3.1.1. Year-by-Year Decomposition of PM2.5 Emissions
3.1.2. Comparison of Decomposition Results of the Changes in PM2.5 Emissions for China and Its Four Subregions over Different Time Periods
3.2. Decoupling Effect Analysis
3.2.1. Evaluation of Decoupling States
3.2.2. The role of Different Drivers in Decoupling
4. Conclusions and Policy Implications
4.1. Conclusions
- (1)
- Innovation input scale (ΔR) and GDP (ΔG) are the main factors for the increase in PM2.5 emissions. In contrast, innovation input PM2.5 intensity (ΔPMR) contributes most for the reduction in PM2.5 emissions, followed by emission intensity (ΔPMG) and emission coefficient (ΔPME).
- (2)
- In the four subregions, PM2.5 emissions show similar changing trends, with obvious downward trends with similar rates since the implementation of 12th Five-Year Plan. In addition, the major factors increasing or mitigating PM2.5 pollution are also similar in the four subregions, though the magnitudes of increases or decreases shows regional variations.
- (3)
- From 2008 to 2017, the decoupling indexes for China and its four subregions first decrease, then rise, and finally decrease again, showing overall upward trends, and the decoupling states turn from weak decoupling to strong decoupling.
- (4)
- During the whole period, the contributions of innovation input PM2.5 intensity (ΔPMR), emission intensity (ΔPMG) and emission coefficient (ΔPME) to the decoupling are positive and large, implying their prominent roles in promoting the decoupling process.
- (5)
- This paper has a few limitations. Firstly, due to the limitation in data availability, the effects of different types of technological innovation (e.g., production technology innovation and abatement technology innovation) on PM2.5 emissions are not examined precisely. To obtain more accurate results, the total R&D funds should be divided into funds for production technology and abatement technology when data is available. Secondly, factors that are not easily measured, e.g., environmental regulation, are not incorporated into the GDIM model. Considering that a variety of policies and strategies have been implemented for controlling air pollution in China, quantifying the impacts of these policies and strategies on PM2.5 emissions is our next concern. Lastly, the study only concentrates on China and its four subregions, without special consideration for heavily polluted areas, e.g., the Fenwei Plain. The investigation of heavily polluted areas should be considered in future work.
4.2. Policy Implication
- (1)
- The results revealed in this study suggest that the innovation input PM2.5 intensity (ΔPMR) can mitigate PM2.5 emissions and promote the decoupling of PM2.5 emissions and economic growth. Therefore, the government should provide sufficient financial and tax support, such as raising R&D expenditure on energy saving and emission reduction and encouraging enterprises to increase R&D investment in green technology innovation, so as to reduce PM2.5 emissions.
- (2)
- As emission intensity (ΔPMG) plays a significant role in reducing PM2.5 emissions, it is necessary to reduce the use of traditional energy by adjusting and optimizing the industrial structure. On one hand, the government should develop high-technology industries which have low energy consumption and vigorous high-value addition. On the other hand, energy-intensive industries with high air pollutant emission intensity and backward technology should be gradually eliminated.
- (3)
- More attention should be paid to improvements in energy structure. This is because the emission coefficient (ΔPME) has a significant impact on reducing PM2.5 pollution. Thus, promoting the utilization of cleaner and renewable energies (e.g., wind and solar energy) is an effective way to mitigate PM2.5 pollution.
Author Contributions
Funding
Institutional Review Board Statement
Informed Consent Statement
Data Availability Statement
Conflicts of Interest
Appendix A
| Year | ΔPM | ΔG | ΔPMG | ΔR | ΔPMR | ΔRE | ΔE | ΔPME | ΔEI |
|---|---|---|---|---|---|---|---|---|---|
| 2008–2009 | −38.4853 | 44.4433 | −58.6860 | 101.7323 | −106.9357 | −3.8417 | 22.6224 | −36.8659 | −0.9540 |
| 2009–2010 | −21.8165 | 49.0523 | −55.9686 | 56.8871 | −63.2427 | −0.1148 | 34.0345 | −42.1490 | −0.3152 |
| 2010–2011 | 15.0418 | 44.0476 | −39.0888 | 58.1310 | −51.9461 | −0.2932 | 31.7324 | −27.2970 | −0.2442 |
| 2011–2012 | −7.8906 | 38.7212 | −41.6348 | 67.4470 | −67.2854 | −1.1331 | 18.9434 | −22.2824 | −0.6666 |
| 2012–2013 | −50.4828 | 35.4518 | −50.9645 | 52.0284 | −66.5428 | −0.6084 | −13.5916 | −2.9702 | −3.2855 |
| 2013–2014 | −105.2089 | 28.7909 | −63.2388 | 34.8671 | −69.0116 | −0.0951 | 10.2452 | −46.2425 | −0.5240 |
| 2014–2015 | −116.2647 | 24.4801 | −62.6603 | 32.8300 | −70.3187 | −0.1759 | 5.3115 | −45.0877 | −0.6438 |
| 2015–2016 | −102.7082 | 20.4251 | −54.1442 | 25.4775 | −58.9116 | −0.0823 | 5.3146 | −40.3454 | −0.4419 |
| 2016–2017 | −49.6058 | 18.3546 | −34.7156 | 26.0948 | −41.8572 | −0.1607 | 6.2377 | −23.2280 | −0.3314 |




| Year | ΔG | ΔPMG | ΔR | ΔPMR | ΔRE | ΔE | ΔPME | ΔEI |
|---|---|---|---|---|---|---|---|---|
| 2008–2010 | 7.6% | −9.4% | 12.7% | −13.2% | −0.4% | 4.6% | −6.6% | −0.2% |
| 2010–2015 | 13.6% | −20.1% | 18.0% | −22.6% | −0.5% | 4.2% | −13.7% | −1.4% |
| 2015–2017 | 4.3% | −9.7% | 5.7% | −10.9% | −0.1% | 1.3% | −7.1% | −0.2% |
| Regions | Year | ΔG | ΔPMG | ΔR | ΔPMR | ΔRE | ΔE | ΔPME | ΔEI |
|---|---|---|---|---|---|---|---|---|---|
| Eastern China | 2008–2010 | 7.0% | −9.7% | 12.0% | −13.4% | −0.4% | 4.3% | −7.1% | −0.2% |
| 2010–2015 | 12.7% | −20.3% | 18.2% | −23.1% | −0.7% | 3.4% | −13.9% | −1.4% | |
| 2015–2017 | 4.4% | −9.9% | 5.1% | −10.5% | 0.0% | 1.2% | −7.2% | −0.2% | |
| Central China | 2008–2010 | 7.8% | −9.6% | 14.4% | −14.5% | −0.6% | 4.4% | −6.5% | −0.2% |
| 2010–2015 | 14.4% | −20.8% | 19.2% | −23.4% | −0.7% | 3.7% | −13.5% | −1.7% | |
| 2015–2017 | 4.7% | −9.8% | 7.5% | −12.0% | −0.2% | 1.0% | −6.6% | −0.3% | |
| Western China | 2008–2010 | 8.6% | −9.1% | 14.6% | −13.7% | −0.5% | 5.4% | −6.1% | −0.2% |
| 2010–2015 | 15.7% | −21.2% | 17.9% | −22.7% | −0.2% | 7.2% | −16.0% | −1.1% | |
| 2015–2017 | 4.6% | −10.2% | 6.8% | −12.0% | −0.1% | 2.0% | −8.0% | −0.1% | |
| Northeast China | 2008–2010 | 8.0% | −10.5% | 11.5% | −13.2% | −0.2% | 4.6% | −7.6% | −0.2% |
| 2010–2015 | 12.6% | −16.3% | 7.9% | −14.4% | −0.1% | 1.0% | −8.2% | −1.5% | |
| 2015–2017 | 2.2% | −8.0% | 6.6% | −11.5% | −0.3% | 0.1% | −6.1% | −0.1% |
References
- Peng, J.; Chen, S.; Lu, H.L.; Liu, Y.X.; Wu, J.S. Spatiotemporal patterns of remotely sensed PM2.5 concentration in China from 1999 to 2011. Remote Sens. Env. 2016, 174, 109–121. [Google Scholar] [CrossRef]
- Jin, H.; Zhong, R.; Liu, M.; Ye, C.; Chen, X. Spatiotemporal distribution characteristics of PM2.5 concentration in China from 2000 to 2018 and its impact on population. J. Environ. Manag. 2022, 323, 116273. [Google Scholar] [CrossRef] [PubMed]
- Bagheri, H. A machine learning-based framework for high resolution mapping of PM2.5 in Tehran, Iran, using MAIAC AOD data. Adv. Space Res. 2022, 69, 3333–3349. [Google Scholar] [CrossRef]
- Guo, X.L.; Lin, Y.Y.; Lin, Y.N.; Zhong, Y.; Yu, H.J.; Huang, Y.B.; Yang, J.W.; Cai, Y.; Liu, F.D.; Li, Y.Y.; et al. PM2.5 induces pulmonary microvascular injury in COPD via METTL16-mediated m6A modification. Environ. Pollut. 2022, 303, 119115. [Google Scholar] [CrossRef] [PubMed]
- Shin, S.; Bai, L.; Burnett, R.T.; Kwong, J.C.; Hystad, P.; van Donkelaar, A.; Lavigne, E.; Weichenthal, S.; Copes, R.; Martin, R.V.; et al. Air Pollution as a Risk Factor for Incident Chronic Obstructive Pulmonary Disease and Asthma A 15-Year Population-based Cohort Study. Am. J. Resp. Crit. Care 2021, 203, 1138–1148. [Google Scholar] [CrossRef]
- Diabetes, G.B.D.; Air Pollution, C. Estimates, trends, and drivers of the global burden of type 2 diabetes attributable to PM2·5 air pollution, 1990–2019: An analysis of data from the Global Burden of Disease Study 2019. Lancet Planet. Health 2022, 6, e586–e600. [Google Scholar] [CrossRef]
- Alexeeff, S.E.; Liao, N.O.S.; Liu, X.; Van den Eeden, S.K.; Sidney, S. Long-Term PM2.5 Exposure and Risks of Ischemic Heart Disease and Stroke Events: Review and Meta-Analysis. J. Am. Heart Assoc. 2021, 10, e016890. [Google Scholar] [CrossRef]
- Geng, G.N.; Zheng, Y.X.; Zhang, Q.; Xue, T.; Zhao, H.Y.; Tong, D.; Zheng, B.; Li, M.; Liu, F.; Hong, C.P.; et al. Drivers of PM2.5 air pollution deaths in China 2002–2017. Nat. Geosci. 2021, 14, 645. [Google Scholar] [CrossRef]
- Won, W.S.; Oh, R.; Lee, W.; Ku, S.; Su, P.C.; Yoon, Y.J. Hygroscopic properties of particulate matter and effects of their interactions with weather on visibility. Sci. Rep. 2021, 11, 1–12. [Google Scholar] [CrossRef]
- Grimm, N.B.; Faeth, S.H.; Golubiewski, N.E.; Redman, C.L.; Wu, J.G.; Bai, X.M.; Briggs, J.M. Global change and the ecology of cities. Science 2008, 319, 756–760. [Google Scholar] [CrossRef]
- Faridi, S.; Bayat, R.; Cohen, A.J.; Sharafkhani, E.; Brook, J.R.; Niazi, S.; Shamsipour, M.; Amini, H.; Naddafi, K.; Hassanvand, M.S. Health burden and economic loss attributable to ambient PM2.5 in Iran based on the ground and satellite data. Sci. Rep. 2022, 12, 1–12. [Google Scholar] [CrossRef]
- Maji, K.J.; Ye, W.F.; Arora, M.; Nagendra, S.M.S. PM2.5-related health and economic loss assessment for 338 Chinese cities. Environ. Int. 2018, 121, 392–403. [Google Scholar] [CrossRef] [PubMed]
- Cai, S.Y.; Wang, Y.J.; Zhao, B.; Wang, S.X.; Chang, X.; Hao, J.M. The impact of the “Air Pollution Prevention and Control Action Plan” on PM2.5 concentrations in Jing-Jin-Ji region during 2012–2020. Sci. Total Environ. 2017, 580, 197–209. [Google Scholar] [CrossRef] [PubMed]
- Feng, Y.Y.; Ning, M.; Lei, Y.; Sun, Y.M.; Liu, W.; Wang, J.N. Defending blue sky in China: Effectiveness of the “Air Pollution Prevention and Control Action Plan” on air quality improvements from 2013 to 2017. J. Environ. Manag. 2019, 252, 109603. [Google Scholar] [CrossRef] [PubMed]
- Jiang, X.; Li, G.L.; Fu, W. Government environmental governance, structural adjustment and air quality: A quasi-natural experiment based on the Three-year Action Plan to Win the Blue Sky Defense War. J. Environ. Manag. 2021, 277, 111470. [Google Scholar] [CrossRef] [PubMed]
- Shu, Y.; Hu, J.N.; Zhang, S.H.; Schopp, W.; Tang, W.; Du, J.H.; Cofala, J.; Kiesewetter, G.; Sander, R.; Winiwarter, W.; et al. Analysis of the air pollution reduction and climate change mitigation effects of the Three-Year Action Plan for Blue Skies on the “2 + 26” Cities in China. J. Environ. Manag. 2022, 317, 115455. [Google Scholar] [CrossRef]
- Zhang, Z.Z.; Wang, W.X.; Cheng, M.M.; Liu, S.J.; Xu, J.; He, Y.J.; Meng, F. The contribution of residential coal combustion to PM2.5 pollution over China’s Beijing-Tianjin-Hebei region in winter. Atmos. Environ. 2017, 159, 147–161. [Google Scholar] [CrossRef]
- Wang, P.; Cao, J.J.; Shen, Z.X.; Han, Y.M.; Lee, S.C.; Huang, Y.; Zhu, C.S.; Wang, Q.Y.; Xu, H.M.; Huang, R.J. Spatial and seasonal variations of PM2.5 mass and species during 2010 in Xi’an, China. Sci. Total Environ. 2015, 508, 477–487. [Google Scholar] [CrossRef]
- Hua, Y.; Cheng, Z.; Wang, S.X.; Jiang, J.K.; Chen, D.R.; Cai, S.Y.; Fu, X.; Fu, Q.Y.; Chen, C.H.; Xu, B.Y.; et al. Characteristics and source apportionment of PM2.5 during a fall heavy haze episode in the Yangtze River Delta of China. Atmos. Environ. 2015, 123, 380–391. [Google Scholar] [CrossRef]
- Cheng, L.; Zhang, T.; Chen, L.Q.; Li, L.; Wang, S.J.; Hu, S.; Yuan, L.N.; Wang, J.; Wen, M.X. Investigating the Impacts of Urbanization on PM2.5 Pollution in the Yangtze River Delta of China: A Spatial Panel Data Approach. Atmosphere 2020, 11, 1058. [Google Scholar] [CrossRef]
- Cheng, L.; Li, L.; Chen, L.Q.; Hu, S.; Yuan, L.N.; Liu, Y.Q.; Cui, Y.F.; Zhang, T. Spatiotemporal Variability and Influencing Factors of Aerosol Optical Depth over the Pan Yangtze River Delta during the 2014–2017 Period. Int. J. Environ. Res. Public Health 2019, 16, 3522. [Google Scholar] [CrossRef] [PubMed]
- Liu, J.; Yang, Q.; Ou, S.; Liu, J. Factor decomposition and the decoupling effect of carbon emissions in China’s manufacturing high-emission subsectors. Energy 2022, 248, 123568. [Google Scholar] [CrossRef]
- OECD. Indicators to Measure Decoupling of Environmental Pressures From Economic Growth. Sustainable Development. SG/SD (2002) 1/Final. Available online: http://www.olis.oecd.org/olis/2002doc.nsf/LinkTo/sg-sd(2002)1-final (accessed on 28 August 2010).
- Tapio, P. Towards a theory of decoupling: Degrees of decoupling in the EU and the case of road traffic in Finland between 1970 and 2001. Transp. Policy 2005, 12, 137–151. [Google Scholar] [CrossRef]
- Szigeti, C.; Toth, G.; Szabo, D.R. Decoupling—Shifts in ecological footprint intensity of nations in the last decade. Ecol. Indic. 2017, 72, 111–117. [Google Scholar] [CrossRef]
- Sjostrom, M.; Ostblom, G. Decoupling waste generation from economic growth—A CGE analysis of the Swedish case. Ecol. Econ. 2010, 69, 1545–1552. [Google Scholar] [CrossRef]
- Yu, Y.D.; Chen, D.J.; Zhu, B.; Hu, S.Y. Eco-efficiency trends in China, 1978–2010: Decoupling environmental pressure from economic growth. Ecol. Indic. 2013, 24, 177–184. [Google Scholar] [CrossRef]
- Yu, B.; Fang, D. Decoupling economic growth from energy-related PM2.5 emissions in China: A GDIM-based indicator decomposition. Ecol. Indic. 2021, 127, 107795. [Google Scholar] [CrossRef]
- Schandl, H.; Hatfield-Dodds, S.; Wiedmann, T.; Geschke, A.; Cai, Y.Y.; West, J.; Newth, D.; Baynes, T.; Lenzen, M.; Owen, A. Decoupling global environmental pressure and economic growth: Scenarios for energy use, materials use and carbon emissions. J. Clean. Prod. 2016, 132, 45–56. [Google Scholar] [CrossRef]
- Guan, D.B.; Su, X.; Zhang, Q.; Peters, G.P.; Liu, Z.; Lei, Y.; He, K.B. The socioeconomic drivers of China’s primary PM2.5 emissions. Environ. Res. Lett. 2014, 9, 024010. [Google Scholar] [CrossRef]
- Moutinho, V.; Madaleno, M.; Inglesi-Lotz, R.; Dogan, E. Factors affecting CO2 emissions in top countries on renewable energies: A LMDI decomposition application. Renew. Sustain. Energy Rev. 2018, 90, 605–622. [Google Scholar] [CrossRef]
- Zhang, Y.; Shuai, C.Y.; Bian, J.; Chen, X.; Wu, Y.; Shen, L.Y. Socioeconomic factors of PM2.5 concentrations in 152 Chinese cities: Decomposition analysis using LMDI. J. Clean. Prod. 2019, 218, 96–107. [Google Scholar] [CrossRef]
- Raza, M.Y.; Lin, B.Q. Decoupling and mitigation potential analysis of CO2 emissions from Pakistan’s transport sector. Sci. Total Environ. 2020, 730, 139000. [Google Scholar] [CrossRef]
- Lyu, W.; Li, Y.; Guan, D.B.; Zhao, H.Y.; Zhang, Q.; Liu, Z. Driving forces of Chinese primary air pollution emissions: An index decomposition analysis. J. Clean. Prod. 2016, 133, 136–144. [Google Scholar] [CrossRef]
- Tian, Y.; Long, Z.Q.; Li, Q.G. What are the determinants of wastewater discharge reduction in China? Decomposition analysis by LMDI. Environ. Sci. Pollut. Res. 2022, 1–15. [Google Scholar] [CrossRef] [PubMed]
- Zhu, L.; He, L.C.; Shang, P.P.; Zhang, Y.C.; Ma, X.J. Influencing Factors and Scenario Forecasts of Carbon Emissions of the Chinese Power Industry: Based on a Generalized Divisia Index Model and Monte Carlo Simulation. Energies 2018, 11, 2398. [Google Scholar] [CrossRef]
- Vaninsky, A. Factorial decomposition of CO2 emissions: A generalized Divisia index approach. Energy Econ. 2014, 45, 389–400. [Google Scholar] [CrossRef]
- Shao, S.; Liu, J.H.; Geng, Y.; Miao, Z.; Yang, Y.C. Uncovering driving factors of carbon emissions from China’s mining sector. Appl. Energy 2016, 166, 220–238. [Google Scholar] [CrossRef]
- Liu, Y.S.; Yang, M.; Cheng, F.Y.; Tian, J.Z.; Du, Z.Q.; Song, P.B. Analysis of regional differences and decomposition of carbon emissions in China based on generalized divisia index method. Energy 2022, 256, 124666. [Google Scholar] [CrossRef]
- Yan, Q.Y.; Wang, Y.X.; Balezentis, T.; Streimikiene, D. Analysis of China’s regional thermal electricity generation and CO2 emissions: Decomposition based on the generalized Divisia index. Sci. Total Environ. 2019, 682, 737–755. [Google Scholar] [CrossRef]
- Khan, Y.; Hassan, T.; Tufail, M.; Marie, M.; Imran, M.; Zhang, X.Q. The nexus between CO2 emissions, human capital, technology transfer, and renewable energy: Evidence from Belt and Road countries. Environ. Sci. Pollut. Res. 2022, 29, 59816–59834. [Google Scholar] [CrossRef]
- Yu, Y.; Zhou, X.; Zhu, W.; Shi, Q. Socioeconomic driving factors of PM2.5 emission in Jing-Jin-Ji region, China: A generalized Divisia index approach. Environ. Sci. Pollut. Res. Int. 2021, 28, 15995–16013. [Google Scholar] [CrossRef]
- Sun, H.; Huang, C.; Ni, S. Driving factors of consumption-based PM2.5 emissions in China: An application of the generalized Divisia index. Environ. Dev. Sustain. 2021, 24, 10209–10231. [Google Scholar] [CrossRef]
- Xie, Q.C.; Xu, X.; Liu, X.Q. Is there an EKC between economic growth and smog pollution in China? New evidence from semiparametric spatial autoregressive models. J. Clean. Prod. 2019, 220, 873–883. [Google Scholar] [CrossRef]
- Chen, J.; Wang, S.J.; Zhou, C.S.; Li, M. Does the path of technological progress matter in mitigating China’s PM2.5 concentrations? Evidence from three urban agglomerations in China. Environ. Pollut. 2019, 254, 113012. [Google Scholar] [CrossRef]
- Shao, S.; Yang, L.; Gan, C.; Cao, J.; Geng, Y.; Guan, D. Using an extended LMDI model to explore techno-economic drivers of energy-related industrial CO2 emission changes: A case study for Shanghai (China). Renew. Sustain. Energy Rev. 2016, 55, 516–536. [Google Scholar] [CrossRef]
- Liu, X.H. Dynamic evolution, spatial spillover effect of technological innovation and haze pollution in China. Energy Environ. 2018, 29, 968–988. [Google Scholar] [CrossRef]
- Zhang, X.; Geng, Y.; Shao, S.; Wilson, J.; Song, X.Q.; You, W. China’s non-fossil energy development and its 2030 CO2 reduction targets: The role of urbanization. Appl. Energy 2020, 261, 114353. [Google Scholar] [CrossRef]
- Wang, Y.; Zhou, Y.; Zhu, L.; Zhang, F.; Zhang, Y. Influencing Factors and Decoupling Elasticity of China’s Transportation Carbon Emissions. Energies 2018, 11, 1157. [Google Scholar] [CrossRef]
- Li, B.; Han, S.W.; Wang, Y.F.; Li, J.Y.; Wang, Y. Feasibility assessment of the carbon emissions peak in China’s construction industry: Factor decomposition and peak forecast. Sci. Total Environ. 2020, 706, 135716. [Google Scholar] [CrossRef]
- Yan, Q.Y.; Yin, J.T.; Balezentis, T.; Makuteniene, D.; Streimikiene, D. Energy-related GHG emission in agriculture of the European countries: An application of the Generalized Divisia Index. J. Clean. Prod. 2017, 164, 686–694. [Google Scholar] [CrossRef]
- Zhang, X.; Geng, Y.; Shao, S.; Song, X.; Fan, M.; Yang, L.; Song, J. Decoupling PM2.5 emissions and economic growth in China over 1998-2016: A regional investment perspective. Sci. Total Environ. 2020, 714, 136841. [Google Scholar] [CrossRef]
- Dong, F.; Li, J.; Li, K.; Sun, Z.; Yu, B.; Wang, Y.; Zhang, S. Causal chain of haze decoupling efforts and its action mechanism: Evidence from 30 provinces in China. J. Clean. Prod. 2020, 245, 118889. [Google Scholar] [CrossRef]
- Fang, D.; Yu, B. Driving mechanism and decoupling effect of PM2.5 emissions: Empirical evidence from China’s industrial sector. Energy Policy 2021, 149, 112017. [Google Scholar] [CrossRef]
- Wu, Y.; Zhou, Y.; Xu, B. Decoupling relationship between economic growth and PM2.5 emissions in the transportation sector in China regional differences and influencing factors. Environ. Res. Lett. 2022, 17, 044065. [Google Scholar] [CrossRef]
- Pan, X.; Guo, S.; Xu, H.; Tian, M.; Pan, X.; Chu, J. China’s carbon intensity factor decomposition and carbon emission decoupling analysis. Energy 2022, 239, 122175. [Google Scholar] [CrossRef]
- Timmermans, R.; Kranenburg, R.; Manders, A.; Hendriks, C.; Segers, A.; Dammers, E.; Zhang, Q.; Wang, L.; Liu, Z.; Zeng, L.; et al. Source apportionment of PM2.5 across China using LOTOS-EUROS. Atmos. Environ. 2017, 164, 370–386. [Google Scholar] [CrossRef]
- Li, Y.; Zhang, Z.; Xing, Y. Long-Term Change Analysis of PM2.5 and Ozone Pollution in China’s Most Polluted Region during 2015–2020. Atmosphere 2022, 13, 104. [Google Scholar] [CrossRef]
- Du, W.J.; Chen, L.L.; Wang, H.R.; Shan, Z.Y.; Zhou, Z.Y.; Li, W.W.; Wang, Y. Deciphering urban traffic impacts on air quality by deep learning and emission inventory. J. Environ. Sci. 2023, 124, 745–757. [Google Scholar] [CrossRef]
- Xin, D.; Xin, L. The impact of economic policy uncertainty on PM2.5 pollution-evidence from 25 countries. Environ. Sci. Pollut. Res. Int. 2022, 29, 38126–38142. [Google Scholar] [CrossRef] [PubMed]
- Zhang, Q.N.; Huang, X.W.; Xu, Y.; Bhuiyan, M.A.; Liu, P. New energy demonstration city pilot and green energy consumption: Evidences from China. Energy Rep. 2022, 8, 7735–7750. [Google Scholar] [CrossRef]
- Guan, D.B.; Meng, J.; Reiner, D.M.; Zhang, N.; Shan, Y.L.; Mi, Z.F.; Shao, S.; Liu, Z.; Zhang, Q.; Davis, S.J. Structural decline in China’s CO2 emissions through transitions in industry and energy systems. Nat. Geosci. 2018, 11, 551–555. [Google Scholar] [CrossRef]
- Chen, J.; Zhou, C.; Wang, S.; Li, S. Impacts of energy consumption structure, energy intensity, economic growth, urbanization on PM2.5 concentrations in countries globally. Appl. Energy 2018, 230, 94–105. [Google Scholar] [CrossRef]
- Peng, X.; Huang, X.F.; Wei, F.H.; Yan, R.H.; Tang, M.X.; Ji, J.P.; He, L.Y. Identifying the key drivers in retrieving blue sky during rapid urbanization in Shenzhen, China. J. Clean. Prod. 2022, 356, 131829. [Google Scholar] [CrossRef]
- Wu, H.T.; Xu, L.N.; Ren, S.Y.; Hao, Y.; Yan, G.Y. How do energy consumption and environmental regulation affect carbon emissions in China? New evidence from a dynamic threshold panel model. Resour. Policy 2020, 67, 101678. [Google Scholar] [CrossRef]
- Ouyang, X.L.; Chen, J.Q.; Du, K.R. Energy efficiency performance of the industrial sector: From the perspective of technological gap in different regions in China. Energy 2020, 214, 118865. [Google Scholar] [CrossRef]
- Wang, H.P.; Li, J.X. Dual effects of environmental regulation on PM2.5 pollution: Evidence from 280 cities in China. Environ. Sci. Pollut. Res. 2021, 28, 47213–47226. [Google Scholar] [CrossRef] [PubMed]






| Variable | Definition | Effect |
|---|---|---|
| PM2.5 emissions | Not applicable | |
| Gross domestic product | Output scale effect (ΔG) | |
| Energy consumption scale | Energy use effect (ΔE) | |
| Innovation input scale: total R&D expenditure | Innovation input scale effect (ΔR) | |
| Emission intensity: PM2.5 emissions per unit of GDP | Emission intensity effect (ΔPMG) | |
| Emission coefficient: PM2.5 emissions per unit of energy consumption | Emission coefficient effect (ΔPME) | |
| Innovation input PM2.5 intensity: PM2.5 emissions per unit of R&D expenditure | Innovation input PM2.5 intensity effect (ΔPMR) | |
| Energy intensity: energy consumption per unit of GDP | Energy intensity effect (ΔEI) | |
| Innovation input efficiency: GDP per unit of R&D expenditure | Innovation input efficiency effect (ΔRE) |
| Year | DIPMG | DIR | DIPMR | DIRE | DIE | DIPME | DIEI | DI | DI State |
|---|---|---|---|---|---|---|---|---|---|
| 2008–2010 | 0.36 | −0.48 | 0.50 | 0.01 | −0.18 | 0.25 | 0.01 | 0.47 | Weak Decoupling |
| 2010–2015 | 0.35 | −0.31 | 0.39 | 0.01 | −0.07 | 0.24 | 0.02 | 0.63 | Weak Decoupling |
| 2015–2017 | 0.64 | −0.38 | 0.72 | 0.00 | −0.09 | 0.47 | 0.01 | 1.39 | Strong Decoupling |
| Regions | Year | DIPMG | DIR | DIPMR | DIRE | DIE | DIPME | DIEI | DI | DI State |
|---|---|---|---|---|---|---|---|---|---|---|
| Eastern China | 2008–2010 | 0.39 | −0.49 | 0.54 | 0.02 | −0.17 | 0.29 | 0.01 | 0.59 | Weak Decoupling |
| 2010–2015 | 0.38 | −0.34 | 0.43 | 0.01 | −0.06 | 0.26 | 0.03 | 0.70 | Weak Decoupling | |
| 2015–2017 | 0.65 | −0.33 | 0.69 | 0.00 | −0.08 | 0.47 | 0.01 | 1.41 | Strong Decoupling | |
| Central China | 2008–2010 | 0.35 | −0.53 | 0.53 | 0.02 | −0.16 | 0.24 | 0.01 | 0.46 | Weak Decoupling |
| 2010–2015 | 0.34 | −0.31 | 0.38 | 0.01 | −0.06 | 0.22 | 0.03 | 0.60 | Weak Decoupling | |
| 2015–2017 | 0.59 | −0.46 | 0.73 | 0.01 | −0.06 | 0.40 | 0.02 | 1.23 | Strong Decoupling | |
| Western China | 2008–2010 | 0.31 | −0.49 | 0.46 | 0.02 | −0.18 | 0.21 | 0.01 | 0.32 | Weak Decoupling |
| 2010–2015 | 0.31 | −0.26 | 0.33 | 0.00 | −0.11 | 0.24 | 0.02 | 0.53 | Weak Decoupling | |
| 2015–2017 | 0.63 | −0.42 | 0.73 | 0.01 | −0.12 | 0.49 | 0.01 | 1.32 | Strong Decoupling | |
| Northeast China | 2008–2010 | 0.37 | −0.41 | 0.47 | 0.01 | −0.16 | 0.27 | 0.01 | 0.55 | Weak Decoupling |
| 2010–2015 | 0.33 | −0.16 | 0.29 | 0.00 | −0.02 | 0.17 | 0.03 | 0.64 | Weak Decoupling | |
| 2015–2017 | 1.08 | −0.89 | 1.54 | 0.04 | −0.02 | 0.82 | 0.01 | 2.59 | Strong Decoupling |
Disclaimer/Publisher’s Note: The statements, opinions and data contained in all publications are solely those of the individual author(s) and contributor(s) and not of MDPI and/or the editor(s). MDPI and/or the editor(s) disclaim responsibility for any injury to people or property resulting from any ideas, methods, instructions or products referred to in the content. |
© 2023 by the authors. Licensee MDPI, Basel, Switzerland. This article is an open access article distributed under the terms and conditions of the Creative Commons Attribution (CC BY) license (https://creativecommons.org/licenses/by/4.0/).
Share and Cite
Wang, S.; Zhang, S.; Cheng, L. Drivers and Decoupling Effects of PM2.5 Emissions in China: An Application of the Generalized Divisia Index. Int. J. Environ. Res. Public Health 2023, 20, 921. https://doi.org/10.3390/ijerph20020921
Wang S, Zhang S, Cheng L. Drivers and Decoupling Effects of PM2.5 Emissions in China: An Application of the Generalized Divisia Index. International Journal of Environmental Research and Public Health. 2023; 20(2):921. https://doi.org/10.3390/ijerph20020921
Chicago/Turabian StyleWang, Shangjiu, Shaohua Zhang, and Liang Cheng. 2023. "Drivers and Decoupling Effects of PM2.5 Emissions in China: An Application of the Generalized Divisia Index" International Journal of Environmental Research and Public Health 20, no. 2: 921. https://doi.org/10.3390/ijerph20020921
APA StyleWang, S., Zhang, S., & Cheng, L. (2023). Drivers and Decoupling Effects of PM2.5 Emissions in China: An Application of the Generalized Divisia Index. International Journal of Environmental Research and Public Health, 20(2), 921. https://doi.org/10.3390/ijerph20020921

