Phytoremediation and Nurse Potential of Aloe Plants on Mine Tailings
Abstract
1. Introduction
2. Materials and Methods
2.1. Soil and Plant Material
2.2. Pot Experiment
2.3. Allelopathy Experiment
2.4. PTM Analyses
2.5. Data Analysis
3. Results
3.1. PTM Concentration and Metal Transfer Factors in Aloes
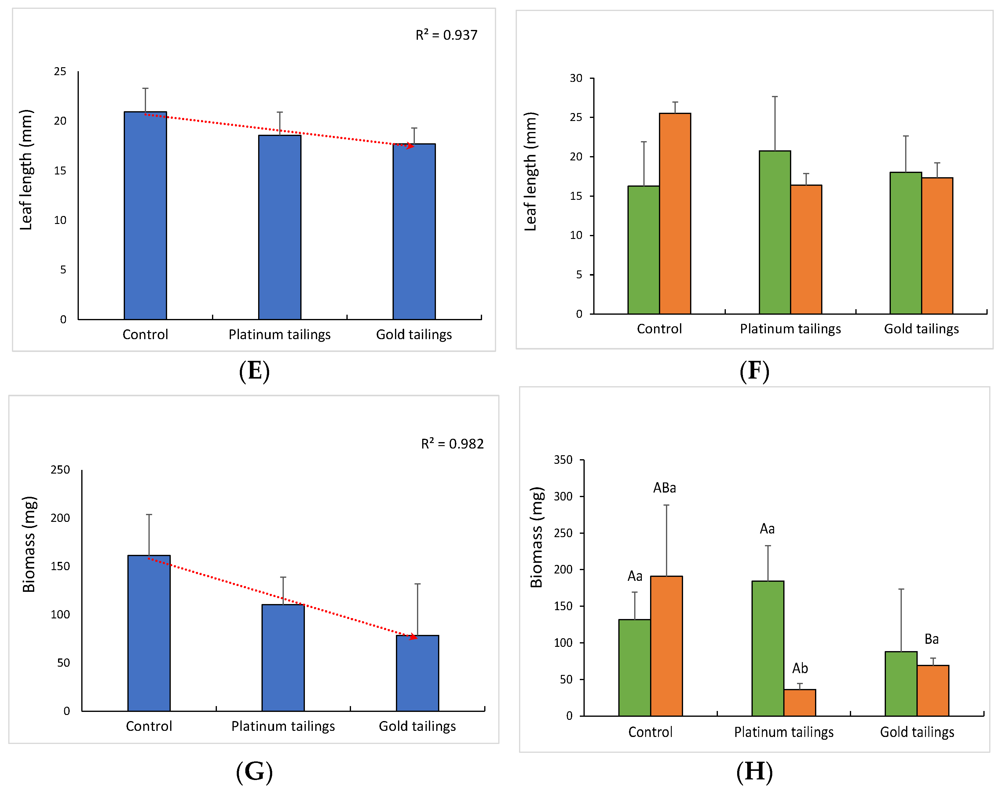
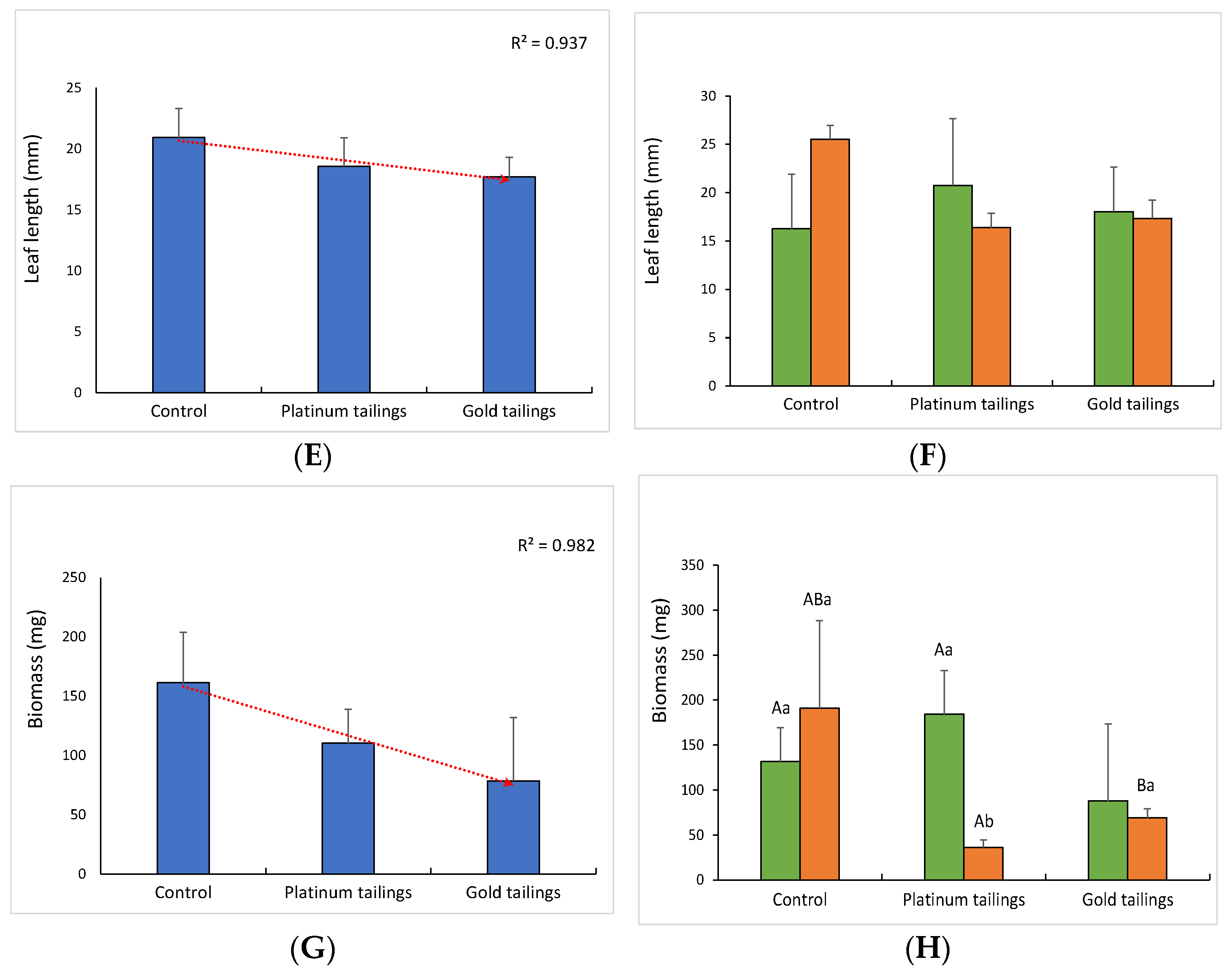
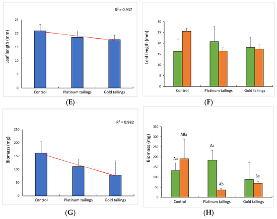
3.2. Early Development and Allelopathic Effects on Bermuda Grass and African Daisy
4. Discussion
5. Conclusions
Author Contributions
Funding
Institutional Review Board Statement
Informed Consent Statement
Data Availability Statement
Acknowledgments
Conflicts of Interest
Appendix A
| Control | Platinum Tailings | Gold Tailings | |
|---|---|---|---|
| Soil | |||
| As | 2.24 ± 4.57 | 17.10 ± 4.87 | 16.98 ± 4.15 |
| Cd | 3.26 ± 8.07 | <LOD | 3.41 ± 9.93 |
| Co | 115.64 ± 103.9 | 413 ± 111.73 | 371.60 ± 119.39 |
| Cr | 3012 ± 36.23 | 11,756 ± 72.99 | 14,470.17 ± 87.24 |
| Cu | 111.18 ± 14.14 | 151.46 ± 16.99 | 137.37 ± 17.19 |
| Mn | 891.69 ± 73.80 | 1000.54 ± 117.65 | 1083.34 ± 134.11 |
| Mo | 1.69 ± 3.23 | 6.32 ± 3.57 | <LOD |
| Ni | 56.05 ± 17.59 | 204.87 ± 22.91 | 230.53 ± 41.15 |
| Zn | 235.01 ± 12.30 | 161.42 ± 11.60 | 134.34 ± 11.26 |
| pH | 7.24 | 6.70 | 7.21 |
| A. burgersfortensis | |||
| As | 0.25 ± 0.02 | 0.34 ± 0.06 | 0.25 ± 0.05 |
| Cd | 7.17 ± 4.81 | 3.88 ± 0.56 | 5.10 ± 1.76 |
| Co | 4.16 ± 4.95 | 2.51 ± 0.85 | 5.04 ± 4.28 |
| Cr | 9.47 ± 4.89 | 12.76 ± 14.51 | 3.74 ± 0.98 |
| Cu | 15.32 ± 2.87 | 18.17 ± 7.61 | 16.19 ± 1.77 |
| Mn | 1399.30 ± 604.86 | 681.83 ± 235.03 | 650.65 ± 5.04 |
| Mo | 0.06 ± 0.00 | 0.09 ± 0.13 | 0.05 ± 0.05 |
| Ni | 33.50 ± 15.45 | 14.51 ± 2.62 | 25.33 ± 12.97 |
| A. castanea | |||
| As | 0.26 ± 0.06 | 0.19 ± 0.02 | 0.27 ± 0.06 |
| Cd | 1.18 ± 0.13 | 3.21 ± 0.96 | 1.49 ± 0.57 |
| Co | 1.24 ± 0.21 | 3.83 ± 0.76 | 11.93 ± 7.78 |
| Cr | 5.42 ± 2.41 | 3.94 ± 0.45 | 3.24 ± 0.42 |
| Cu | 13.93 ± 2.70 | 18.94 ± 9.24 | 15.24 ± 3.34 |
| Mn | 714.37 ± 400.89 | 519.73 ± 272.21 | 393.60 ± 252.94 |
| Mo | 0.08 ± 0.09 | 0.04 ± 0.07 | 0.05 ± 0.06 |
| Ni | 7.91 ± 2.40 | 52.94 ± 25.88 | 41.54 ± 17.26 |
| Zn | 147.23 ± 46.51 | 96.81 ± 46.79 | 92.71 ± 2.60 |
References
- Padilla, F.M.; Pugnaire, F.I. The Role of Nurse Plants in the Restoration of Degraded Environments. Front. Ecol. Environ. 2006, 4, 196–202. [Google Scholar] [CrossRef]
- Pugnaire, F.I.; Luque, M.T. Changes in Plant Interactions along a Gradient of Environmental Stress. Oikos 2001, 93, 42–49. [Google Scholar] [CrossRef]
- King, E.G.; Stanton, M.L. Facilitative Effects of Aloe Shrubs on Grass Establishment, Growth, and Reproduction in Degraded Kenyan Rangelands: Implications for Restoration. Restor. Ecol. 2008, 16, 464–474. [Google Scholar] [CrossRef]
- Krumins, J.A.; Goodey, N.M.; Gallagher, F. Plant–Soil Interactions in Metal Contaminated Soils. Soil Biol. Biochem. 2015, 80, 224–231. [Google Scholar] [CrossRef]
- Wang, J.; Ge, Y.; Chen, T.; Bai, Y.; Qian, B.Y.; Zhang, C.B. Facilitation Drives the Positive Effects of Plant Richness on Trace Metal Removal in a Biodiversity Experiment. PLoS ONE 2014, 9, e93733. [Google Scholar] [CrossRef]
- Republic of South Africa National Environmental Management Amendment Act 62 of 2008. Available online: https://www.gov.za/documents/national-environmental-management-amendment-act-2 (accessed on 23 December 2022).
- Adhikari, S.; Marcelo-Silva, J.; Beukes, J.P.; van Zyl, P.G.; Coetsee, Y.; Boneschans, R.B.; Siebert, S.J. Contamination of Useful Plant Leaves with Chromium and Other Potentially Toxic Elements and Associated Health Risks in a Polluted Mining-Smelting Region of South Africa. Environ. Adv. 2022, 9, 100301. [Google Scholar] [CrossRef]
- Schwitzguébel, J.-P.; Van Der Lelie, D.; Baker, A.; Glass, D.J.; Vangronsveld, J. Phytoremediation: European and American Trends. J. Soil Sediments 2002, 2, 91–99. [Google Scholar] [CrossRef]
- Van der Ent, A.; Baker, A.J.M.; Reeves, R.D.; Pollard, A.J.; Schat, H. Hyperaccumulators of Metal and Metalloid Trace Elements: Facts and Fiction. Plant Soil 2013, 362, 319–334. [Google Scholar] [CrossRef]
- Rai, S.; Sharma, D.K.; Arora, S.S.; Sharma, M.; Chopra, A.K. Concentration of the Heavy Metals in Aloe vera L. (Aloe barbadensis Miller) Leaves Collected from Geographical Locaion of India. Ann. Biol. Res. 2011, 2, 575–579. [Google Scholar]
- Tanee, F.B.; Amadi, N. Screening of Polyalthia longifolia and Aloe vera for Their Phytoextractability of Heavy Metals in Tropical Soil of the Niger Delta. J. Appl. Sci. Environ. Manag. 2016, 20, 141–147. [Google Scholar]
- Dobbins, D.C.; Marcelo-Silva, J.; Siebert, S.J. Screening the Phytoextractability of Trace Metals by Aloe cryptopoda Baker and Aloe vera (L.) Burm.f. Cultivated on Mine Tailings. S. Afr. J. Bot. 2021, 140, 110–113. [Google Scholar] [CrossRef]
- Siebert, S.J.; Van Wyk, A.E.; Bredenkamp, G.J. Endemism in the Flora of Ultramafic Areas of Sekhukhuneland, South Africa Endemism in the Flora of Ultramafic Areas of Sekhukhuneland. S. Afr. J. Sci. 2001, 97, 529–532. [Google Scholar] [CrossRef]
- Smith, G. Sasol First Field Guide to Aloes of Southern Africa; Penguin Random House South Africa: Cape Town, South Africa, 2011. [Google Scholar]
- Arocena, J.M.; Van Mourik, J.M.; Schilder, M.L.M.; Faz Cano, A. Initial Soil Development Under Pioneer Plant Species in Metal Mine Waste Deposits. Restor. Ecol. 2010, 18, 244–252. [Google Scholar] [CrossRef]
- Xie, Y.; Hu, L.; Du, Z.; Sun, X.; Amombo, E.; Fan, J.; Fu, J. Effects of Cadmium Exposure on Growth and Metabolic Profile of Bermudagrass [Cynodon dactylon (L.) Pers.]. PLoS ONE 2014, 9, e115279. [Google Scholar] [CrossRef]
- Delgado-Caballero, M.d.R.; Alarcón-Herrera, M.T.; Valles-Aragón, M.C.; Melgoza-Castillo, A.; Ojeda-Barrios, D.L.; Leyva-Chávez, A. Germination of Bouteloua dactyloides and Cynodon dactylon in a Multi-Polluted Soil. Sustainability 2017, 9, 81. [Google Scholar] [CrossRef]
- Song, X.; Li, C.; Chen, W. Phytoremediation Potential of Bermuda Grass (Cynodon dactylon (L.) Pers.) in Soils Co-Contaminated with Polycyclic Aromatic Hydrocarbons and Cadmium. Ecotoxicol. Environ. Saf. 2022, 234, 113389. [Google Scholar] [CrossRef]
- Anderson, M.; Gorley, R.N.; Clarke, K.R. PERMANOVA+ for PRIMER: Guide to Software and Statistical Methods; PRIMER-E: Plymouth, UK, 2008; p. 214. [Google Scholar]
- Cluis, C. Junk-Greedy Greens: Phytoremediation as a New Option for Soil Decontamination. BioTeach J. 2004, 2, 61–67. [Google Scholar]
- Shokri, F.; Ziarati, P.; Mousavi, Z. Removal of Selected Heavy Metals from Pharmaceutical Effluent by Aloe vera L. Biomed. Pharmacol. J. 2016, 9, 705–713. [Google Scholar] [CrossRef]
- Elhag, M.; Al-Ghamdi, A.A.M.; Galal, H.K.; Dahlan, A. Evaluation of Aloe vera L. as Phytoremediator of Heavy Metals Contaminated Soils in Arid Environments. Appl. Ecol. Environ. Res. 2018, 16, 6033–6045. [Google Scholar] [CrossRef]
- Ong, G.H.; Cheng, W.H.; Wong, L.S. Accumulation of Arsenic and Antimony in Aloe barbadensis: A Transplantation Study. Remediation 2018, 29, 53–57. [Google Scholar] [CrossRef]
- Adetunji, T.L.; Olisah, C.; Adegbaju, O.D.; Olawale, F.; Adetunji, A.E.; Siebert, F.; Siebert, S. The Genus Aloe: A Bibliometric Analysis of Global Research Outputs (2001–2020) and Summary of Recent Research Reports on Its Biological Activities. S. Afr. J. Bot. 2022, 147, 953–975. [Google Scholar] [CrossRef]
- Su, R.; Ou, Q.; Wang, H.; Luo, Y.; Dai, X.; Wang, Y.; Chen, Y.; Shi, L. Comparison of Phytoremediation Potential of Nerium indicum with Inorganic Modifier Calcium Carbonate and Organic Modifier Mushroom Residue to Lead–Zinc Tailings. Int. J. Environ. Res. Public Health 2022, 19, 10353. [Google Scholar] [CrossRef] [PubMed]
- Klopper, R.R.; Smith, G.F. Aloe Genus. Available online: http://pza.sanbi.org/aloe-genus (accessed on 15 November 2022).
- Tariq, M.R.; Shaheen, F.; Mustafa, S.; Sajid, A.L.I.; Fatima, A.; Shafiq, M.; Safdar, W.; Sheas, M.N.; Hameed, A.; Nasir, M.A. Phosphate Solubilizing Microorganisms Isolated from Medicinal Plants Improve Growth of Mint. PeerJ 2022, 10, 1–19. [Google Scholar] [CrossRef] [PubMed]
- Xie, Y.; Luo, H.; Hu, L.; Sun, X.; Lou, Y.; Fu, J. Classification of Genetic Variation for Cadmium Tolerance in Bermudagrass [Cynodon dactylon (L.) Pers.] Using Physiological Traits and Molecular Markers. Ecotoxicology 2014, 23, 1030–1043. [Google Scholar] [CrossRef]
- Xiong, Z.; Yang, J.; Zhang, K. Effects of Lead Pollution on Germination and Seedling Growth of Turfgrass, Cynodon dactylon. Pakistan J. Bot. 2021, 53, 2003–2009. [Google Scholar] [CrossRef]
- Shu, W.S.; Ye, Z.H.; Lan, C.Y.; Zhang, Z.Q.; Wong, M.H. Lead, Zinc and Copper Accumulation and Tolerance in Populations of Paspalum distichum and Cynodon dactylon. Environ. Pollut. 2002, 120, 445–453. [Google Scholar] [CrossRef]
- Archer, M.J.G.; Caldwell, R.A. Response of Six Australian Plant Species to Heavy Metal Contamination at an Abandoned Mine Site. Water. Air. Soil Pollut. 2004, 157, 257–267. [Google Scholar] [CrossRef]
- Shuaibu, L.; Abdullahi, U.; Yaradua, A.I.; Bungudu, J.I. Phytoremediation Potentials of Cynodon dactylon on Heavy Metal Contaminated Soils from Challawa Industrial Estate, Kano-Nigeria. Asian J. Appl. Chem. Res. 2021, 9, 25–36. [Google Scholar] [CrossRef]
- El-Sayed, S.; Abdel-Aziz, N.; Mazhar, A. Antioxidant Isoenzymes, Chemical Constituents and Growth Parameters of Cad-mium-stressed Dimorphotheca ecklonis Plant and Affected by Humic Acid. Egypt. J. Chem. 2022, 67, 519–532. [Google Scholar] [CrossRef]
- Nikolić, M.; Stevović, S. Family Asteraceae as a Sustainable Planning Tool in Phytoremediation and Its Relevance in Urban Areas. Urban For. Urban Green. 2015, 14, 782–789. [Google Scholar] [CrossRef]
- Ravlić, M.; Baličević, R.; Visković, M.; Smolčić, I. Response of Weed Species on Allelopathic Potential of Aloe vera (L.) Burm.F. Herbol. Int. J. Weed Res. Control 2017, 16, 49–55. [Google Scholar] [CrossRef]
- Baličević, R.; Ravlić, M.; Lucić, K.; Tatarević, M.; Lucić, P.; Marković, M. Allelopathic Effect of Aloe vera (L.) Burm.F. on Seed Germination and Seedlings Growth of Cereals, Industrial Crops and Vegetables. Poljoprivreda 2018, 24, 13–19. [Google Scholar] [CrossRef]
- Singh, M.; Shankar, H.; Singh, K. The Allelopathy Effect of Medicinal Crop (Aloe vera (L.) Burm.F.) On Their Associated Weeds in Grid Zone of Madhya Pradesh. J. Rural Agric. Res. 2019, 19, 6–9. [Google Scholar]
- Department of Environmental Affairs. National Environmental Management: Waste Act, 2008 (Act no. 59 of 2008), Draft National Norms and Standards for the Remediation of Contaminated Land and Soil Quality. Government Gazette. 19 March 2012. Available online: https://cer.org.za/wp-content/uploads/2010/03/national-environmental-management-waste-act-59-2008-national-norms-and-standards-for-the-remediation-of-contaminated-land-and-soil-quality_20140502-GGN-37603-00331.pdf (accessed on 13 December 2022).







| As | Zn | Cu | Ni | Co | Fe | Mn | Cr | Cd | |
|---|---|---|---|---|---|---|---|---|---|
| A. burgersfortensis | |||||||||
| Control | 0.1 | 1.3 | 0.1 | 0.4 | 0.0 | 0.0 | 2.0 | 0.0 | 2.2 |
| Platinum tailings | 0.0 | 1.2 | 0.1 | 0.1 | 0.0 | 0.0 | 0.7 | 0.0 | >1 * |
| Gold tailings | 0.0 | 1.7 | 0.1 | 0.1 | 0.0 | 0.0 | 0.9 | 0.0 | 1.5 |
| A. castanea | |||||||||
| Control | 0.1 | 0.6 | 0.1 | 0.1 | 0.0 | 0.0 | 0.8 | 0.0 | 0.4 |
| Platinum tailings | 0.1 | 3.0 | 0.6 | 1.3 | 0.0 | 0.0 | 2.6 | 0.0 | >1 * |
| Gold tailings | 0.1 | 3.5 | 0.6 | 0.9 | 0.2 | 0.0 | 1.8 | 0.0 | 0.4 |
Disclaimer/Publisher’s Note: The statements, opinions and data contained in all publications are solely those of the individual author(s) and contributor(s) and not of MDPI and/or the editor(s). MDPI and/or the editor(s) disclaim responsibility for any injury to people or property resulting from any ideas, methods, instructions or products referred to in the content. |
© 2023 by the authors. Licensee MDPI, Basel, Switzerland. This article is an open access article distributed under the terms and conditions of the Creative Commons Attribution (CC BY) license (https://creativecommons.org/licenses/by/4.0/).
Share and Cite
Marcelo-Silva, J.; Ramabu, M.; Siebert, S.J. Phytoremediation and Nurse Potential of Aloe Plants on Mine Tailings. Int. J. Environ. Res. Public Health 2023, 20, 1521. https://doi.org/10.3390/ijerph20021521
Marcelo-Silva J, Ramabu M, Siebert SJ. Phytoremediation and Nurse Potential of Aloe Plants on Mine Tailings. International Journal of Environmental Research and Public Health. 2023; 20(2):1521. https://doi.org/10.3390/ijerph20021521
Chicago/Turabian StyleMarcelo-Silva, João, Masego Ramabu, and Stefan John Siebert. 2023. "Phytoremediation and Nurse Potential of Aloe Plants on Mine Tailings" International Journal of Environmental Research and Public Health 20, no. 2: 1521. https://doi.org/10.3390/ijerph20021521
APA StyleMarcelo-Silva, J., Ramabu, M., & Siebert, S. J. (2023). Phytoremediation and Nurse Potential of Aloe Plants on Mine Tailings. International Journal of Environmental Research and Public Health, 20(2), 1521. https://doi.org/10.3390/ijerph20021521

