Analysis of COVID-19 Case Demographics and Disease Outcomes in Gary, Indiana
Abstract
:1. Introduction
2. Methods
2.1. Data Collection
2.2. Observed/Expected (O/E) Normalization
2.3. Statistical Analysis
3. Results
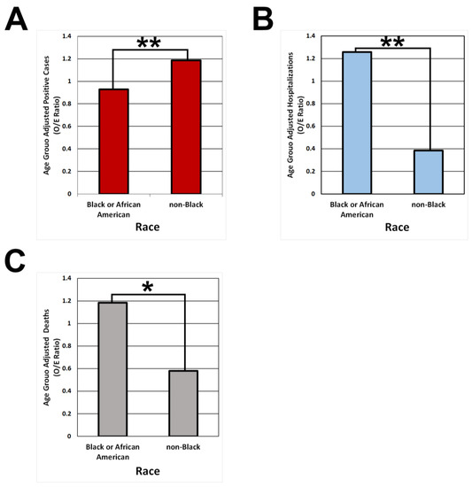
3.1. Evaluation of the Number of Infections, Hospitalizations, and Deaths in the City of Gary
3.2. Evaluation of the Effect of Zip Code Income on Infections, Hospitalizations, and Deaths in the City of Gary
3.3. Infection Rates Correlate with the Zip Code Population Size
4. Discussion
5. Conclusions
Author Contributions
Funding
Institutional Review Board Statement
Informed Consent Statement
Data Availability Statement
Conflicts of Interest
References
- Jackson, J.K.; Weiss, M.A.; Schwarzenberg, A.B.; Nelson, R.M.; Sutter, K.M.; Sutherland, M.D. Global Economic Effects of COVID-19. 2021. Available online: https://sgp.fas.org/crs/row/R46270.pdf (accessed on 10 May 2023).
- Chamaa, F.; Bahmad, H.F.; Darwish, B.; Kobeissi, J.M.; Hoballah, M.; Nassif, S.B.; Ghandour, Y.; Saliba, J.P.; Lawand, N.; Abou-Kheir, W. PTSD in the COVID-19 Era. Curr. Neuropharmacol. 2021, 19, 2164–2179. [Google Scholar] [CrossRef] [PubMed]
- Braveman, P.; Gottlieb, L. The social determinants of health: It’s time to consider the causes of the causes. Public. Health Rep. 2014, 129 (Suppl. S2), 19–31. [Google Scholar] [CrossRef] [PubMed]
- Howell, C.R.; Harada, C.N.; Fontaine, K.R.; Mugavero, M.J.; Cherrington, A.L. Perspective: Acknowledging a Hierarchy of Social Needs in Diabetes Clinical Care and Prevention. Diabetes Metab. Syndr. Obes. 2023, 16, 161–166. [Google Scholar] [CrossRef]
- Reyes, C.; Husain, N.; Christy Gutowski, S.S.C.; Pratt, G. Chicago’s coronavirus disparity: Black Chicagoans are dying at nearly six times the rate of white residents, data show. Chicago Tribune, 7 April 2020. [Google Scholar]
- Vasquez Reyes, M. The Disproportional Impact of COVID-19 on African Americans. Health Hum. Rights 2020, 22, 299–307. [Google Scholar]
- US Census Bureau. 2020 Census Illuminates Racial and Ethnic Composition of the Country. 2020. Available online: https://www.census.gov/library/stories/2021/08/improved-race-ethnicity-measures-reveal-united-states-population-much-more-multiracial.html (accessed on 22 August 2022).
- CDC.gov. Provisional COVID-19 Deaths: Distribution of Deaths by Race and Hispanic Origin. 2023. Available online: https://data.cdc.gov/NCHS/Provisional-COVID-19-Deaths-Distribution-of-Deaths/pj7m-y5uh (accessed on 10 May 2023).
- Rusoja, E.A.; Thomas, B.A. The COVID-19 pandemic, Black mistrust, and a path forward. eClinicalMedicine 2021, 35, 100868. [Google Scholar] [CrossRef]
- Kennedy, B.R.; Mathis, C.C.; Woods, A.K. African Americans and their distrust of the health care system: Healthcare for diverse populations. J. Cult. Divers. 2007, 14, 56–60. [Google Scholar] [PubMed]
- Beskow, L.M. Lessons from HeLa Cells: The Ethics and Policy of Biospecimens. Annu. Rev. Genom. Hum. Genet. 2016, 17, 395–417. [Google Scholar] [CrossRef] [PubMed]
- Brockie, T.N.; Hill, K.; Davidson, P.M.; Decker, E.; Krienke, L.K.; Nelson, K.E.; Nicholson, N.; Werk, A.M.; Wilson, D.; Around Him, D. Strategies for culturally safe research with Native American communities: An integrative review. Contemp. Nurse 2022, 58, 8–32. [Google Scholar] [CrossRef] [PubMed]
- Powell, W.; Richmond, J.; Mohottige, D.; Yen, I.; Joslyn, A.; Corbie-Smith, G. Medical Mistrust, Racism, and Delays in Preventive Health Screening Among African-American Men. Behav. Med. 2019, 45, 102–117. [Google Scholar] [CrossRef] [PubMed]
- Khubchandani, J.; Macias, Y. COVID-19 vaccination hesitancy in Hispanics and African-Americans: A review and recommendations for practice. Brain Behav. Immun. Health 2021, 15, 100277. [Google Scholar] [CrossRef] [PubMed]
- Martinez Leal, I.; Njoh, J.; Chen, T.A.; Foreman-Hays, F.; Reed, B.C.; Haley, S.A.; Chavez, K.; Reitzel, L.R.; Obasi, E.M. Exploring COVID-19 Vaccine Attitudes among Racially and Ethnically Minoritized Communities: Community Partners’ and Residents’ Perspectives. Int. J. Environ. Res. Public Health 2023, 20, 3372. [Google Scholar] [CrossRef] [PubMed]
- Perry, B.L.; Aronson, B.; Pescosolido, B.A. Pandemic precarity: COVID-19 is exposing and exacerbating inequalities in the American heartland. Proc. Natl. Acad. Sci. USA 2021, 118, e2020685118. [Google Scholar] [CrossRef] [PubMed]
- Ransome, Y.; Ojikutu, B.O.; Buchanan, M.; Johnston, D.; Kawachi, I. Neighborhood Social Cohesion and Inequalities in COVID-19 Diagnosis Rates by Area-Level Black/African American Racial Composition. J. Urban. Health 2021, 98, 222–232. [Google Scholar] [CrossRef] [PubMed]
- Ramirez, I.J.; Lee, J. COVID-19 Emergence and Social and Health Determinants in Colorado: A Rapid Spatial Analysis. Int. J. Environ. Res. Public. Health 2020, 17, 3856. [Google Scholar] [CrossRef] [PubMed]
- Wang, R.; Liu, L.; Wu, H.; Peng, Z. Correlation Analysis between Urban Elements and COVID-19 Transmission Using Social Media Data. Int. J. Environ. Res. Public. Health 2022, 19, 5208. [Google Scholar] [CrossRef]
- US Census Bureau. QuickFacts Gary City, Indiana. Available online: https://www.census.gov/quickfacts/garycityindiana (accessed on 10 May 2023).
- Davich, J. Lost Gary, Indiana; Arcadia Publishing: Mount Pleasant, SC, USA, 2015. [Google Scholar]
- The COVID Racial Data Tracker. COVID-19 Is Affecting Black, Indigenous, Latinx, and Other People of Color the Most. Available online: https://covidtracking.com/race (accessed on 10 May 2023).
- Hamo, C.E.; Fonarow, G.C.; Greene, S.J.; Vaduganathan, M.; Yancy, C.W.; Heidenreich, P.; Lu, D.; Matsouaka, R.A.; DeVore, A.D.; Butler, J. Temporal trends in risk profiles among patients hospitalized for heart failure. Am. Heart J. 2021, 232, 154–163. [Google Scholar] [CrossRef]
- Johnson-Agbakwu, C.E.; Ali, N.S.; Oxford, C.M.; Wingo, S.; Manin, E.; Coonrod, D.V. Racism, COVID-19, and Health Inequity in the USA: A Call to Action. J. Racial Ethn. Health Disparities 2022, 9, 52–58. [Google Scholar] [CrossRef] [PubMed]
- Esakandari, H.; Nabi-Afjadi, M.; Fakkari-Afjadi, J.; Farahmandian, N.; Miresmaeili, S.M.; Bahreini, E. A comprehensive review of COVID-19 characteristics. Biol. Proced. Online 2020, 22, 19. [Google Scholar] [CrossRef] [PubMed]
- Hanson, A.E.; Hains, D.S.; Schwaderer, A.L.; Starr, M.C. Variation in COVID-19 Diagnosis by Zip Code and Race and Ethnicity in Indiana. Front. Public. Health 2020, 8, 593861. [Google Scholar] [CrossRef]
- Golestaneh, L.; Neugarten, J.; Fisher, M.; Billett, H.H.; Gil, M.R.; Johns, T.; Yunes, M.; Mokrzycki, M.H.; Coco, M.; Norris, K.C.; et al. The association of race and COVID-19 mortality. eClinicalMedicine 2020, 25, 100455. [Google Scholar] [CrossRef]
- Millett, G.A.; Jones, A.T.; Benkeser, D.; Baral, S.; Mercer, L.; Beyrer, C.; Honermann, B.; Lankiewicz, E.; Mena, L.; Crowley, J.S.; et al. Assessing differential impacts of COVID-19 on black communities. Ann. Epidemiol. 2020, 47, 37–44. [Google Scholar] [CrossRef] [PubMed]
- Ssentongo, P.; Ssentongo, A.E.; Heilbrunn, E.S.; Ba, D.M.; Chinchilli, V.M. Association of cardiovascular disease and 10 other pre-existing comorbidities with COVID-19 mortality: A systematic review and meta-analysis. PLoS ONE 2020, 15, e0238215. [Google Scholar] [CrossRef] [PubMed]
- Price-Haywood, E.G.; Burton, J.; Fort, D.; Seoane, L. Hospitalization and Mortality among Black Patients and White Patients with COVID-19. N. Engl. J. Med. 2020, 382, 2534–2543. [Google Scholar] [CrossRef] [PubMed]
- Hu, S.; Xiong, C.; Li, Q.; Wang, Z.; Jiang, Y. COVID-19 vaccine hesitancy cannot fully explain disparities in vaccination coverage across the contiguous United States. Vaccine 2022, 40, 5471–5482. [Google Scholar] [CrossRef]
- McCabe, S.D.; Hammershaimb, E.A.; Cheng, D.; Shi, A.; Shyr, D.; Shen, S.; Cole, L.D.; Cataldi, J.R.; Allen, W.; Probasco, R.; et al. Unraveling attributes of COVID-19 vaccine acceptance and uptake in the U.S.: A large nationwide study. Sci. Rep. 2023, 13, 8360. [Google Scholar] [CrossRef]
- Dong, L.; Bogart, L.M.; Gandhi, P.; Aboagye, J.B.; Ryan, S.; Serwanga, R.; Ojikutu, B.O. A qualitative study of COVID-19 vaccine intentions and mistrust in Black Americans: Recommendations for vaccine dissemination and uptake. PLoS ONE 2022, 17, e0268020. [Google Scholar] [CrossRef] [PubMed]
- Lin, D.Y.; Gu, Y.; Wheeler, B.; Young, H.; Holloway, S.; Sunny, S.K.; Moore, Z.; Zeng, D. Effectiveness of COVID-19 Vaccines over a 9-Month Period in North Carolina. N. Engl. J. Med. 2022, 386, 933–941. [Google Scholar] [CrossRef] [PubMed]
- Alsan, M.; Stanford, F.C.; Banerjee, A.; Breza, E.; Chandrasekhar, A.G.; Eichmeyer, S.; Goldsmith-Pinkham, P.; Ogbu-Nwobodo, L.; Olken, B.A.; Torres, C.; et al. Comparison of Knowledge and Information-Seeking Behavior After General COVID-19 Public Health Messages and Messages Tailored for Black and Latinx Communities: A Randomized Controlled Trial. Ann. Intern. Med. 2021, 174, 484–492. [Google Scholar] [CrossRef]
- Doty, M.M.; Holmgren, A.L. Unequal Access: Insurance Instability among Low-Income Workers and Minorities; Issue Brief; Commonwealth Fund: New York, NY, USA, 2004; pp. 1–6. [Google Scholar]
- Jaiswal, J.; Halkitis, P.N. Towards a More Inclusive and Dynamic Understanding of Medical Mistrust Informed by Science. Behav. Med. 2019, 45, 79–85. [Google Scholar] [CrossRef] [PubMed]
- Williams, C.; Shang, D. Telehealth Usage Among Low-Income Racial and Ethnic Minority Populations During the COVID-19 Pandemic: Retrospective Observational Study. J. Med. Internet Res. 2023, 25, e43604. [Google Scholar] [CrossRef]
- Arrieta, M.; White, H.L.; Crook, E.D. Using zip code-level mortality data as a local health status indicator in Mobile, Alabama. Am. J. Med. Sci. 2008, 335, 271–274. [Google Scholar] [PubMed]




Disclaimer/Publisher’s Note: The statements, opinions and data contained in all publications are solely those of the individual author(s) and contributor(s) and not of MDPI and/or the editor(s). MDPI and/or the editor(s) disclaim responsibility for any injury to people or property resulting from any ideas, methods, instructions or products referred to in the content. |
© 2023 by the authors. Licensee MDPI, Basel, Switzerland. This article is an open access article distributed under the terms and conditions of the Creative Commons Attribution (CC BY) license (https://creativecommons.org/licenses/by/4.0/).
Share and Cite
Sabir, M.; Al-Tarshan, Y.; Snapp, C.; Brown, M.; Walker, R.; Han, A.; Kostrominova, T. Analysis of COVID-19 Case Demographics and Disease Outcomes in Gary, Indiana. Int. J. Environ. Res. Public Health 2023, 20, 6729. https://doi.org/10.3390/ijerph20186729
Sabir M, Al-Tarshan Y, Snapp C, Brown M, Walker R, Han A, Kostrominova T. Analysis of COVID-19 Case Demographics and Disease Outcomes in Gary, Indiana. International Journal of Environmental Research and Public Health. 2023; 20(18):6729. https://doi.org/10.3390/ijerph20186729
Chicago/Turabian StyleSabir, Maryam, Yazan Al-Tarshan, Cameron Snapp, Martin Brown, Roland Walker, Amy Han, and Tatiana Kostrominova. 2023. "Analysis of COVID-19 Case Demographics and Disease Outcomes in Gary, Indiana" International Journal of Environmental Research and Public Health 20, no. 18: 6729. https://doi.org/10.3390/ijerph20186729
APA StyleSabir, M., Al-Tarshan, Y., Snapp, C., Brown, M., Walker, R., Han, A., & Kostrominova, T. (2023). Analysis of COVID-19 Case Demographics and Disease Outcomes in Gary, Indiana. International Journal of Environmental Research and Public Health, 20(18), 6729. https://doi.org/10.3390/ijerph20186729

