Factors Determining the Agreement between Aerobic Threshold and Point of Maximal Fat Oxidation: Follow-Up on a Systematic Review and Meta-Analysis on Association
Abstract
1. Introduction
2. Methodology
2.1. Study Design
2.2. Search Strategy
2.3. Inclusion/Exclusion Criteria and Risk of Bias Assessment
2.4. Data Extraction
2.5. Statistical Analysis
3. Results
3.1. Descriptive Results
3.2. Clinical Differences
3.3. Methodological Differences
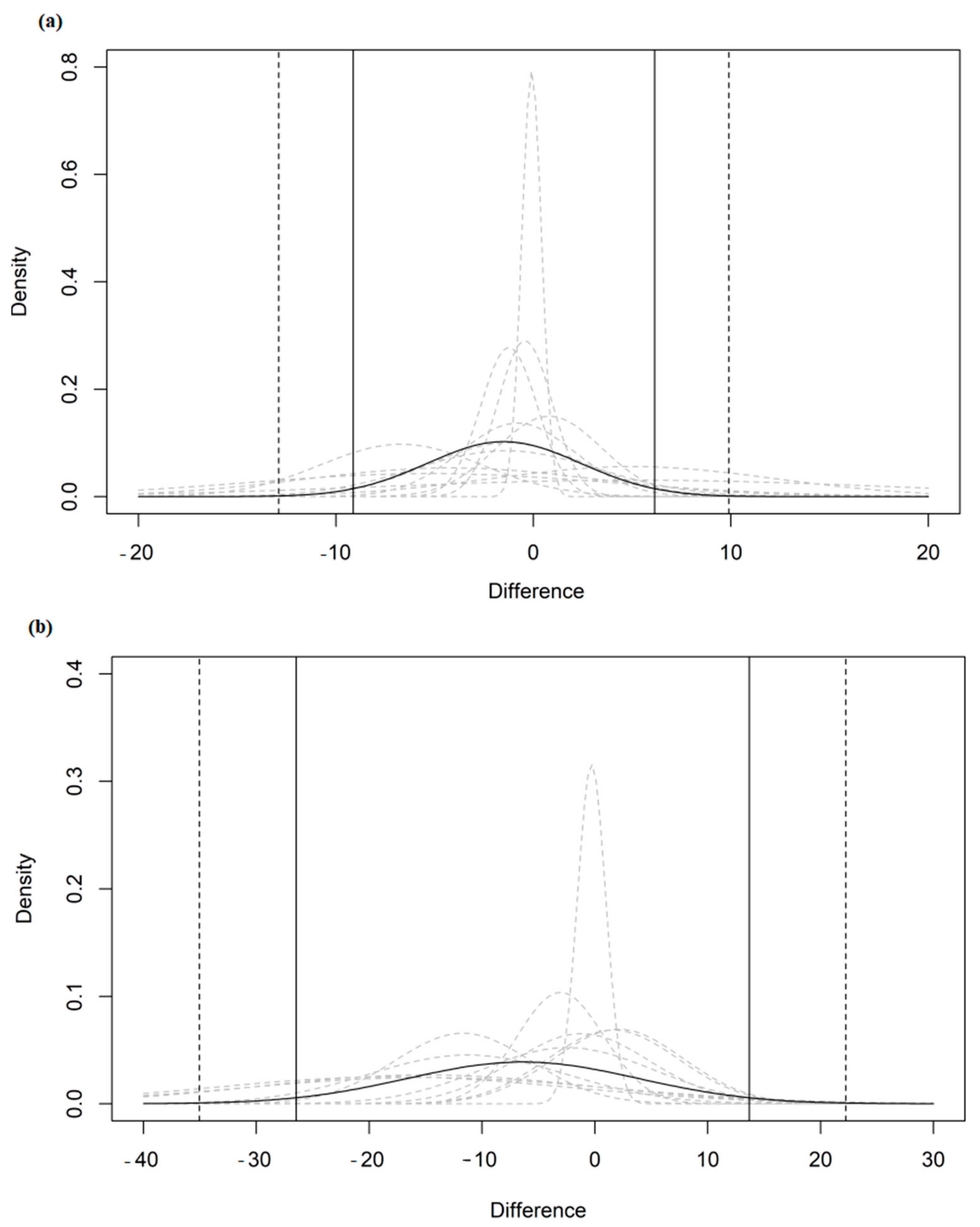
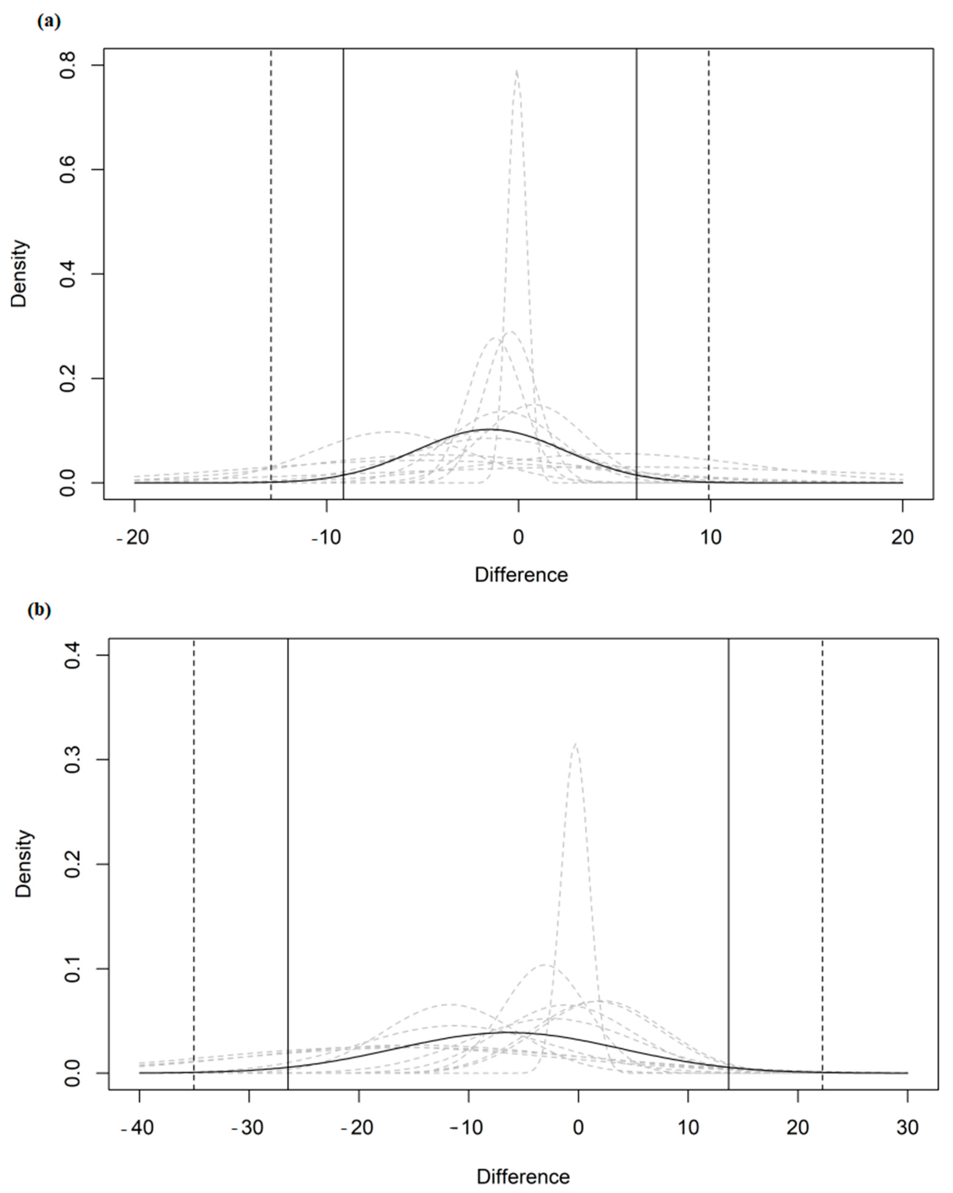
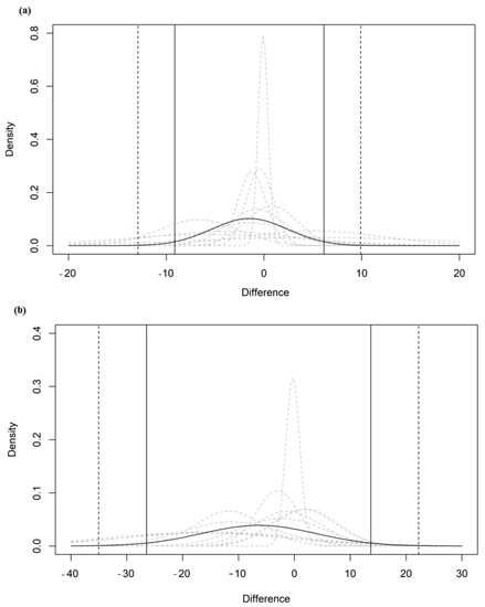
3.4. Agreement Analyses
3.5. Sensitivity Analysis
4. Discussion
5. Conclusions
Supplementary Materials
Author Contributions
Funding
Institutional Review Board Statement
Informed Consent Statement
Data Availability Statement
Conflicts of Interest
References
- Amaro-Gahete, F.J.; Sanchez-Delgado, G.; Jurado-Fasoli, L.; De-la-O, A.; Castillo, M.J.; Helge, J.W.; Ruiz, J.R. Assessment of maximal fat oxidation during exercise: A systematic review. Scand. J. Med. Sci. Sports. 2019, 29, 910–921. [Google Scholar] [CrossRef] [PubMed]
- Achten, J.; Jeukendrup, A.E. Maximal fat oxidation during exercise in trained men. Int. J. Sports Med. 2003, 24, 603–608. [Google Scholar] [PubMed]
- Achten, J.; Gleeson, M.; Jeukendrup, A.E. Determination of the exercise intensity that elicits maximal fat oxidation. Med. Sci. Sports Exerc. 2002, 34, 92–97. [Google Scholar] [CrossRef] [PubMed]
- Jeukendrup, A.; Achten, J. FATmax: A new concept to optimize fat oxidation during exercise? Eur. J. Sport Sci. 2001, 1, 1–5. [Google Scholar] [CrossRef]
- Sahlin, K.; Sallstedt, E.; Bishop, D.; Tonkonogi, M. Turning down lipid oxidation during heavy exercise-What is the mechanism. J. Physiol. Pharmacol. 2008, 59, 19–30. [Google Scholar] [PubMed]
- Chávez-Guevara, I.A.; Urquidez-Romero, R.; Pérez-León, J.A.; González-Rodríguez, E.; Moreno-Brito, V.; Ramos-Jiménez, A. chronic effect of FATmax training on body weight, fat mass, and cardiorespiratory fitness in obese subjects: A meta-analysis of randomized clinical trials. Int. J. Environ. Res. Public Health. 2020, 17, 7888. [Google Scholar] [CrossRef]
- Wang, J.; Tan, S.; Cao, L. Exercise training at the maximal fat oxidation intensity improved health-related physical fitness in overweight middle-aged women. J. Exerc. Sci. Fit. 2015, 13, 111–116. [Google Scholar] [CrossRef]
- Romain, A.J.; Carayol, M.; Desplan, M.; Fedou, C.; Ninot, G.; Mercier, J.; Avignon, A.; Brun, J.F. Physical activity targeted at maximal lipid oxidation: A meta-analysis. J Nutr Metab. 2012, 2012, 285395. [Google Scholar] [CrossRef]
- Spriet, L.L. New insights into the interaction of carbohydrate and fat metabolism during exercise. Sports Med. 2014, 44, 87–96. [Google Scholar] [CrossRef]
- Ball, D. Metabolic and endocrine response to exercise: Sympathoadrenal integration with skeletal muscle. J Endocrinol. 2015, 224, 79–95. [Google Scholar] [CrossRef]
- Hargreaves, M.; Spriet, L.L. Skeletal muscle energy metabolism during exercise. Nat Metab. 2020, 2, 817–828. [Google Scholar] [CrossRef]
- Ferri Marini, C.; Sisti, D.; Leon, A.S.; Skinner, J.S.; Sarzynski, M.A.; Bouchard, C.; Rocchi, M.B.L.; Piccoli, G.; Stocchi, V.; Federici, A.; et al. HRR and VO2R fractions are not equivalent: Is it time to rethink aerobic exercise prescription methods? Med. Sci. Sports Exerc. 2021, 53, 174–182. [Google Scholar] [CrossRef]
- Mann, T.; Lamberts, R.P.; Lambert, M.I. Methods of prescribing relative exercise intensity: Physiological and practical considerations. Sports Med. 2013, 43, 613–625. [Google Scholar] [CrossRef]
- Iannetta, D.; Inglis, E.C.; Mattu, A.T.; Fontana, F.Y.; Pogliaghi, S.; Keir, D.A.; Murias, J.M. Critical evaluation of current methods for exercise prescription in women and men. Med. Sci. Sports Exerc. 2020, 52, 466–473. [Google Scholar] [CrossRef]
- Ferri Marini, C.; Sisti, D.; Skinner, J.S.; Sarzynski, M.A.; Bouchard, C.; Amatori, S.; Rocchi, M.B.L.; Piccoli, G.; Stocchi, V.; Federici, A.; et al. Effect of individual characteristics and aerobic training on the %HRR-%VO2R relationship. Eur. J. Sport. Sci. 2022, 12, 1–33. [Google Scholar] [CrossRef]
- Nikolovski, Z.; Barbaresi, S.; Cable, T.; Peric, R. Evaluating the influence of differences in methodological approach on metabolic thresholds and fat oxidation points relationship. Eur. J. Sport Sci. 2021, 21, 61–68. [Google Scholar] [CrossRef]
- Beltz, N.M.; Gibson, A.L.; Janot, J.M.; Kravitz, L.; Mermier, C.M.; Dalleck, L.C. Graded exercise testing protocols for the determination of VO2max: Historical perspectives, progress, and future considerations. J. Sports Med. 2016, 2016, 3968393. [Google Scholar] [CrossRef]
- Emerenziani, G.P.; Gallotta, M.C.; Meucci, M.; Di Luigi, L.; Migliaccio, S.; Donini, L.M.; Strollo, F.; Guidetti, L. Effects of aerobic exercise based upon heart rate at aerobic threshold in obese elderly subjects with Type 2 diabetes. Int. J. Endocrinol. 2015, 2015, 695297. [Google Scholar] [CrossRef]
- Muscat, K.M.; Kotrach, H.G.; Wilkinson-Maitland, C.A.; Schaeffer, M.R.; Mendonca, C.T.; Jensen, D. Physiological and perceptual responses to incremental exercise testing in healthy men: Effect of exercise test modality. Appl. Physiol. Nutr. Metab. 2015, 40, 1199–1209. [Google Scholar] [CrossRef]
- Meyer, T.; Lucía, A.; Earnest, C.P.; Kindermann, W. A conceptual framework for performance diagnosis and training prescription from submaximal gas exchange parameters-theory and application. Int. J. Sports Med. 2005, 26, 38–48. [Google Scholar] [CrossRef]
- Ducrocq, G.P.; Kaufman, M.P. Inorganic phosphate and lactate potentiate the pressor response to acidic stimuli in rats. Exp Physiol. 2020, 105, 613–621. [Google Scholar] [CrossRef] [PubMed]
- Grotle, A.K.; Macefield, V.G.; Farquhar, W.B.; O′Leary, D.S.; Stone, A.J. Recent advances in exercise pressor reflex function in health and disease. Auton Neurosci. 2020, 228, 102698. [Google Scholar] [CrossRef] [PubMed]
- Binder, R.K.; Wonisch, M.; Corra, U.; Cohen-Solal, A.; Vanhees, L.; Saner, H.; Schmid, J.P. Methodological approach to the first and second lactate threshold in incremental cardiopulmonary exercise testing. Eur. J. Cardiovasc. Prev. Rehabil. 2008, 15, 726–734. [Google Scholar] [CrossRef]
- Bircher, S.; Knechtle, B. Relationship between fat oxidation and lactate threshold in athletes and obese women and men. J. Sports Sci. Med. 2004, 3, 174–181. [Google Scholar] [PubMed]
- Emerenziani, G.P.; Ferrari, D.; Marocco, C.; Greco, E.A.; Migliaccio, S.; Lenzi, A.; Baldari, C.; Guidetti, L. Relationship between individual ventilatory threshold and maximal fat oxidation (MFO) over different obesity classes in women. PLoS ONE 2019, 14, e0215307. [Google Scholar] [CrossRef] [PubMed]
- Michallet, A.S.; Tonini, J.; Regnier, J.; Guinot, M.; Favre-Juvin, A.; Bricout, V.; Halimi, S.; Wuyam, B.; Flore, P. Methodological aspects of crossover and maximum fat-oxidation rate point determination. Diabetes Metab. 2008, 34, 514–523. [Google Scholar] [CrossRef]
- Peric, R.; Nikolovski, Z.; Meucci, M.; Tadger, P.; Ferri Marini, C.; Amaro-Gahete, F.J. A systematic review and meta-analysis on the association and differences between aerobic threshold and point of optimal fat oxidation. Int. J. Environ. Res. Public Health. 2022, 19, 6479. [Google Scholar] [CrossRef]
- Rynders, C.A.; Angadi, S.S.; Weltman, N.Y.; Gaesser, G.A.; Weltman, A. Oxygen uptake and ratings of perceived exertion at the lactate threshold and maximal fat oxidation rate in untrained adults. Eur. J. Appl. Physiol. 2011, 111, 2063–2068. [Google Scholar] [CrossRef][Green Version]
- González-Haro, C. Maximal fat oxidation rate and cross-over point with respect to lactate thresholds do not have good agreement. Int. J. Sports Med. 2011, 32, 379–385. [Google Scholar] [CrossRef]
- Purdom, T.; Kravitz, L.; Dokladny, K.; Mermier, C. Understanding the factors that effect maximal fat oxidation. J. Int. Soc. Sports Nutr. 2018, 15, 3–10. [Google Scholar] [CrossRef]
- Poole, D.C.; Rossiter, H.B.; Brooks, G.A.; Gladden, L.B. The anaerobic threshold: 50+ years of controversy. J. Physiol. 2021, 599, 737–767. [Google Scholar] [CrossRef]
- Page, M.J.; McKenzie, J.E.; Bossuyt, P.M.; Boutron, I.; Hoffmann, T.C.; Mulrow, C.D.; Shamseer, L.; Tetzlaff, J.M.; Akl, E.A.; Brennan, S.E.; et al. The PRISMA 2020 statement: An updated guideline for reporting systematic reviews. Syst. Rev. 2021, 10, 89. [Google Scholar] [CrossRef]
- Schardt, C.; Adams, M.B.; Owens, T.; Keitz, S.; Fontelo, P. “Utilization of the PICO framework to improve searching PubMed for clinical questions”. BMC Med. Inform. Decis. Mak. 2007, 7, 16. [Google Scholar] [CrossRef]
- Guyatt, G.H.; Oxman, A.D.; Vist, G.E.; Kunz, R.; Falck-Ytter, Y.; Alonso-Coello, P.; Schünemann, H.J.; GRADE Working Group. GRADE: An emerging consensus on rating quality of evidence and strength of recommendations. BMJ 2008, 336, 924–926. [Google Scholar] [CrossRef]
- Whiting, P.; Savović, J.; Higgins, J.P.; Caldwell, D.M.; Reeves, B.C.; Shea, B.; Davies, P.; Kleijnen, J.; Churchill, R.; ROBIS Group. ROBIS: A new tool to assess risk of bias in systematic reviews was developed. J. Clin. Epidemiol. 2016, 69, 225–234. [Google Scholar] [CrossRef]
- Boyes, R. Forester: An R Package for Creating Publication-Ready Forest Plots. R Package Version 0.3.0. 2021. Available online: https://github.com/rdboyes/forester (accessed on 27 May 2022).
- Komsta, L. Outliers: Tests for Outliers. R Package Version 0.15. 2022. Available online: https://CRAN.R-project.org/package=outliers (accessed on 27 May 2022).
- Pustejovsky, J. Clubsandwich: Cluster-Robust (Sandwich) Variance Estimators with Small-Sample Corrections. R Package Version 0.5.8. 2022. Available online: https://CRAN.R-project.org/package=clubSandwich (accessed on 29 May 2022).
- Viechtbauer, W. Conducting meta-analyses in R with the metafor package. J. Stat. Softw. 2010, 36, 1–48. [Google Scholar] [CrossRef]
- Tipton, E.; Shuster, J. A framework for the meta-analysis of Bland-Altman studies based on limits of agreement approach. Stat Med. 2017, 36, 3621–3635. [Google Scholar] [CrossRef]
- Achten, J.; Jeukendrup, A.E. Relation between plasma lactate concentration and fat oxidation rates over a wide range of exerciseintensities. Int. J. Sports Med. 2004, 25, 32–37. [Google Scholar]
- Hedges, L.V.; Vevea, J.L. Fixed- and random-effects models in meta-analysis. Psychol. Methods. 1998, 3, 486–504. [Google Scholar] [CrossRef]
- Pustejovsky, J.E.; Tipton, E. Meta-analysis with robust variance estimation: Expanding the range of working models. Prev. Sci. 2022, 23, 425–438. [Google Scholar] [CrossRef]
- Hedges, L.V.; Tipton, E.; Johnson, M.C. Robust variance estimation in meta-regression with dependent effect size estimates. Res. Synth. Methods. 2010, 1, 39–65. [Google Scholar] [CrossRef] [PubMed]
- Tipton, E. Small sample adjustments for robust variance estimation with meta-regression. Psychol. Methods 2015, 20, 375. [Google Scholar] [CrossRef] [PubMed]
- Cro, S.; Morris, T.P.; Kenward, M.G.; Carpenter, J.R. Sensitivity analysis for clinical trials with missing continuous outcome data using controlled multiple imputation: A practical guide. Stat. Med. 2020, 39, 2815–2842. [Google Scholar] [CrossRef] [PubMed]
- Higgins, J.P.T.; Thomas, J.; Chandler, J.; Cumpston, M.; Li, T.; Page, M.J.; Welch, V.A. (Eds.) Cochrane Handbook for Systematic Reviews of Interventions, 2nd ed.; John Wiley & Sons: Chichester, UK, 2019. [Google Scholar]
- Grubbs, F.E. Sample criteria for testing outlying observations. Ann. Math. Stat. 1950, 21, 27–58. [Google Scholar] [CrossRef]
- Van den Noortgate, W.; López-López, J.A.; Marín-Martínez, F.; Sánchez-Meca, J. Three-level meta-analysis of dependent effect sizes. Behav. Res. Methods. 2013, 45, 576–594. [Google Scholar] [CrossRef]
- Bircher, S.; Knechtle, B.; Müller, G.; Knecht, H. Is the highest fat oxidation rate coincident with the anaerobic threshold in obese women and men? Eur. J. Sport Sci. 2005, 5, 79–87. [Google Scholar] [CrossRef]
- Peric, R.; Meucci, M.; Bourdon, P.C.; Nikolovski, Z. Does the aerobic threshold correlate with the maximal fat oxidation rate in short stage treadmill tests? J. Sports Med. Phys. Fit. 2018, 58, 1412–1417. [Google Scholar] [CrossRef]
- Peric, R.; Nikolovski, Z. Can metabolic thresholds be used as exercise markers in adult men with obesity? Comp. Exerc. Physiol. 2020, 16, 113–119. [Google Scholar] [CrossRef]
- Venables, M.C.; Achten, J.; Jeukendrup, A.E. Determinants of fat oxidation during exercise in healthy men and women: A cross-sectional study. J. Appl. Physiol. 2005, 98, 160–167. [Google Scholar] [CrossRef]
- Zurbuchen, A.; Lanzi, S.; Voirol, L.; Trindade, C.B.; Gojanovic, B.; Kayser, B.; Bourdillon, N.; Chenevière, X.; Malatesta, D. Fat oxidation kinetics is related to muscle deoxygenation kinetics during exercise. Front Physiol. 2020, 4, 571. [Google Scholar] [CrossRef]
- Chávez-Guevara, I.A.; Hernández-Torres, P.R.; Trejo-Trejo, M.; Moreno-Brito, V.; González-Rodríguez, E.; Ramos-Jiménez, A. Association among different aerobic threshold markers and FATmax in men with obesity. Res. Q. Exerc. Sport 2022, 1–8. [Google Scholar] [CrossRef]
- Londeree, B.R. Effect of training on lactate/ventilatory thresholds: A meta-analysis. Med. Sci. Sports Exerc. 1997, 29, 837–843. [Google Scholar] [CrossRef]
- Pallarés, J.G.; Morán-Navarro, R.; Ortega, J.F.; Fernández-Elías, V.E.; Mora-Rodriguez, R. Validity and reliability of ventilatory and blood lactate thresholds in well-trained cyclists. PLoS ONE 2016, 11, e0163389. [Google Scholar] [CrossRef] [PubMed]
- Jamnick, N.A.; Botella, J.; Pyne, D.B.; Bishop, D.J. Manipulating graded exercise test variables affects the validity of the lactate threshold and VO2peak. PLoS ONE 2018, 13, e0199794. [Google Scholar] [CrossRef]
- Tolfrey, K.; Jeukendrup, A.E.; Batterham, A.M. Group- and individual-level coincidence of the ‘FATmax’ and lactate accumulation in adolescents. Eur. J. Appl. Physiol. 2010, 109, 1145–1153. [Google Scholar] [CrossRef]
- Meucci, M.; Nandagiri, V.; Kavirayuni, V.S.; Whang, A.; Collier, S.R. Correlation between heart rate at maximal fat oxidation and aerobic threshold in healthy adolescent boys and girls. Pediatr. Exerc. Sci. 2021, 33, 139–143. [Google Scholar] [CrossRef]
- Gmada, N.; Marzouki, H.; Sassi, R.H.; Tabka, R.; Shephard, R.; Brun, J.F.; Bouhlel, E. Relative and absolute reliability of the crossover and maximum fat oxidation points and their relationship to ventilatory threshold. Sci. Sports. 2013, 28, 99–105. [Google Scholar] [CrossRef]
- Croci, I.; Borrani, F.; Byrne, N.M.; Wood, R.E.; Hickman, I.J.; Chenevière, X.; Malatesta, D. Reproducibility of FATmax and fat oxidation rates during exercise in recreationally trained males. PLoS ONE 2014, 9, e114115. [Google Scholar] [CrossRef]



| Trial | Trial ID | Group within Trial | N | Measurement Unit | Sex | Physical Level | Ergometer | AeT Detection Method | VO2max Protocol | FATmax Detection Method | FATmax Protocol |
|---|---|---|---|---|---|---|---|---|---|---|---|
| 1 | Achten et al., (2004) [41] | a | 33 | b/min | Male | Active | Cycle | Lactate | Short | Visual | Identical |
| b | 33 | L/min | Male | Active | Cycle | Lactate | Short | Visual | Identical | ||
| 2 | Bircher et al., (2005) [50] | a | 48 | mL/min/kg | Male | Active | Cycle | Lactate | Short | Visual | Identical |
| b | 48 | b/min | Male | Active | Cycle | Lactate | Short | Visual | Identical | ||
| c | 48 | b/min | Male | Active | Cycle | Lactate | Long | Visual | Identical | ||
| d * | 48 | mL/min/kg | Male | Active | Cycle | Lactate | Long | Visual | Identical | ||
| e | 30 | mL/min/kg | Female | Active | Cycle | Lactate | Short | Visual | Identical | ||
| f | 30 | b/min | Female | Active | Cycle | Lactate | Short | Visual | Identical | ||
| g | 30 | b/min | Female | Active | Cycle | Lactate | Long | Visual | Identical | ||
| h * | 30 | mL/min/kg | Female | Active | Cycle | Lactate | Long | Visual | Identical | ||
| 3 | Emerenziani et al., (2019) [25] | a | 52 | b/min | Female | Inactive | Treadmill | Gas analysis | Short | Mathematical | Identical |
| b | 52 | mL/min/kg | Female | Inactive | Treadmill | Gas analysis | Short | Mathematical | Identical | ||
| c | 52 | %HRmax | Female | Inactive | Treadmill | Gas analysis | Short | Mathematical | Identical | ||
| d | 52 | %VO2max | Female | Inactive | Treadmill | Gas analysis | Short | Mathematical | Identical | ||
| 4 | Gonzalez-Haro (2011) [29] | a | 11 | %VO2max | Male | Active | Cycle | Lactate | Long | Mathematical | Identical |
| b | 11 | %VO2max | Male | Active | Cycle | Lactate | Long | Mathematical | Identical | ||
| 5 | Michallet et al., (2008) [26] | a | 14 | L/min | - | Active | Cycle | Gas analysis | Short | Mathematical | Additional |
| b | 14 | L/min | - | Active | Cycle | Lactate | Short | Mathematical | Additional | ||
| 6 | Nikolovski et al., (2021) [16] | a | 22 | mL/min/kg | Male | Active | Cycle | Gas analysis | Short | Mathematical | Identical |
| b | 22 | %VO2max | Male | Active | Cycle | Gas analysis | Short | Mathematical | Identical | ||
| c | 22 | %HRmax | Male | Active | Cycle | Gas analysis | Short | Mathematical | Identical | ||
| 7 | Peric et al., (2018) [51] | a | 57 | mL/min/kg | Male | Active | Treadmill | Gas analysis | Short | Visual | Identical |
| b | 57 | %VO2max | Male | Active | Treadmill | Gas analysis | Short | Visual | Identical | ||
| 8 | Peric et al., (2020) [52] | a | 19 | mL/min/kg | Male | Inactive | Treadmill | Gas analysis | Short | Visual | Identical |
| b | 19 | %VO2max | Male | Inactive | Treadmill | Gas analysis | Short | Visual | Identical | ||
| 9 | Rynders et al., (2011) [28] | a | 74 | mL/min/kg | Male | Inactive | Cycle | Lactate | Short | Visual | Identical |
| b | 74 | mL/min/kg | Female | Inactive | Cycle | Lactate | Short | Visual | Identical | ||
| 10 | Venables et al., (2004) [53] | a * | 157 | %VO2max | Male | Inactive | Treadmill | Gas analysis | Short | Visual | Identical |
| b | 143 | %VO2max | Female | Inactive | Treadmill | Gas analysis | Short | Visual | Identical | ||
| 11 | Zurbuchen et al., (2020) [54] | a | 22 | mL/min/kg | Male | Active | Cycle | Gas analysis | Short | Mathematical | Additional |
| b | 22 | %VO2max | Male | Active | Cycle | Gas analysis | Short | Mathematical | Additional | ||
| 12 | Chavez-Guevara et al., (2022) [55] | a | 18 | mL/min/kg | Male | Inactive | Treadmill | Gas analysis | Short | Visual | Identical |
| b | 18 | %VO2max | Male | Inactive | Treadmill | Gas analysis | Short | Visual | Identical | ||
| c | 18 | mL/min/kg | Male | Inactive | Treadmill | Lactate | Short | Visual | Identical | ||
| d | 18 | %VO2max | Male | Inactive | Treadmill | Lactate | Short | Visual | Identical |
Disclaimer/Publisher’s Note: The statements, opinions and data contained in all publications are solely those of the individual author(s) and contributor(s) and not of MDPI and/or the editor(s). MDPI and/or the editor(s) disclaim responsibility for any injury to people or property resulting from any ideas, methods, instructions or products referred to in the content. |
© 2022 by the authors. Licensee MDPI, Basel, Switzerland. This article is an open access article distributed under the terms and conditions of the Creative Commons Attribution (CC BY) license (https://creativecommons.org/licenses/by/4.0/).
Share and Cite
Ferri Marini, C.; Tadger, P.; Chávez-Guevara, I.A.; Tipton, E.; Meucci, M.; Nikolovski, Z.; Amaro-Gahete, F.J.; Peric, R. Factors Determining the Agreement between Aerobic Threshold and Point of Maximal Fat Oxidation: Follow-Up on a Systematic Review and Meta-Analysis on Association. Int. J. Environ. Res. Public Health 2023, 20, 453. https://doi.org/10.3390/ijerph20010453
Ferri Marini C, Tadger P, Chávez-Guevara IA, Tipton E, Meucci M, Nikolovski Z, Amaro-Gahete FJ, Peric R. Factors Determining the Agreement between Aerobic Threshold and Point of Maximal Fat Oxidation: Follow-Up on a Systematic Review and Meta-Analysis on Association. International Journal of Environmental Research and Public Health. 2023; 20(1):453. https://doi.org/10.3390/ijerph20010453
Chicago/Turabian StyleFerri Marini, Carlo, Philippe Tadger, Isaac Armando Chávez-Guevara, Elizabeth Tipton, Marco Meucci, Zoran Nikolovski, Francisco Jose Amaro-Gahete, and Ratko Peric. 2023. "Factors Determining the Agreement between Aerobic Threshold and Point of Maximal Fat Oxidation: Follow-Up on a Systematic Review and Meta-Analysis on Association" International Journal of Environmental Research and Public Health 20, no. 1: 453. https://doi.org/10.3390/ijerph20010453
APA StyleFerri Marini, C., Tadger, P., Chávez-Guevara, I. A., Tipton, E., Meucci, M., Nikolovski, Z., Amaro-Gahete, F. J., & Peric, R. (2023). Factors Determining the Agreement between Aerobic Threshold and Point of Maximal Fat Oxidation: Follow-Up on a Systematic Review and Meta-Analysis on Association. International Journal of Environmental Research and Public Health, 20(1), 453. https://doi.org/10.3390/ijerph20010453

