Walking Attenuates Postprandial Glycemic Response: What Else Can We Do without Leaving Home or the Office?
Abstract
1. Introduction
2. Materials and Methods
2.1. Participants
2.2. Overview
2.3. Pre-session Procedures
2.4. Meal Consumption
2.5. Study 1—Experimental Conditions
2.6. Study 2—Experimental Conditions
2.7. Glycemic Assessment
2.8. Exercise-Related Measures
2.9. Statistical Analysis
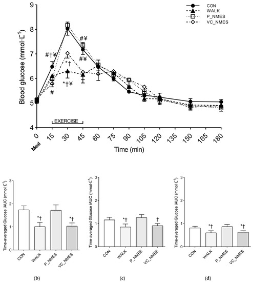
3. Results
3.1. Study 1
3.2. Study 2
4. Discussion
5. Conclusions
Author Contributions
Funding
Institutional Review Board Statement
Informed Consent Statement
Data Availability Statement
Conflicts of Interest
References
- Aqeel, M.; Forster, A.; Richards, E.; Hennessy, E.; McGowan, B.; Bhadra, A.; Guo, J.; Gelfand, S.; Delp, E.; Eicher-Miller, H. The Effect of Timing of Exercise and Eating on Postprandial Response in Adults: A Systematic Review. Nutrients 2020, 12, 221. [Google Scholar] [CrossRef] [PubMed]
- Bellini, A.; Nicolò, A.; Bazzucchi, I.; Sacchetti, M. Effects of Different Exercise Strategies to Improve Postprandial Glycemia in Healthy Individuals. Med. Sci. Sport. Exerc. 2021, 53, 1334–1344. [Google Scholar] [CrossRef] [PubMed]
- Bellini, A.; Nicolò, A.; Bazzucchi, I.; Sacchetti, M. The Effects of Postprandial Walking on the Glucose Response after Meals with Different Characteristics. Nutrients 2022, 14, 1080. [Google Scholar] [CrossRef] [PubMed]
- Bellini, A.; Nicolò, A.; Bulzomì, R.; Bazzucchi, I.; Sacchetti, M. The Effect of Different Postprandial Exercise Types on Glucose Response to Breakfast in Individuals with Type 2 Diabetes. Nutrients 2021, 13, 1440. [Google Scholar] [CrossRef] [PubMed]
- Chacko, E. Exercising Tactically for Taming Postmeal Glucose Surges. Scientifica 2016, 2016, 1–10. [Google Scholar] [CrossRef]
- Haxhi, J.; Scotto di Palumbo, A.; Sacchetti, M. Exercising for Metabolic Control: Is Timing Important. Ann. Nutr. Metab. 2013, 62, 14–25. [Google Scholar] [CrossRef]
- Heden, T.D.; Winn, N.C.; Mari, A.; Booth, F.W.; Rector, R.S.; Thyfault, J.P.; Kanaley, J.A. Postdinner Resistance Exercise Improves Postprandial Risk Factors More Effectively than Predinner Resistance Exercise in Patients with Type 2 Diabetes. J. Appl. Physiol. 2015, 118, 624–634. [Google Scholar] [CrossRef]
- Sacchetti, M.; Haxhi, J.; Sgrò, P.; Scotto di Palumbo, A.; Nicolò, A.; Bellini, A.; Bazzucchi, I.; di Luigi, L. Effects of Exercise before and/or after a Mixed Lunch on Postprandial Metabolic Responses in Healthy Male Individuals. Eur. J. Nutr. 2021, 60, 3437–3447. [Google Scholar] [CrossRef]
- Yoko, N.; Hiroshi, Y.; Ying, J. Type and Timing of Exercise during Lunch Breaks for Suppressing Postprandial Increases in Blood Glucose Levels in Workers. J. Occup. Health 2021, 63, e12199. [Google Scholar] [CrossRef]
- Reynolds, A.; Venn, B. The Timing of Activity after Eating Affects the Glycaemic Response of Healthy Adults: A Randomised Controlled Trial. Nutrients 2018, 10, 1743. [Google Scholar] [CrossRef]
- Solomon, T.P.J.; Tarry, E.; Hudson, C.O.; Fitt, A.I.; Laye, M.J. Immediate Post-Breakfast Physical Activity Improves Interstitial Postprandial Glycemia: A Comparison of Different Activity-Meal Timings. Pflugers Arch. Eur. J. Physiol. 2020, 472, 271–280. [Google Scholar] [CrossRef] [PubMed]
- Zhang, X.; Wongpipit, W.; Sun, F.; Sheridan, S.; Huang, W.Y.J.; Sit, C.H.P.; Wong, S.H.S. Walking Initiated 20 Minutes before the Time of Individual Postprandial Glucose Peak Reduces the Glucose Response in Young Men with Overweight or Obesity: A Randomized Crossover Study. J. Nutr. 2021, 151, 866–875. [Google Scholar] [CrossRef] [PubMed]
- Achten, J.; Jeukendrup, A.E. Effects of Pre-Exercise Ingestion of Carbohydrate on Glycaemic and Insulinaemic Responses during Subsequent Exercise at Differing Intensities. Eur. J. Appl. Physiol. 2003, 88, 466–471. [Google Scholar] [CrossRef] [PubMed]
- Shambrook, P.; Kingsley, M.I.; Wundersitz, D.W.; Xanthos, P.D.; Wyckelsma, V.L.; Gordon, B.A. Glucose Response to Exercise in the Post-Prandial Period Is Independent of Exercise Intensity. Scand. J. Med. Sci. Sports 2018, 28, 939–946. [Google Scholar] [CrossRef]
- Mattin, L.; Yau, A.; McIver, V.; James, L.; Evans, G. The Effect of Exercise Intensity on Gastric Emptying Rate, Appetite and Gut Derived Hormone Responses after Consuming a Standardised Semi-Solid Meal in Healthy Males. Nutrients 2018, 10, 787. [Google Scholar] [CrossRef]
- Kohl, D.H.W. The Pandemic of Physical Inactivity: Global Action for Public Health. The Lancet. 2012, 380, 12. [Google Scholar] [CrossRef]
- Stockwell, S.; Trott, M.; Tully, M.; Shin, J.; Barnett, Y.; Butler, L.; McDermott, D.; Schuch, F.; Smith, L. Changes in Physical Activity and Sedentary Behaviours from before to during the COVID-19 Pandemic Lockdown: A Systematic Review. BMJ Open Sport Exerc. Med. 2021, 7, e000960. [Google Scholar] [CrossRef]
- MacDonald, C.S.; Ried-Larsen, M.; Soleimani, J.; Alsawas, M.; Lieberman, D.E.; Ismail, A.S.; Serafim, L.P.; Yang, T.; Prokop, L.; Joyner, M.; et al. A Systematic Review of Adherence to Physical Activity Interventions in Individuals with Type 2 Diabetes. Diabetes Metab. Res. Rev. 2021, 37, e3444. [Google Scholar] [CrossRef]
- Gallè, F.; Sabella, E.A.; Di Muzio, M.; Barchielli, B.; Da Molin, G.; Ferracuti, S.; Liguori, G.; Orsi, G.B.; Napoli, C. Capturing the Features of Physical Activity in Old Adults during the COVID-19 Pandemic: Results of an Italian Survey. IJERPH 2022, 19, 6868. [Google Scholar] [CrossRef]
- Finn, M.; Sherlock, M.; Feehan, S.; Guinan, E.M.; Moore, K.B. Adherence to Physical Activity Recommendations and Barriers to Physical Activity Participation among Adults with Type 1 Diabetes. Ir. J. Med. Sci. 2022, 191, 1639–1646. [Google Scholar] [CrossRef]
- Drummond, K.; Bennett, R.; Gibbs, J.; Wei, R.; Hu, W.; Tardio, V.; Gagnon, C.; Berger, C.; Morin, S.N. Perceptions of Fracture and Fall Risk and of the Benefits and Barriers to Exercise in Adults with Diabetes. Osteoporos. Int. 2022, 33, 2563–2573. [Google Scholar] [CrossRef]
- Nikolajsen, H.; Sandal, L.F.; Juhl, C.B.; Troelsen, J.; Juul-Kristensen, B. Barriers to, and Facilitators of, Exercising in Fitness Centres among Adults with and without Physical Disabilities: A Scoping Review. IJERPH 2021, 18, 7341. [Google Scholar] [CrossRef]
- Martin, C.G.; Pomares, M.L.; Muratore, C.M.; Avila, P.J.; Apoloni, S.B.; Rodríguez, M.; Gonzalez, C.D. Level of Physical Activity and Barriers to Exercise in Adults with Type 2 Diabetes. AIMS Public Health 2021, 8, 229–239. [Google Scholar] [CrossRef]
- Holzer, R.; Schulte-Körne, B.; Seidler, J.; Predel, H.-G.; Brinkmann, C. Effects of Acute Resistance Exercise with and without Whole-Body Electromyostimulation and Endurance Exercise on the Postprandial Glucose Regulation in Patients with Type 2 Diabetes Mellitus: A Randomized Crossover Study. Nutrients 2021, 13, 4322. [Google Scholar] [CrossRef]
- Miyamoto, T.; Fukuda, K.; Kimura, T.; Matsubara, Y.; Tsuda, K.; Moritani, T. Effect of Percutaneous Electrical Muscle Stimulation on Postprandial Hyperglycemia in Type 2 Diabetes. Diabetes Res. Clin. Pract. 2012, 96, 306–312. [Google Scholar] [CrossRef]
- Guzmán-González, M.B.; Llanos, M.P.; Calatayud, D.J.; Maffiuletti, D.N.A.; Cruz-Montecinos, M.C. The Effect of Neuromuscular Electrical Stimulation Frequency on Postprandial Glycemia, Current-Related Discomfort, and Muscle Soreness. A Crossover Study. Appl. Physiol. Nutr. Metab. 2019, 44, 834–839. [Google Scholar] [CrossRef]
- Bull, F.C.; Al-Ansari, S.S.; Biddle, S.; Borodulin, K.; Buman, M.P.; Cardon, G.; Carty, C.; Chaput, J.-P.; Chastin, S.; Chou, R.; et al. World Health Organization 2020 Guidelines on Physical Activity and Sedentary Behaviour. Br. J. Sports Med. 2020, 54, 1451–1462. [Google Scholar] [CrossRef]
- King, D.S.; Baldus, P.J.; Sharp, R.L.; Kesl, L.D.; Feltmeyer, T.L.; Riddle, M.S. Time Course for Exercise-Induced Alterations in Insulin Action and Glucose Tolerance in Middle-Aged People. J. Appl. Physiol. 1995, 78, 17–22. [Google Scholar] [CrossRef]
- Aguiar, E.J.; Gould, Z.R.; Ducharme, S.W.; Moore, C.C.; McCullough, A.K.; Tudor-Locke, C. Cadence-Based Classification of Minimally Moderate Intensity During Overground Walking in 21- to 40-Year-Old Adults. J. Phys. Act. Health 2019, 16, 1092–1097. [Google Scholar] [CrossRef]
- Tudor-Locke, C.; Aguiar, E.J.; Han, H.; Ducharme, S.W.; Schuna, J.M.; Barreira, T.V.; Moore, C.C.; Busa, M.A.; Lim, J.; Sirard, J.R.; et al. Walking Cadence (Steps/Min) and Intensity in 21–40 Year Olds: CADENCE-Adults. Int. J. Behav. Nutr. Phys. Act. 2019, 16, 8. [Google Scholar] [CrossRef]
- Bazzucchi, I.; De Vito, G.; Felici, F.; Dewhurst, S.; Sgadari, A.; Sacchetti, M. Effect of Exercise Training on Neuromuscular Function of Elbow Flexors and Knee Extensors of Type 2 Diabetic Patients. J. Electromyogr. Kinesiol. 2015, 25, 815–823. [Google Scholar] [CrossRef]
- Olsen, D.B.; Sacchetti, M.; Dela, F.; Ploug, T.; Saltin, B. Glucose Clearance Is Higher in Arm than Leg Muscle in Type 2 Diabetes: Glucose Clearance in Arm and Leg Muscles. J. Physiol. 2005, 565, 555–562. [Google Scholar] [CrossRef]
- Orlando, G.; Balducci, S.; Bazzucchi, I.; Pugliese, G.; Sacchetti, M. Muscle Fatigability in Type 2 Diabetes: Muscle Fatigue in T2D. Diabetes Metab. Res. Rev. 2017, 33, e2821. [Google Scholar] [CrossRef]
- Sacchetti, M.; Olsen, D.B.; Saltin, B.; van Hall, G. Heterogeneity in Limb Fatty Acid Kinetics in Type 2 Diabetes. Diabetologia 2005, 48, 938–945. [Google Scholar] [CrossRef]
- Sacchetti, M.; Balducci, S.; Bazzucchi, I.; Carlucci, F.; Di Palumbo, A.S.; Haxhi, J.; Conti, F.; Di Biase, N.; Calandriello, E.; Pugliese, G. Neuromuscular Dysfunction in Diabetes: Role of Nerve Impairment and Training Status. Med. Sci. Sport. Exerc. 2013, 45, 52–59. [Google Scholar] [CrossRef]
- Klonoff, D.C.; Parkes, J.L.; Kovatchev, B.P.; Kerr, D.; Bevier, W.C.; Brazg, R.L.; Christiansen, M.; Bailey, T.S.; Nichols, J.H.; Kohn, M.A. Investigation of the Accuracy of 18 Marketed Blood Glucose Monitors. Diabetes Care 2018, 41, 1681–1688. [Google Scholar] [CrossRef]
- Klaff, L.J.; Brazg, R.; Hughes, K.; Tideman, A.M.; Schachner, H.C.; Stenger, P.; Pardo, S.; Dunne, N.; Parkes, J.L. Accuracy Evaluation of Contour Next Compared with Five Blood Glucose Monitoring Systems Across a Wide Range of Blood Glucose Concentrations Occurring in a Clinical Research Setting. Diabetes Technol. Ther. 2015, 17, 8–15. [Google Scholar] [CrossRef]
- Monnier, L. Is Postprandial Glucose a Neglected Cardiovascular Risk Factor in Type 2 Diabetes?: Postprandial Glucose. Eur. J. Clin. Investig. 2000, 30, 3–11. [Google Scholar] [CrossRef]
- Narang, B.J.; Atkinson, G.; Gonzalez, J.T.; Betts, J.A. A Tool to Explore Discrete-Time Data: The Time Series Response Analyser. Int. J. Sport Nutr. Exerc. Metab. 2020, 30, 374–381. [Google Scholar] [CrossRef]
- Cohen, J. Statistical Power Analysis for the Behavioral Sciences, 2nd ed.; L. Erlbaum Associates: Hillsdale, NJ, USA, 1988; ISBN 978-0-8058-0283-2. [Google Scholar]
- Teo, S.Y.M.; Kanaley, J.A.; Guelfi, K.J.; Cook, S.B.; Hebert, J.J.; Forrest, M.R.L.; Fairchild, T.J. Exercise Timing in Type 2 Diabetes Mellitus: A Systematic Review. Med. Sci. Sport. Exerc. 2018, 50, 2387–2397. [Google Scholar] [CrossRef]
- Nygaard, H.; Tomten, S.E.; Høstmark, A.T. Slow Postmeal Walking Reduces Postprandial Glycemia in Middle-Aged Women. Appl. Physiol. Nutr. Metab. 2009, 34, 1087–1092. [Google Scholar] [CrossRef] [PubMed]
- Lunde, M.S.H.; Hjellset, V.T.; Høstmark, A.T. Slow Post Meal Walking Reduces the Blood Glucose Response: An Exploratory Study in Female Pakistani Immigrants. J Immigr. Minor. Health 2012, 14, 816–822. [Google Scholar] [CrossRef] [PubMed]
- Moore, J.; Salmons, H.; Vinoskey, C.; Kressler, J. A Single One-Minute, Comfortable Paced, Stair-Climbing Bout Reduces Postprandial Glucose Following a Mixed Meal. Nutr. Metab. Cardiovasc. Dis. 2020, 30, 1967–1972. [Google Scholar] [CrossRef] [PubMed]
- Humphreys, P.W.; Lind, A.R. The Blood Flow through Active and Inactive Muscles of the Forearm during Sustained Hand-Grip Contractions. J. Physiol. 1963, 166, 120–135. [Google Scholar] [CrossRef] [PubMed]
- Laaksonen, M.S.; Kalliokoski, K.K.; Kyröläinen, H.; Kemppainen, J.; Teräs, M.; Sipilä, H.; Nuutila, P.; Knuuti, J. Skeletal Muscle Blood Flow and Flow Heterogeneity during Dynamic and Isometric Exercise in Humans. Am. J. Physiol. -Heart Circ. Physiol. 2003, 284, H979–H986. [Google Scholar] [CrossRef]
- Sjøgaard, G.; Savard, G.; Juel, C. Muscle Blood Flow during Isometric Activity and Its Relation to Muscle Fatigue. Europ. J. Appl. Physiol. 1988, 57, 327–335. [Google Scholar] [CrossRef]






| Study 1 | Study 2 | |
|---|---|---|
| Sample Size (M/F) | 12 (5/7) | 11 (9/2) |
| Age (years) | 24 ± 3 | 27 ± 4 |
| Weight (kg) | 69 ± 15 | 70 ± 9 |
| Height (m) | 1.69 ± 0.10 | 1.76 ± 0.08 |
| BMI (kg/m2) | 23.9 ± 2.9 | 22.7 ± 2.1 |
| Study 1 | Study 2 | |
|---|---|---|
| Energy Intake (kcal) | 353.20 ± 81.63 | 378.32 ± 67.66 |
| Carbohydrate (g) | 69.56 ± 14.97 | 69.64 ± 9.80 |
| Protein (g) | 10.02 ± 4.06 | 13.36 ± 4.35 |
| Fat (g) | 3.85 ± 1.45 | 5.16 ± 1.72 |
| Carbohydrate (%) | 79.48 ± 4.00 | 74.51 ± 5.16 |
| Protein (%) | 11.16 ± 3.07 | 13.83 ± 3.09 |
| Fat (%) | 9.67 ± 2.25 | 11.97 ± 2.73 |
Disclaimer/Publisher’s Note: The statements, opinions and data contained in all publications are solely those of the individual author(s) and contributor(s) and not of MDPI and/or the editor(s). MDPI and/or the editor(s) disclaim responsibility for any injury to people or property resulting from any ideas, methods, instructions or products referred to in the content. |
© 2022 by the authors. Licensee MDPI, Basel, Switzerland. This article is an open access article distributed under the terms and conditions of the Creative Commons Attribution (CC BY) license (https://creativecommons.org/licenses/by/4.0/).
Share and Cite
Bellini, A.; Nicolò, A.; Rocchi, J.E.; Bazzucchi, I.; Sacchetti, M. Walking Attenuates Postprandial Glycemic Response: What Else Can We Do without Leaving Home or the Office? Int. J. Environ. Res. Public Health 2023, 20, 253. https://doi.org/10.3390/ijerph20010253
Bellini A, Nicolò A, Rocchi JE, Bazzucchi I, Sacchetti M. Walking Attenuates Postprandial Glycemic Response: What Else Can We Do without Leaving Home or the Office? International Journal of Environmental Research and Public Health. 2023; 20(1):253. https://doi.org/10.3390/ijerph20010253
Chicago/Turabian StyleBellini, Alessio, Andrea Nicolò, Jacopo Emanuele Rocchi, Ilenia Bazzucchi, and Massimo Sacchetti. 2023. "Walking Attenuates Postprandial Glycemic Response: What Else Can We Do without Leaving Home or the Office?" International Journal of Environmental Research and Public Health 20, no. 1: 253. https://doi.org/10.3390/ijerph20010253
APA StyleBellini, A., Nicolò, A., Rocchi, J. E., Bazzucchi, I., & Sacchetti, M. (2023). Walking Attenuates Postprandial Glycemic Response: What Else Can We Do without Leaving Home or the Office? International Journal of Environmental Research and Public Health, 20(1), 253. https://doi.org/10.3390/ijerph20010253

