The Impact of Residences and Roads on Wind Erosion in a Temperate Grassland Ecosystem: A Spatially Oriented Perspective
Abstract
1. Introduction
2. Materials and Methods
2.1. Study Area
2.2. Simulation of Wind Soil Loss
2.3. Data Analysis
3. Results
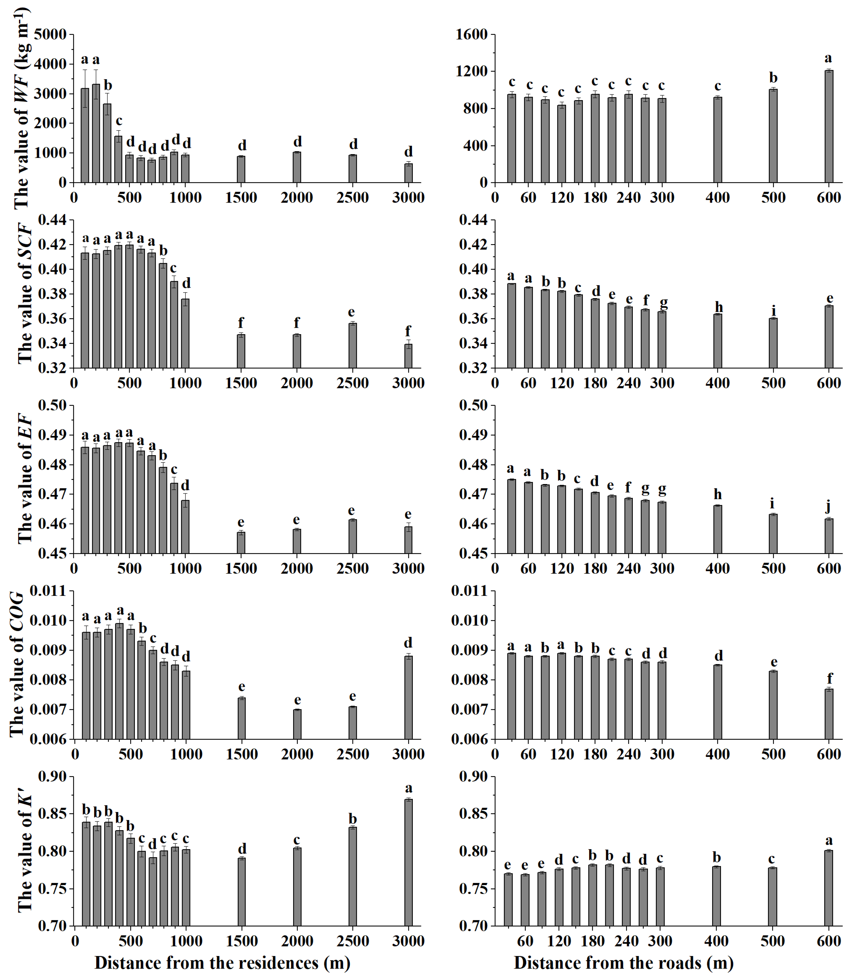
3.1. Wind Erosion of Residence and Road Buffer Zones
3.2. Wind Erosion Factors of The Residence and Road Buffer Zones
3.3. Wind Erosion of Different Residences and Road Classes
4. Discussion
4.1. The Influence of Residences on Wind Erosion
4.2. The Influence of Roads on Wind Erosion
4.3. The Significance of Considering Residences and Roads in Wind Erosion Evaluation
5. Conclusions
Author Contributions
Funding
Institutional Review Board Statement
Informed Consent Statement
Data Availability Statement
Acknowledgments
Conflicts of Interest
References
- Sardo, I.K.; Besalatpour, A.A.; Bashari, H.; Shirani, H.; Yildiz, Ö. A geographic information system-based land use impact model to map areas with risk for land degradation: Wind erosion as an example. Land Degrad. Dev. 2020, 31, 1110–1124. [Google Scholar] [CrossRef]
- Liu, J.; Wang, X.; Zhang, L.; Guo, Z.; Chang, C.; Du, H.; Wang, H.; Wang, R.; Li, J.; Li, Q. Regional potential wind erosion simulation using different models in the agro-pastoral ecotone of Northern China. Int. J. Environ. Res. Public Health 2022, 19, 9538. [Google Scholar] [CrossRef] [PubMed]
- Shi, P.; Yan, P.; Yuan, Y.; Nearing, M.A. Wind erosion research in China: Past, present and future. Prog. Phys. Geogr. 2004, 28, 366–386. [Google Scholar] [CrossRef]
- Wiggs, G.; Holmes, P. Dynamic controls on wind erosion and dust generation on west-central Free State agricultural land, South Africa. Earth Surf. Process. Landf. 2011, 36, 827–838. [Google Scholar] [CrossRef]
- Zhang, H.; Fan, J.; Cao, W.; Harris, W.; Li, Y.; Chi, W.; Wang, S. Response of wind erosion dynamics to climate change and human activity in Inner Mongolia, China during 1990 to 2015. Sci. Total Environ. 2018, 639, 1038–1045. [Google Scholar] [CrossRef] [PubMed]
- Du, H.; Zuo, X.; Li, S.; Wang, T.; Xue, X. Wind erosion changes induced by different grazing intensities in the desert steppe, Northern China. Agric. Ecosyst. Environ. 2019, 274, 1–13. [Google Scholar] [CrossRef]
- Cerovski-Darriau, C.; Roering, J.J. Influence of anthropogenic land-use change on hillslope erosion in the Waipaoa River Basin, New Zealand. Earth Surf. Process. Landf. 2016, 41, 2167–2176. [Google Scholar] [CrossRef]
- Uzun, O.; Kaplan, S.; Ince, K.; Basaran, M.; Erpul, G. Spatially and temporally assessing event-based wind erosion in adjacent plots of fallow and wheat cultivation in the Central Anatolia, Turkey. Arch. Agron. Soil Sci. 2020, 68, 1–15. [Google Scholar] [CrossRef]
- Zhang, Z.; Luo, J.; Chen, B. Spatially explicit quantification of total soil erosion by RTK GPS in wind and water eroded croplands. Sci. Total Environ. 2020, 702, 134716. [Google Scholar] [CrossRef]
- Hoffmann, C.; Funk, R.; Reiche, M.; Li, Y. Assessment of extreme wind erosion and its impacts in Inner Mongolia, China. Aeolian Res. 2011, 3, 343–351. [Google Scholar] [CrossRef]
- Pierre, C.; Bergametti, G.; Marticorena, B.; AbdourhamaneTouré, A.; Rajot, J.L.; Kergoat, L. Modeling wind erosion flux and its seasonality from a cultivated sahelian surface: A case study in Niger. Catena 2014, 122, 61–71. [Google Scholar] [CrossRef]
- Pi, H.; Webb, N.P.; Huggins, D.R.; Sharratt, B. Influence of physical crust cover on the wind erodibility of soils in the inland Pacific Northwest, USA. Earth Surf. Process. Landf. 2021, 46, 1445–1457. [Google Scholar] [CrossRef]
- Wang, L.; Xiao, Y.; Rao, E.; Jiang, L.; Xiao, Y.; Ouyang, Z. An assessment of the impact of urbanization on soil erosion in Inner Mongolia. Int. J. Environ. Res. Public Health 2018, 15, 550. [Google Scholar] [CrossRef] [PubMed]
- Zhang, D.; Wang, X.; Sun, H.; Feng, Z. HulunBuir sandy grassland blowouts: Influence of human activities. J. Desert Res. 2007, 27, 214–220, (In Chinese with English abstract). [Google Scholar]
- Zhao, L.; Fan, C.; Li, K. A review of soil erosion environment and soil and water loss for rural settlement. Sci. Soil Water Conserv. 2019, 17, 140–147, (In Chinese with English abstract). [Google Scholar]
- De Meyer, A.; Poesen, J.; Isabirye, M.; Deckers, J.; Raes, D. Soil erosion rates in tropical villages: A case study from Lake Victoria Basin, Uganda. Catena 2011, 84, 89–98. [Google Scholar] [CrossRef]
- Gan, Z.; Yue, D.; Gan, R.; Zha, X. Field survey on water erosion of rural settlements in the loess hilly-gully area of northern Shaanxi province. Acta Geogr. Sin. 2005, 60, 519–525, (In Chinese with English abstract). [Google Scholar]
- Pei, X. Study on Soil Erosion’s Effect by Rural Settlements and Its Protecting Strategies in the More Sediment and Coarse Sediment Region of Northern Shaanxi. Ph.D. Thesis, Shaanxi Normal University, Xi’an, 2005. (In Chinese with English Abstract). [Google Scholar]
- Goossens, D.; Buck, B. Effects of wind erosion, off-road vehicular activity, atmospheric conditions and the proximity of a metropolitan area on PM10 characteristics in a recreational site. Atmos. Environ. 2011, 45, 94–107. [Google Scholar] [CrossRef]
- Soukup, D.; Buck, B.; Goossens, D.; Ulery, A.; McLaurin, B.T.; Baron, D.; Teng, Y. Arsenic concentrations in dust emissions from wind erosion and off-road vehicles in the Nellis Dunes Recreational Area, Nevada, USA. Aeolian Res. 2012, 5, 77–89. [Google Scholar] [CrossRef]
- Wolfe, S.A.; Nickling, W.G. The protective role of sparse vegetation in wind erosion. Prog. Phys. Geogr. 1993, 17, 50–68. [Google Scholar] [CrossRef]
- Duniway, M.C.; Pfennigwerth, A.A.; Fick, S.E.; Nauman, T.W.; Belnap, J.; Barger, N.N. Wind erosion and dust from US drylands: A review of causes, consequences, and solutions in a changing world. Ecosphere 2019, 10, e02650. [Google Scholar] [CrossRef]
- Hai, C.; Zhao, Y.; Fu, J. Traffic land wind erosion study in agriculture and animal husbandry intercrossed zone of north China—A case at Donggou village of Datan town, Fengning county of Hebei province. Arid. Land Geogr. 2004, 27, 57–60, (In Chinese with English abstract). [Google Scholar]
- Wang, X.; Chow, J.C.; Kohl, S.D.; Yatavelli, L.N.R.; Percy, K.E.; Legge, A.H.; Watson, J.G. Wind erosion potential for fugitive dust sources in the Athabasca Oil Sands Region. Aeolian Res. 2015, 18, 121–134. [Google Scholar] [CrossRef]
- Wang, X.; Lei, J.; Jiang, J.; Qian, Y. Pattern of blown sand motion on longitudinal dune surface and its threat to linear engineering projects in Gurbantonggut desert, Xinjiang, China. Arid. Land Geogr. 2003, 26, 143–149, (In Chinese with English abstract). [Google Scholar]
- Shi, X.; Wang, K.; Warner, E.D.; Yu, D.; Wang, H.; Yang, R.; Liang, Y.; Shi, D. Relationship between soil erosion and distance to roadways in undeveloped areas of China. Catena 2008, 72, 305–313. [Google Scholar] [CrossRef]
- Yang, Q.; Jiang, Z.; Ma, Z.; Luo, W.; Xie, Y.; Cao, J. Relationship between karst rocky desertification and its distance to roadways in a typical karst area of Southwest China. Environ. Earth Sci. 2013, 70, 295–302. [Google Scholar] [CrossRef]
- Xiao, L.; Yang, X.; Cai, H. The Indirect roles of roads in soil erosion evolution in Jiangxi province, China: A large scale perspective. Sustainability 2017, 9, 129. [Google Scholar] [CrossRef]
- Funk, R.; Li, Y.; Hoffmann, C.; Reiche, M.; Zhang, Z.; Li, L.; Sommer, M. Using 137Cs to estimate wind erosion and dust deposition on grassland in Inner Mongolia-selection of a reference site and description of the temporal variability. Plant Soil 2012, 351, 293–307. [Google Scholar] [CrossRef]
- Hoffmann, C.; Funk, R.; Li, Y.; Sommer, M. Effect of grazing on wind driven carbon and nitrogen ratios in the grasslands of Inner Mongolia. Catena 2008, 75, 182–190. [Google Scholar] [CrossRef]
- IUSS Working Group WRB. World Reference Base for Soil Resources 2014; FAO: Rome, Italy, 2015. [Google Scholar]
- Zhou, Z.; Zhang, Z.; Zou, X.; Zhang, K.; Zhang, W. Quantifying wind erosion at landscape scale in a temperate grassland: Nonignorable influence of topography. Geomorphology 2020, 370, 107401. [Google Scholar] [CrossRef]
- Luo, J.; Zhang, Z.; Sun, C.; Liu, H. Influences of road and residence on wind erosion parameters in the Xilinguole grassland. Res. Soil Water Conserv. 2018, 25, 21–28, 33, (In Chinese with English Abstract). [Google Scholar]
- Fryrear, D.W.; Saleh, A.; Bilbro, J.D.; Schomberg, H.M.; Stout, J.E.; Zobeck, T.M. Revised Wind Erosion Equation (RWEQ), Technical Bulletin. 1; Wind Erosion and Water Conservation Research Unit, USDA-ARS, Southern Plains Area Cropping Systems Research Laboratory: Lubbcok, TX, USA, 1998. [Google Scholar]
- Hou, G.; Wang, J.; Layton, A. Numerical methods for fluid-structure interaction—A review. Commun. Comput. Phys. 2012, 12, 337–377. [Google Scholar] [CrossRef]
- Flouris, K.; Jimenez, M.M.; Munglani, G.; Wittel, F.K.; Debus, J.-D.; Herrmann, H.J. Fluid structure interaction with curved space lattice Boltzmann. Comput. Fluids. 2018, 168, 32–45. [Google Scholar] [CrossRef]
- Griffith, B.E.; Patankar, N.A. Immersed Methods for Fluid-Structure Interaction. Annu. Rev. Fluid Mech. 2020, 52, 421–448. [Google Scholar] [CrossRef] [PubMed]
- Batista, P.H.D.; de Almeida, G.L.P.; da Silva, J.L.B.; Lins, F.A.C.; da Silva, M.V.; Cordeiro, J.J.F. Hydro-physical properties of soil and pasture vegetation coverage under animal trampling. Rev. Bras. Eng. Agríc. Ambient. 2020, 24, 854–860. [Google Scholar] [CrossRef]
- Willatt, S.T.; Pullar, D.M. Changes in soil physical-properties under grazed pastures. Aust. J. Soil Res. 1984, 22, 343–348. [Google Scholar] [CrossRef]
- Koppe, E.; Rupollo, C.Z.; de Queiroz, R.; Puschmann, D.U.; Peth, S.; Reinert, D. Physical recovery of an oxisol subjected to four intensities of dairy cattle grazing. Soil Tillage Res. 2021, 206, 104813. [Google Scholar] [CrossRef]
- Li, C.; Hao, X.; Zhao, M.; Han, G.; Willms, W.D. Influence of historic sheep grazing on vegetation and soil properties of a Desert Steppe in Inner Mongolia. Agric. Ecosyst. Environ. 2008, 128, 109–116. [Google Scholar] [CrossRef]
- Li, J.; Shang, J.; Huang, D.; Tang, S.; Zhao, T.; Yang, X.; Zhang, Q.; Liu, K.; Shao, X. Grazing and cultivated grasslands cause different spatial redistributions of soil particles. Int. J. Environ. Res. Public Health 2019, 16, 2639. [Google Scholar] [CrossRef]
- Zou, X.; Zhang, Z.; Zhou, Z.; Qiu, Q.; Luo, J. Landscape-scale spatial variability of soil organic carbon content in a temperate grassland: Insights into the role of wind erosion. Catena 2021, 207, 105635. [Google Scholar] [CrossRef]
- Steffens, M.; Kölbl, A.; Totsche, K.U.; Kögel-Knabner, I. Grazing effects on soil chemical and physical properties in a semiarid steppe of Inner Mongolia (P.R. China). Geoderma 2008, 143, 63–72. [Google Scholar] [CrossRef]
- Rodway-Dyer, S.; Ellis, N. Combining remote sensing and on-site monitoring methods to investigate footpath erosion within a popular recreational heathland environment. J. Environ. Manage. 2018, 215, 68–78. [Google Scholar] [CrossRef] [PubMed]
- Meng, X.; Yan, P.; Wang, Z.; Dong, M.; Wang, Y. Dust emission by vehicle crushing on Gobi of Gansu, China. J. Desert Res. 2019, 39, 80–87, (In Chinese with English Abstract). [Google Scholar]
- Zhang, Z.; Wieland, R.; Reiche, M.; Funk, R.; Hoffmann, C.; Li, Y.; Sommer, M. Identifying sensitive areas to wind erosion in the Xilingele grassland by computational fluid dynamics modelling. Ecol. Inform. 2012, 8, 37–47. [Google Scholar] [CrossRef]
- Martín, B.; Ortega, E.; Otero, I.; Arce, R.M. Landscape character assessment with GIS using map-based indicators and photographs in the relationship between landscape and roads. J. Environ. Manage. 2016, 180, 324–334. [Google Scholar] [CrossRef]
- Gregory, J.M.; Wilson, G.R.; Singh, U.B.; Darwish, M.M. TEAM: Integrated, process-based wind-erosion model. Environ. Modell. Softw. 2004, 19, 205–215. [Google Scholar] [CrossRef]
- Wang, Y.; He, W.; Zhang, T.; Zhang, Y.; Cao, L. Adapting the WEPP hillslope model and the TLS technology to predict unpaved road soil erosion. Int. J. Environ. Res. Public Health 2022, 19, 9213. [Google Scholar] [CrossRef]






| Distances (m) | Percentage of Different Wind Erosion Intensities (%) | |||||
|---|---|---|---|---|---|---|
| < 2 t ha−1 yr−1 (Tolerable) | 2–25 t ha−1 yr−1 (Slight) | 25–50 t ha−1 yr−1 (Moderate) | 50–80 t ha−1 yr−1 (Severe) | 80–150 t ha−1 yr−1 (Very severe) | > 150 t ha−1 yr−1 (Destructive) | |
| 30 | 79.36 | 17.37 | 1.06 | 0.29 | 0.38 | 1.55 |
| 60 | 79.53 | 17.40 | 0.86 | 0.38 | 0.47 | 1.36 |
| 90 | 78.28 | 19.04 | 0.72 | 0.41 | 0.51 | 1.05 |
| 120 | 77.90 | 19.68 | 0.76 | 0.45 | 0.45 | 0.75 |
| 150 | 76.66 | 20.54 | 1.07 | 0.51 | 0.50 | 0.71 |
| 180 | 75.79 | 21.09 | 1.19 | 0.49 | 0.73 | 0.71 |
| 210 | 75.45 | 21.92 | 0.95 | 0.32 | 0.80 | 0.57 |
| 240 | 75.22 | 22.11 | 0.88 | 0.33 | 0.84 | 0.62 |
| 270 | 73.88 | 23.49 | 1.01 | 0.18 | 1.09 | 0.35 |
| 300 | 72.84 | 24.55 | 1.18 | 0.22 | 0.87 | 0.34 |
| 400 | 70.33 | 26.90 | 1.44 | 0.53 | 0.80 | 0.00 |
| 500 | 62.59 | 35.50 | 1.15 | 0.77 | 0.00 | 0.00 |
| 600 | 49.85 | 49.18 | 0.97 | 0.00 | 0.00 | 0.00 |
| Distances (m) | Percentage of Different Wind Erosion Intensities (%) | |||||
|---|---|---|---|---|---|---|
| <2 t ha−1 yr−1 (Tolerable) | 2–25 t ha−1 yr−1 (Slight) | 25–50 t ha−1 yr−1 (Moderate) | 50–80 t ha−1 yr−1 (Severe) | 80–150 t ha−1 yr−1 (Very severe) | >150 t ha−1 yr−1 (Destructive) | |
| 30 | 79.36 | 17.37 | 1.06 | 0.29 | 0.38 | 1.55 |
| 60 | 79.53 | 17.40 | 0.86 | 0.38 | 0.47 | 1.36 |
| 90 | 78.28 | 19.04 | 0.72 | 0.41 | 0.51 | 1.05 |
| 120 | 77.90 | 19.68 | 0.76 | 0.45 | 0.45 | 0.75 |
| 150 | 76.66 | 20.54 | 1.07 | 0.51 | 0.50 | 0.71 |
| 180 | 75.79 | 21.09 | 1.19 | 0.49 | 0.73 | 0.71 |
| 210 | 75.45 | 21.92 | 0.95 | 0.32 | 0.80 | 0.57 |
| 240 | 75.22 | 22.11 | 0.88 | 0.33 | 0.84 | 0.62 |
| 270 | 73.88 | 23.49 | 1.01 | 0.18 | 1.09 | 0.35 |
| 300 | 72.84 | 24.55 | 1.18 | 0.22 | 0.87 | 0.34 |
| 400 | 70.33 | 26.90 | 1.44 | 0.53 | 0.80 | 0.00 |
| 500 | 62.59 | 35.50 | 1.15 | 0.77 | 0.00 | 0.00 |
| 600 | 49.85 | 49.18 | 0.97 | 0.00 | 0.00 | 0.00 |
Disclaimer/Publisher’s Note: The statements, opinions and data contained in all publications are solely those of the individual author(s) and contributor(s) and not of MDPI and/or the editor(s). MDPI and/or the editor(s) disclaim responsibility for any injury to people or property resulting from any ideas, methods, instructions or products referred to in the content. |
© 2022 by the authors. Licensee MDPI, Basel, Switzerland. This article is an open access article distributed under the terms and conditions of the Creative Commons Attribution (CC BY) license (https://creativecommons.org/licenses/by/4.0/).
Share and Cite
Zhou, Z.; Zhang, Z.; Zhang, W.; Luo, J.; Zhang, K.; Cao, Z.; Wang, Z. The Impact of Residences and Roads on Wind Erosion in a Temperate Grassland Ecosystem: A Spatially Oriented Perspective. Int. J. Environ. Res. Public Health 2023, 20, 198. https://doi.org/10.3390/ijerph20010198
Zhou Z, Zhang Z, Zhang W, Luo J, Zhang K, Cao Z, Wang Z. The Impact of Residences and Roads on Wind Erosion in a Temperate Grassland Ecosystem: A Spatially Oriented Perspective. International Journal of Environmental Research and Public Health. 2023; 20(1):198. https://doi.org/10.3390/ijerph20010198
Chicago/Turabian StyleZhou, Zhuoli, Zhuodong Zhang, Wenbo Zhang, Jianyong Luo, Keli Zhang, Zihao Cao, and Zhiqiang Wang. 2023. "The Impact of Residences and Roads on Wind Erosion in a Temperate Grassland Ecosystem: A Spatially Oriented Perspective" International Journal of Environmental Research and Public Health 20, no. 1: 198. https://doi.org/10.3390/ijerph20010198
APA StyleZhou, Z., Zhang, Z., Zhang, W., Luo, J., Zhang, K., Cao, Z., & Wang, Z. (2023). The Impact of Residences and Roads on Wind Erosion in a Temperate Grassland Ecosystem: A Spatially Oriented Perspective. International Journal of Environmental Research and Public Health, 20(1), 198. https://doi.org/10.3390/ijerph20010198

