Impact of Oral Rinsing with Octenidine Based Solution on SARS-CoV-2 Loads in Saliva of Infected Patients an Exploratory Study
Abstract
:1. Introduction
2. Materials and Methods
2.1. Study Design, Ethics, and Patients
2.2. Sample Collection
2.3. Molecular Diagnostic
2.4. Cell Culture and Virus Isolation
2.5. Statistic
3. Results
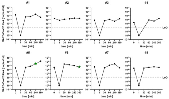
3.1. SARS-CoV-2 RNA Quantification
3.2. Infectivity of the Saliva Samples
4. Discussion
4.1. Based on the Study Results, the Null Hypotheses for the Primary Outcome (SARS-CoV-2 RNA Reduction of Less than 1 Log) by Oral Rinsing with OCT plus Phenoxyethanol Was Rejected
4.2. Limitations
5. Conclusions
Author Contributions
Funding
Institutional Review Board Statement
Informed Consent Statement
Conflicts of Interest
References
- Schijven, J.; Vermeulen, L.C.; Swart, A.; Meijer, A.; Duizer, E.; de Roda Husman, A.M. Quantitative Microbial Risk Assessment for Airborne Transmission of SARS-CoV-2 via Breathing, Speaking, Singing, Coughing, and Sneezing. Environ. Health Perspect. 2021, 129, 47002. [Google Scholar] [CrossRef] [PubMed]
- Jones, T.C.; Biele, G.; Muhlemann, B.; Veith, T.; Schneider, J.; Beheim-Schwarzbach, J.; Bleicker, T.; Tesch, J.; Schmidt, M.L.; Sander, L.E.; et al. Estimating infectiousness throughout SARS-CoV-2 infection course. Science 2021, 373, eabi5273. [Google Scholar] [CrossRef] [PubMed]
- Heinzerling, A.; Stuckey, M.J.; Scheuer, T.; Xu, K.; Perkins, K.M.; Resseger, H.; Magill, S.; Verani, J.R.; Jain, S.; Acosta, M.; et al. Transmission of COVID-19 to Health Care Personnel during Exposures to a Hospitalized Patient—Solano County, California, February 2020. MMWR Morb. Mortal. Wkly. Rep. 2020, 69, 472–476. [Google Scholar] [CrossRef] [PubMed] [Green Version]
- Kramer, A.; Eggers, M.; Hübner, N.O.; Walger, P.; Steinmann, E.; Exner, M. Virucidal gargling and virucidal nasal spray. GMS Hyg. Infect. Control 2021, 16, Doc02. [Google Scholar] [PubMed]
- Deutscher Arbeitskreis für Hygiene in der Zahnmedizin. SARS-COV-2/COVID-19—Risikomanagement in Zahnarztpraxen. DAHZ–Stellungnahme Corona 20.04.2020. Available online: http://dahz.org/wp-content/uploads/2020/04/DAHZ-Stellungnahme-Corona-20.04.2020.pdf (accessed on 20 April 2020).
- Peng, X.; Xu, X.; Li, Y.; Cheng, L.; Zhou, X.; Ren, B. Transmission routes of 2019-nCoV and controls in dental practice. Int. J. Oral Sci. 2020, 12, 9. [Google Scholar] [CrossRef] [PubMed]
- World Health Organization. Considerations for the Provision of Essential Oral Health Services in the Context of COVID-19: Interim Guidance. 3 August 2020. Available online: https://www.who.int/publications/i/item/who-2019-nCoV-oral-health-2020.1 (accessed on 6 April 2021).
- Koch-Heier, J.; Hoffmann, H.; Schindler, M.; Lussi, A.; Planz, O. Inactivation of SARS-CoV-2 through Treatment with the Mouth Rinsing Solutions ViruProX® and BacterX® Pro. Microorganisms 2021, 9, 521. [Google Scholar] [CrossRef] [PubMed]
- Meister, T.L.; Brüggemann, Y.; Todt, D.; Conzelmann, C.; Müller, J.A.; Groß, R.; Münch, J.; Krawczyk, A.; Steinmann, J.; Steinmann, J.; et al. Virucidal Efficacy of Different Oral Rinses against Severe Acute Respiratory Syndrome Coronavirus 2. J. Infect. Dis. 2020, 222, 1289–1292. [Google Scholar] [CrossRef] [PubMed]
- Steinhauer, K.; Meister, T.L.; Todt, D.; Krawczyk, A.; Paßvogel, L.; Becker, B.; Paulmann, D.; Bischoff, B.; Pfaender, S.; Brill, F.H.; et al. Comparison of the in-vitro efficacy of different mouthwash solutions targeting SARS-CoV-2 based on the European Standard EN 14476. J. Hosp. Infect. 2021, 111, 180–183. [Google Scholar] [CrossRef] [PubMed]
- Centers for Disease Control and Prevention. Interim Infection Prevention and Control Recommendations for Healthcare Personnel during the Coronavirus Disease 2019 (COVID-19) Pandemic. 2021. Available online: https://www.cdc.gov/coronavirus/2019-ncov/hcp/infection-control-recommendations.html#print (accessed on 8 April 2021).
- AWMF. S1-Leitlinie Umgang Mit Zahnmedizinischen Patienten Bei Belastung Mit Aerosol-Übertragbaren Erregern. Registernummer 083-046. 2020. Available online: https://www.awmf.org/leitlinien/detail/ll/083-046.html (accessed on 6 April 2021).
- AWMF. S2k-Leitlinie SARS-CoV-2, COVID-19 und (Früh-) Rehabilitation. Registernummer 080-008. 2020. Available online: https://www.awmf.org/leitlinien/detail/ll/080-008.html (accessed on 6 April 2021).
- Nörz, D.; Frontzek, A.; Eigner, U.; Oestereich, L.; Wichmann, D.; Kluge, S.; Fischer, N.; Aepfelbacher, M.; Pfefferle, S.; Lütgehetmann, M. Evaluation of linearity and clinical performance of the cobas 6800/8800 SARS-CoV-2 RT-PCR assay for reliable quantification in blood and other materials outside recommendations. J. Clin. Virol. 2020, 132, 104650. [Google Scholar] [CrossRef] [PubMed]
- Pfefferle, S.; Reucher, S.; Nörz, D.; Lütgehetmann, M. Evaluation of a quantitative RT-PCR assay for the detection of the emerging coronavirus SARS-CoV-2 using a high throughput system. Eurosurveillance 2020, 25, 2000152. [Google Scholar] [CrossRef] [PubMed] [Green Version]
- Brehm, T.T.; Pfefferle, S.; von Possel, R.; Kobbe, R.; Norz, D.; Schmiedel, S.; Grundhoff, A.; Olearo, F.; Emmerich, P.; Robitaille, A.; et al. SARS-CoV-2 Reinfection in a Healthcare Worker despite the Presence of Detectable Neutralizing Antibodies. Viruses 2021, 13, 661. [Google Scholar] [CrossRef] [PubMed]
- Martínez Lamas, L.; Diz Dios, P.; Pérez Rodríguez, M.T.; Del Campo Pérez, V.; Cabrera Alvargonzalez, J.J.; López Domínguez, A.M.; Feijoo, J.F.; Freitas, M.D.; Posse, J.L. Is povidone iodine mouthwash effective against SARS-CoV-2? First in vivo tests. Oral Dis. 2020, 28, 908–911. [Google Scholar] [CrossRef] [PubMed]
- Yoon, J.G.; Yoon, J.; Song, J.Y.; Yoon, S.Y.; Lim, C.S.; Seong, H.; Noh, J.Y.; Cheong, H.J.; Kim, W.J. Clinical Significance of a High SARS-CoV-2 Viral Load in the Saliva. J. Korean Med. Sci. 2020, 35, e195. [Google Scholar] [CrossRef] [PubMed]
- Mohamed, N.A.; Baharom, N.; Sulaiman, W.S.W.; Rashid, Z.Z.; Ken, W.K.; Ali, U.K.; Othman, S.N.; Samat, M.N.; Kori, N.; Periyasamy, P.; et al. Early viral clearance among COVID-19 patinets when gargling with povidone-iodine and essential oils-a clinical trial. medRxiv 2020. [Google Scholar] [CrossRef]


Publisher’s Note: MDPI stays neutral with regard to jurisdictional claims in published maps and institutional affiliations. |
© 2022 by the authors. Licensee MDPI, Basel, Switzerland. This article is an open access article distributed under the terms and conditions of the Creative Commons Attribution (CC BY) license (https://creativecommons.org/licenses/by/4.0/).
Share and Cite
Smeets, R.; Pfefferle, S.; Büttner, H.; Knobloch, J.K.; Lütgehetmann, M. Impact of Oral Rinsing with Octenidine Based Solution on SARS-CoV-2 Loads in Saliva of Infected Patients an Exploratory Study. Int. J. Environ. Res. Public Health 2022, 19, 5582. https://doi.org/10.3390/ijerph19095582
Smeets R, Pfefferle S, Büttner H, Knobloch JK, Lütgehetmann M. Impact of Oral Rinsing with Octenidine Based Solution on SARS-CoV-2 Loads in Saliva of Infected Patients an Exploratory Study. International Journal of Environmental Research and Public Health. 2022; 19(9):5582. https://doi.org/10.3390/ijerph19095582
Chicago/Turabian StyleSmeets, Ralf, Susanne Pfefferle, Henning Büttner, Johannes K. Knobloch, and Marc Lütgehetmann. 2022. "Impact of Oral Rinsing with Octenidine Based Solution on SARS-CoV-2 Loads in Saliva of Infected Patients an Exploratory Study" International Journal of Environmental Research and Public Health 19, no. 9: 5582. https://doi.org/10.3390/ijerph19095582
APA StyleSmeets, R., Pfefferle, S., Büttner, H., Knobloch, J. K., & Lütgehetmann, M. (2022). Impact of Oral Rinsing with Octenidine Based Solution on SARS-CoV-2 Loads in Saliva of Infected Patients an Exploratory Study. International Journal of Environmental Research and Public Health, 19(9), 5582. https://doi.org/10.3390/ijerph19095582

