Construction of the Short-Form Thai-Home Fall Hazard Assessment Tool (Thai-HFHAT-SF) and Testing Its Validity and Reliability in the Elderly
Abstract
:1. Introduction
2. Materials and Methods
2.1. Phase I
2.2. Phase II
2.3. Statistical Analysis
2.3.1. Phase I
2.3.2. Phase II
3. Results
3.1. Phase I
3.1.1. Results of Assumption Tests
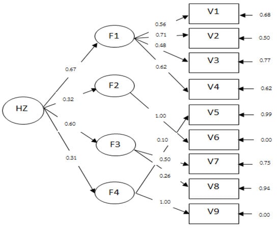
3.1.2. Results of the CFA
3.2. Phase II
3.2.1. Thai Home Falls Hazards Assessment Tool-Short Form (Thai-HFHAT-SF) Content Validity
3.2.2. Inter-Rater and Test–Retest Reliability
4. Discussion
5. Conclusions
Author Contributions
Funding
Institutional Review Board Statement
Informed Consent Statement
Data Availability Statement
Acknowledgments
Conflicts of Interest
References
- United Nations. Department of Economic and Social Affairs, Population Division (2013). In World Population Ageing 2013; ST/ESA/SER.A/348; United Nations: New York, NY, USA, 2014. [Google Scholar] [CrossRef]
- Department of Health. Fall Forecast Report for Older Adults (Aged 60 Years and Over) in Thailand, 2017–2021; Department of Health: Nonthaburi, Thailand, 2021; pp. 1–8.
- Assantachai, P. Preventive Medicine Guidelines Assessing Falls in the Elderly. Institute of Geriatric Medicine; Department of Medical Services, Ministry of Public Health: Nonthaburi, Thailand, 2008.
- Teerawatananon, Y. Anti-Fall Pills, a Guide to Preventing Falls in the Elderly; Foundation of Thai Gerontology Research and Development Institute: Bangkok, Thailand, 2014. [Google Scholar]
- Kallin, K.; Lundin-Olsson, L.; Jensen, J.; Nyberg, L.; Gustafson, Y. Predisposing and precipitating factors for falls among older people in residential care. Public Health 2002, 116, 263–271. [Google Scholar] [CrossRef]
- Pynoos, J.; Steinman, B.A.; Nguyen, A.Q. Environmental Assessment and Modification as Fall-Prevention Strategies for Older Adults. Clin. Geriatr. Med. 2010, 26, 633–644. [Google Scholar] [CrossRef] [PubMed]
- Romli, M.H.; MacKenzie, L.; Lovarini, M.; Tan, M.P.; Clemson, L. The Clinimetric Properties of Instruments Measuring Home Hazards for Older People at Risk of Falling: A Systematic Review. Eval. Health Prof. 2016, 41, 82–128. [Google Scholar] [CrossRef] [PubMed]
- Mehraban, A.H.; Mackenzie, L.A.; Byles, J.E. A self-report home environment screening tool identified older women at risk of falls. J. Clin. Epidemiol. 2011, 64, 191–199. [Google Scholar] [CrossRef] [PubMed]
- Lektip, C.; Rattananupong, T.; Sirisuk, K.; Suttanon, P.; Jiamjarasrangsi, W. Adaptation and evaluation of home fall risk assessment tools for the elderly in Thailand. Southeast Asian J. Trop. Med. Public Health 2020, 51, 65–76. [Google Scholar]
- Hair, J.F.; Black, W.C.; Babin, B.J.; Anderson, R.E. Multivar. Data Analysis, 7th ed.; Pearson: New York, NY, USA, 2010. [Google Scholar]
- Terwee, C.B.; Mokkink, L.B.; Knol, D.L.; Ostelo, R.; Bouter, L.; De Vet, H.C.W. Rating the methodological quality in systematic reviews of studies on measurement properties: A scoring system for the COSMIN checklist. Qual. Life Res. 2012, 21, 651–657. [Google Scholar] [CrossRef] [PubMed] [Green Version]
- Marx, R.G.; Menezes, A.; Horovitz, L.; Jones, E.C.; Warren, R.F. A comparison of two time intervals for test-retest reliability of health status instruments. J. Clin. Epidemiol. 2003, 56, 730–735. [Google Scholar] [CrossRef]
- Lynn, M.R. Determination and quantification of content validity. Nurs. Res. 1986, 35, 382–385. [Google Scholar] [CrossRef] [PubMed]
- Polit, D.F.; Beck, C.T. Essentials of Nursing Research: Appraising Evidence for Nursing Practice; Wolters Kluwer Health|Lippincott Williams & Wilkins: Philadelphia, PA, USA, 2014. [Google Scholar]
- Waltz, C.F.; Strickland, O.L.; Lenz, E.R.; Waltz, C.F. Measurement in Nursing and Health Research, 3rd ed.; Springer Publishing Company: New York, NY, USA, 2005. [Google Scholar]
- Koo, T.K.; Li, M.Y. A Guideline of Selecting and Reporting Intraclass Correlation Coefficients for Reliability Research. J. Chiropr. Med. 2016, 15, 155–163. [Google Scholar] [CrossRef] [PubMed] [Green Version]
- Milfont, T.L.; Duckitt, J. The structure of environmental attitudes: A first- and second-order confirmatory factor analysis. J. Environ. Psychol. 2004, 24, 289–303. [Google Scholar] [CrossRef]
- de Vaus, D.; de Vaus, D. Surveys in Social Research, 6th ed.; Routledge: London, UK, 2014. [Google Scholar] [CrossRef]
- Fisher, M.; King, J.; Tague, G. Development of a self-directed learning readiness scale for nursing education. Nurse Educ. Today 2001, 21, 516–525. [Google Scholar] [CrossRef] [PubMed] [Green Version]
- Vu, T.-V.; MacKenzie, L. The inter-rater and test-retest reliability of the Home Falls and Accidents Screening Tool. Aust. Occup. Ther. J. 2012, 59, 235–242. [Google Scholar] [CrossRef] [PubMed]
- Lilford, R.J.; Mohammed, M.A.; Braunholtz, D.; Hofer, T.P. The measurement of active errors: Methodological issues. Qual. Saf. Health Care 2003, 12, ii8–ii12. [Google Scholar] [CrossRef] [PubMed] [Green Version]
- Dionyssiotis, Y. Analyzing the problem of falls among older people. Int. J. Gen. Med. 2012, 5, 805–813. [Google Scholar] [CrossRef] [PubMed] [Green Version]
- Alzaabi, H.S.; Walton, L.M.; Arumugam, A. Association between demographic characteristics, lower limb range of motion, functional performance, ability to dual task, quality of life and risk of falls in older adults of the United Arab Emirates—A cross-sectional study. Heliyon 2022, 8, e08869. [Google Scholar] [CrossRef] [PubMed]
- Morgan, R.O.; DeVito, C.A.; Stevens, J.A.; Branche, C.M.; Virnig, B.A.; Wingo, P.A.; Sattin, R.W. A self-assessment tool was reliable in identifying hazards in the homes of elders. J. Clin. Epidemiol. 2005, 58, 1252–1259. [Google Scholar] [CrossRef] [PubMed]
- Lektip, C.; Lapmanee, S.; Rattananupong, T.; Lohsoonthorn, V.; Vorayingyong, A.; Woratanarat, T.; Sirisuk, K.-O.; Suttanon, P.; Petsirasan, R.; Kitidumrongsuk, P.; et al. Predictive validity of three home fall hazard assessment tools for older adults in Thailand. PLoS ONE 2020, 15, e0244729. [Google Scholar] [CrossRef]
- Romli, M.H.; MacKenzie, L.; Lovarini, M.; Tan, M.P.; Clemson, L. The interrater and test-retest reliability of the Home Falls and Accidents Screening Tool (HOME FAST) in Malaysia: Using raters with a range of professional backgrounds. J. Eval. Clin. Pract. 2017, 23, 662–669. [Google Scholar] [CrossRef]
- Tomita, M.R.; Saharan, S.; Rajendran, S.; Nochajski, S.M.; Schweitzer, J.A. Psychometrics of the Home Safety Self-Assessment Tool (HSSAT) to Prevent Falls in Community-Dwelling Older Adults. Am. J. Occup. Ther. 2014, 68, 711–718. [Google Scholar] [CrossRef] [PubMed] [Green Version]
- Hendrickson, A.R.; Massey, P.D.; Cronan, T.P. On the Test-Retest Reliability of Perceived Usefulness and Perceived Ease of Use Scales. MIS Q. 1993, 17, 227–230. [Google Scholar] [CrossRef]
- Kim, M.; Kim, S.; Won, C.W. Test-retest Reliability and Sensitivity to Change of a New Fall Risk Assessment System: A Pilot Study. Ann. Geriatr. Med. Res. 2018, 22, 80–87. [Google Scholar] [CrossRef] [PubMed]


| No | Factors | Items |
|---|---|---|
| F1 | Indoor area |
|
| F2 | Garage |
|
| F3 | Outdoor area |
|
| F4 | Risky spots/areas including pets | Stairs in the home |
| ||
| Pets | ||
|
| Characteristics | Elderly | Caregiver | VHV |
|---|---|---|---|
| n (%) | n (%) | n (%) | |
| Sex | |||
| Male | 19 (38.00) | 22 (44.00) | - |
| Female | 31 (62.00) | 28 (56.00) | 5 (100) |
| Mean (SD) age in years | 73.46 (6.70) | 58.62 (15.84) | 45.5 (6.18) |
| Mean (SD) BMI in kg/m2 | 22.29 (4.39) | 22.51 (3.70) | 22.33 (4.43) |
| Education level | |||
| Grades 1–3 | 42 (84.00) | 18 (36.00) | 1 (20.00) |
| >Grades 3 | 8 (16.00) | 32 (64.00) | 4 (80.00) |
| Marital status | |||
| No partner | 6 (12.00) | 6 (12.00) | 1 (20.00) |
| Have a partner | 44 (88.00) | 44 (88.00) | 4 (80.00) |
| Occupations | |||
| None | 13 (26.00) | 7 (14.00) | 0 (0.00) |
| Agriculture | 12 (24.00) | 22 (44.00) | 2 (40.00) |
| Housekeeper | 16 (32.00) | 6 (12.00) | 2 (40.00) |
| Personal business | 7 (14.00) | 7 (14.00) | 1 (20.00) |
| Official | 2 (4.00) | 3 (6.00) | 0 (0.00) |
| Others | 0 (0.00) | 5 (10.00) | 0 (0.00) |
| History of falling in the previous 6 months of the older person subjects | |||
| Yes | 14 (28.00) | - | - |
| No | 36 (72.00) | - | - |
| The cause of falling | |||
| Tripping | 8 (57.14) | - | - |
| Loss of balance | 5 (35.72) | - | - |
| Slip | 1 (7.14) | - | - |
| No | Groups | Items | I-CVI |
|---|---|---|---|
| 1 | Indoor area | The lighting is not suitable for activities | 1 |
| 2 | Slippery/unsmooth surface | 1 | |
| 3 | The steps in the room | 0.7 | |
| 4 | Cluttered objects or wires block the path | 1 | |
| 5 | Unused mat/rug/cloth not firmly attached to the floor | 1 | |
| 6 | Cabinets are too low or too high | 1 | |
| 7 | Cannot turn on the light from the bed | 1 | |
| 8 | Lying on the floor | 1 | |
| 9 | The bathroom is located outside the home | 1 | |
| 10 | No handrails in the bathroom | 1 | |
| 11 | No shower seat/shower chair | 0.7 | |
| 12 | Do not use the toilet/toilet bowl with hanging legs | 1 | |
| 13 | Garage | The lighting is not suitable for activities | 1 |
| 14 | Slippery/unsmooth surface | 1 | |
| 15 | The steps in the garage | 0.7 | |
| 16 | Cabinets are too low or too high | 1 | |
| 17 | Outdoor area | The lighting is not suitable for activities | 0.7 |
| 18 | The steps around the outdoor area | 1 | |
| 19 | The corridors around the home are not in good condition | 1 | |
| 20 | Slippery stair surface | 1 | |
| 21 | The stairs are too steep | 0.7 | |
| 22 | Lack of handrails/handrails are not strong | 1 | |
| 23 | Wearing inappropriate shoes | 0.7 | |
| 24 | Risky spots/ areas including pets | Slippery stair surface | 1 |
| 25 | Cluttered objects block the path | 1 | |
| 26 | The stairs are too steep | 0.7 | |
| 27 | Lack of handrails/handrails are not strong | 1 | |
| 28 | Having pets in the house that pose a risk of falls | 1 | |
| S-CVI | 0.9 | ||
Publisher’s Note: MDPI stays neutral with regard to jurisdictional claims in published maps and institutional affiliations. |
© 2022 by the authors. Licensee MDPI, Basel, Switzerland. This article is an open access article distributed under the terms and conditions of the Creative Commons Attribution (CC BY) license (https://creativecommons.org/licenses/by/4.0/).
Share and Cite
Lektip, C.; Lapmanee, S.; Petsirasan, R.; Chaipinyo, K.; Lektip, S.; Nawarat, J. Construction of the Short-Form Thai-Home Fall Hazard Assessment Tool (Thai-HFHAT-SF) and Testing Its Validity and Reliability in the Elderly. Int. J. Environ. Res. Public Health 2022, 19, 5187. https://doi.org/10.3390/ijerph19095187
Lektip C, Lapmanee S, Petsirasan R, Chaipinyo K, Lektip S, Nawarat J. Construction of the Short-Form Thai-Home Fall Hazard Assessment Tool (Thai-HFHAT-SF) and Testing Its Validity and Reliability in the Elderly. International Journal of Environmental Research and Public Health. 2022; 19(9):5187. https://doi.org/10.3390/ijerph19095187
Chicago/Turabian StyleLektip, Charupa, Sarawut Lapmanee, Rewwadee Petsirasan, Kanda Chaipinyo, Saifon Lektip, and Jiraphat Nawarat. 2022. "Construction of the Short-Form Thai-Home Fall Hazard Assessment Tool (Thai-HFHAT-SF) and Testing Its Validity and Reliability in the Elderly" International Journal of Environmental Research and Public Health 19, no. 9: 5187. https://doi.org/10.3390/ijerph19095187
APA StyleLektip, C., Lapmanee, S., Petsirasan, R., Chaipinyo, K., Lektip, S., & Nawarat, J. (2022). Construction of the Short-Form Thai-Home Fall Hazard Assessment Tool (Thai-HFHAT-SF) and Testing Its Validity and Reliability in the Elderly. International Journal of Environmental Research and Public Health, 19(9), 5187. https://doi.org/10.3390/ijerph19095187

