Childhood Maltreatment and Psychosocial Flourishing among Emerging Adults: Roles of Psychological Suzhi and Self-Esteem
Abstract
:1. Introduction
1.1. Psychological Suzhi as a Moderator
1.2. Self-Esteem as a Mediator
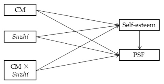
1.3. The Hypotheses of the Study
2. Method
2.1. Participants and Procedure
2.2. Measures
2.2.1. Childhood Maltreatment
2.2.2. Psychological Suzhi
2.2.3. Self-Esteem
2.2.4. Psychosocial Flourishing
2.3. Data Analysis
3. Results
3.1. Common Method Deviation Test
3.2. Preliminary Analysis
3.3. Testing for Mediated Moderation
4. Discussion
5. Conclusions
Author Contributions
Funding
Institutional Review Board Statement
Informed Consent Statement
Data Availability Statement
Conflicts of Interest
References
- Bernstein, D.P.; Stein, J.A.; Newcomb, M.D.; Walker, E.; Pogge, D.; Ahluvalia, T.; Stokes, J.; Handelsman, L.; Medrano, M.; Desmond, D.; et al. Development and validation of a brief screening version of the Childhood Trauma Questionnaire. Child Abus. Negl. 2003, 27, 169–190. [Google Scholar] [CrossRef]
- Arnett, J.J. Emerging Adulthood: What Is It, and What Is It Good For? Child Dev. Perspect. 2007, 1, 68–73. [Google Scholar] [CrossRef] [Green Version]
- Wu, Q.L.; Cao, H.J.; Lin, X.Y.; Zhou, N.; Chi, P.L. Child Maltreatment and Subjective Well-being in Chinese Emerging Adults: A Process Model Involving Self-esteem and Self-compassion. J. Interpers. Violence 2021. [Google Scholar] [CrossRef] [PubMed]
- Tarber, D.N.; Cohn, T.J.; Casazza, S.; Hastings, S.L.; Steele, J. The Role of Self-compassion in Psychological Well-being for Male Survivors of Childhood Maltreatment. Mindfulness 2016, 7, 1193–1202. [Google Scholar] [CrossRef]
- Arslan, G. Psychological maltreatment predicts decreases in social wellbeing through resilience in college students: A conditional process approach of positive emotions. Curr. Psychol. 2021. [Google Scholar] [CrossRef]
- Li, B.B.; Pan, Y.G.; Liu, G.Z.; Chen, W.F.; Lu, J.M.; Li, X. Perceived social support and self-esteem mediate the relationship between childhood maltreatment and psychosocial flourishing in Chinese undergraduate students. Child Youth Serv. Rev. 2020, 117, 105303. [Google Scholar] [CrossRef]
- Diener, E.; Wirtz, D.; Tov, W.; Kim-Prieto, C.; Choi, D.W.; Oishi, S.; Biswas-Diener, R. New Well-being Measures: Short Scales to Assess Flourishing and Positive and Negative Feelings. Soc. Indic. Res. 2010, 97, 143–156. [Google Scholar] [CrossRef]
- Kretschmer, T.; Veenstra, R.; Branje, S.; Reijneveld, S.A.; Meeus, W.H.J.; Dekovic, M.; Koot, H.M.; Vollebergh, W.A.M.; Oldehinkel, A.J. How Competent are Adolescent Bullying Perpetrators and Victims in Mastering Normative Developmental Tasks in Early Adulthood? J. Abnorm. Child Psychol. 2018, 46, 41–56. [Google Scholar] [CrossRef] [Green Version]
- Ellis, B.J.; Boyce, W.T.; Belsky, J.; Bakermans-Kranenburg, M.J.; van Ijzendoorn, M.H. Differential susceptibility to the environment: An evolutionary-neurodevelopmental theory. Dev. Psychopathol. 2011, 23, 7–28. [Google Scholar] [CrossRef] [Green Version]
- Masten, A.S.; Narayan, A.J. Child Development in the Context of Disaster, War, and Terrorism: Pathways of Risk and Resilience. Annu. Rev. Psychol. 2012, 63, 227–257. [Google Scholar] [CrossRef] [Green Version]
- Schetter, C.D.; Dolbier, C. Resilience in the Context of Chronic Stress and Health in Adults. Soc. Pers. Psychol. Compass 2011, 5, 634–652. [Google Scholar] [CrossRef] [PubMed] [Green Version]
- Zhang, D.J.; Feng, Z.Z.; Guo, C.; Chen, X. Problems on research of children’s psychological suzhi. J. Southwest Univ. (Soc. Sci. Ed.) 2000, 26, 56–62. (In Chinese) [Google Scholar]
- Zhang, D.J.; Zhang, J. Revision of college students’ Psychological Suzhi Questionnaire (simplified version) and Its Reliability and Validity Test. J. Southwest Univ. (Soc. Sci. Ed.) 2018, 44, 84–89. (In Chinese) [Google Scholar]
- Furlong, M.J.; Gilman, R.; Huebner, E.S. Handbook of Positive Psychology in Schools, 2nd ed.; Taylor & Francis: New York, NY, USA, 2014. [Google Scholar]
- Zhang, D.J.; Wang, X.Q. An analysis of the relationship between mental health and psychological suzhi: From the perspective of connotation and structure. J. Southwest Univ. (Soc. Sci. Ed.) 2012, 38, 69–74. (In Chinese) [Google Scholar]
- Wu, L.L.; Zhang, D.J.; Cheng, G.; Hu, T.Q. Bullying and Social Anxiety in Chinese Children: Moderating Roles of Trait Resilience and Psychological Suzhi. Child Abus. Negl. 2018, 76, 204–215. [Google Scholar] [CrossRef] [PubMed]
- Liu, G.Z.; Pan, Y.G.; Li, B.B.; Hou, X.L.; Zhang, D.J. The protective effect of psychological suzhi on the relationship between school climate and alcohol use among Chinese adolescents. Psychol. Res. Behav. Manag. 2019, 12, 307–315. [Google Scholar] [CrossRef] [Green Version]
- Wen, Z.L.; Chang, L.; Hau, K.T. Mediated Moderator and Moderated Mediator. Acta Psychol. Sin. 2006, 38, 448–452. (In Chinese) [Google Scholar]
- Huston, A.C.; Bentley, A.C. Human Development in Societal Context. Annu. Rev. Psychol. 2010, 61, 411–437. [Google Scholar] [CrossRef] [Green Version]
- Rosenberg, M. Society and the Adolescent Self-Image; Princeton University Press: Princeton, NJ, USA, 1965. [Google Scholar]
- Ryan, R.M.; Deci, E.L. Self-determination theory and the facilitation of intrinsic motivation, social development, and well-being. Am. Psychol. 2000, 55, 68–78. [Google Scholar] [CrossRef]
- Jiang, S. Psychological well-being and distress in adolescents: An investigation into associations with poverty, peer victimization, and self-esteem. Child Youth Serv. Rev. 2020, 111, 104824. [Google Scholar] [CrossRef]
- Lin, C.C. Gratitude and depression in young adults: The mediating role of self-esteem and well-being. Personal. Individ. Differ. 2015, 87, 30–34. [Google Scholar] [CrossRef]
- Xiang, Z.L.; Tan, S.; Kang, Q.; Zhang, B.S.; Zhu, L. Longitudinal Effects of Examination Stress on Psychological Well-Being and a Possible Mediating Role of Self-Esteem in Chinese High School Students. J. Happiness Stud. 2019, 20, 283–305. [Google Scholar] [CrossRef]
- Cong, X.B.; Tian, L.M.; Zhang, X.K. Self-esteem: The Core of Mental Health. J. Northeast Norm. Univ. 2005, 1, 144–148. (In Chinese) [Google Scholar]
- Yang, L.Z.; Zhang, L.H. On psychological significance of self-esteem. Psychol. Explor. 2003, 23, 10–12. (In Chinese) [Google Scholar]
- Fernandez-Garcia, M.P.; Vallejo-Seco, G.; Livacic-Rojas, P.; Tuero-Herrero, E. The (Ir)Responsibility of (Under)Estimating Missing Data. Front. Psychol. 2018, 9, 556. [Google Scholar] [CrossRef]
- Li, X.B.; Wang, Z.M.; Hou, Y.Z.; Wang, Y.; Liu, J.T.; Wang, C.Y. Effects of childhood trauma on personality in a sample of Chinese adolescents. Child Abus. Negl. 2014, 38, 788–796. [Google Scholar] [CrossRef]
- Wu, Q.L.; Chi, P.L.; Lin, X.Y.; Du, H.F. Child maltreatment and adult depressive symptoms: Roles of self-compassion and gratitude. Child Abus. Negl. 2018, 80, 62–69. [Google Scholar] [CrossRef]
- Yu, G.L.; Li, S.; Zhao, F.Q. Childhood maltreatment and prosocial behavior among Chinese adolescents: Roles of empathy and gratitude. Child Abus. Negl. 2020, 101, 104319. [Google Scholar] [CrossRef]
- Fu, W.Q.; Yao, S.Q.; Yu, H.H.; Zhao, X.F.; Li, R.; Li, Y.; Zhang, Y.Q. Initial reliability and validity of Childhood Trauma Questionnaire (CTQ-SF) applied in Chinese college students. J. Clin. Psychol. Med. Settings 2005, 1, 40–42. (In Chinese) [Google Scholar]
- Curran, P.J.; West, S.G.; Finch, J.F. The robustness of test statistics to nonnormality and specification error in confirmatory factor analysis. Psychol. Methods 1996, 1, 16–29. [Google Scholar] [CrossRef]
- Preacher, K.J.; Hayes, A.F. Asymptotic and resampling strategies for assessing and comparing indirect effects in multiple mediator models. Behav. Res. Methods 2008, 40, 879–891. [Google Scholar] [CrossRef] [PubMed]
- Hayes, A.F. Introduction to Mediation, Moderation, and Conditional Process Analysis: A Regression-Based Approach; The Guilford Press: New York, NY, USA, 2013. [Google Scholar]
- Frazier, P.A.; Tix, A.P.; Barron, K.E. Testing Moderator and Mediator Effects in Counseling Psychology Research. J. Couns. Psychol. 2004, 51, 115. [Google Scholar] [CrossRef]
- Podsakoff, P.M.; MacKenzie, S.B.; Lee, J.Y.; Podsakoff, N.P. Common method biases in behavioral research: A critical review of the literature and recommended remedies. J. Appl. Psychol. 2003, 88, 879–903. [Google Scholar] [CrossRef] [PubMed]
- Liu, G.Z.; Fang, L.Y.; Pan, Y.G.; Zhang, D.J. Media multitasking and adolescents’ sleep quality: The role of emotional behavioral problems and psychological suzhi. Child Youth Serv. Rev. 2019, 100, 415–421. [Google Scholar] [CrossRef]
- Carver, C.S.; Connor-Smith, J. Personality and Coping. Annu. Rev. Psychol. 2010, 61, 679–704. [Google Scholar] [CrossRef] [PubMed] [Green Version]
- Dong, Z.S.; Zhang, D.J. The Relationship between psychological Suzhi, emotion regulation strategies and life satisfaction among middle school students. J. Southwest Univ. (Soc. Sci. Ed.) 2015, 41, 99–103. (In Chinese) [Google Scholar]
- Liu, G.Z.; Zhang, D.J.; Pan, Y.G.; Chen, W.F.; Ma, Y.X. The relationship between middle school students’ psychological suzhi and peer relationship: The mediating role of self-esteem. Psychol. Sci. 2016, 39, 1290–1295. (In Chinese) [Google Scholar]
- Pan, Y.G.; Hu, Y.; Zhang, D.J.; Ran, G.M.; Li, B.B.; Liu, C.X.; Liu, G.Z.; Luo, S.L.; Chen, W.F. Parental and peer attachment and adolescents’ behaviors: The mediating role of psychological suzhi in a longitudinal study. Child Youth Serv. Rev. 2017, 83, 218–225. [Google Scholar] [CrossRef]
- Zhang, D.J.; Wang, J.L.; Yu, L. Methods and Implementary Strategies on Cultivating Students’ Psychological Suzhi; Nova Science Publishers: New York, NY, USA, 2011. [Google Scholar]
- Bajaj, B.; Gupta, R.; Pande, N. Self-esteem mediates the relationship between mindfulness and well-being. Pers. Individ. Differ. 2016, 94, 96–100. [Google Scholar] [CrossRef]
- Randal, C.; Pratt, D.; Bucci, S. Mindfulness and Self-esteem: A Systematic Review. Mindfulness 2015, 6, 1366–1378. [Google Scholar] [CrossRef]
- Pepping, C.A.; O’Donovan, A.; Davis, P.J. The positive effects of mindfulness on self-esteem. J. Posit. Psychol. 2013, 8, 376–386. [Google Scholar] [CrossRef]
- Menéndez, A.G.; García, P.F.; Viejo, I.T. Aceptación del dolor crónico en pacientes con bromialgia: Adaptación del Chronic Pain Acceptance Questionnaire (CPAQ) a una muestra española. Psicothema 2010, 22, 997–1003. [Google Scholar]




| Variable | Mean | SD | 1 | 2 | 3 | 4 |
|---|---|---|---|---|---|---|
| 1. CM | 31.50 | 7.04 | - | |||
| 2. Suzhi | 103.06 | 13.35 | −0.29 ** | - | ||
| 3. Self-esteem | 27.92 | 5.45 | −0.27 ** | 0.35 ** | - | |
| 4. PSF | 47.33 | 7.67 | −0.38 ** | 0.50 ** | 0.56 ** | - |
| Predictors | Equation (1) (PSF) | Equation (2) (Self-Esteem) | Equation (3) (PSF) | |||
|---|---|---|---|---|---|---|
| β | t | β | t | β | t | |
| CM | −0.23 | −14.08 *** | −0.17 | −8.93 *** | −0.17 | −11.13 *** |
| Suzhi | 0.42 | 26.37 *** | 0.30 | 16.76 *** | 0.30 | 20.14 *** |
| CM × Suzhi | 0.09 | 7.39 *** | 0.04 | 3.15 ** | 0.08 | 6.67 *** |
| Self-esteem | 0.40 | 26.61 *** | ||||
| R2 | 0.33 | 0.16 | 0.46 | |||
| F | 460.06 *** | 177.11 *** | 607.31 *** | |||
Publisher’s Note: MDPI stays neutral with regard to jurisdictional claims in published maps and institutional affiliations. |
© 2022 by the authors. Licensee MDPI, Basel, Switzerland. This article is an open access article distributed under the terms and conditions of the Creative Commons Attribution (CC BY) license (https://creativecommons.org/licenses/by/4.0/).
Share and Cite
Li, Z.; Pan, Y.; Liu, G.; Li, B.; Li, X. Childhood Maltreatment and Psychosocial Flourishing among Emerging Adults: Roles of Psychological Suzhi and Self-Esteem. Int. J. Environ. Res. Public Health 2022, 19, 4998. https://doi.org/10.3390/ijerph19094998
Li Z, Pan Y, Liu G, Li B, Li X. Childhood Maltreatment and Psychosocial Flourishing among Emerging Adults: Roles of Psychological Suzhi and Self-Esteem. International Journal of Environmental Research and Public Health. 2022; 19(9):4998. https://doi.org/10.3390/ijerph19094998
Chicago/Turabian StyleLi, Zewei, Yangu Pan, Guangzeng Liu, Bingbing Li, and Xu Li. 2022. "Childhood Maltreatment and Psychosocial Flourishing among Emerging Adults: Roles of Psychological Suzhi and Self-Esteem" International Journal of Environmental Research and Public Health 19, no. 9: 4998. https://doi.org/10.3390/ijerph19094998
APA StyleLi, Z., Pan, Y., Liu, G., Li, B., & Li, X. (2022). Childhood Maltreatment and Psychosocial Flourishing among Emerging Adults: Roles of Psychological Suzhi and Self-Esteem. International Journal of Environmental Research and Public Health, 19(9), 4998. https://doi.org/10.3390/ijerph19094998

