Economic Evaluation of Nemonoxacin, Moxifloxacin and Levofloxacin in the Treatment of Early Community-Acquired Pneumonia with Possible Pulmonary Tuberculosis
Abstract
1. Introduction
2. Materials and Methods
2.1. Source of Parameters
2.2. Model Structure
2.3. Model Assumptions
- That the success of treatment had occurred by the last day of the state.
- That the recurrence of CAP would have occurred by the 7th day after the initial treatment was effective.
- That the spread of tuberculosis and delayed treatment (9 days) were not considered to affect the treatment of patients with PTB.
- That the effect of minor adverse reactions on the utility value and the adverse reactions of the second-line treatment were not considered.
- That the effective rate of the second-line treatment of patients with recurrent CAP and the effective rate of PTB treatment was 100%.
- That the proportion of continued injection therapy after the initial treatment failure was the same as the rate of delay in the initial treatment failure.
- That relapsed patients with CAP were admitted to the hospital for second-line treatment.
- That patients with PTB relapsed after the CAP sequential treatment ended.
2.4. Transition Probability
2.5. Cost
2.6. Utility
2.7. Cost-Effectiveness Analysis
2.8. Sensitivity Analysis
2.9. Scenario Analysis
3. Results
3.1. Basic Analysis Results
3.2. Results of the Sensitivity Analysis
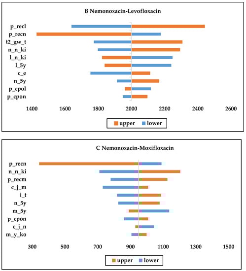
3.2.1. One-Way Sensitivity Analysis
3.2.2. Probabilistic Sensitivity Analysis
3.2.3. Scenario Analysis
4. Discussion
4.1. Literature Review
4.2. The Value of Nemonoxacin in CAP and in the Differential Diagnosis of PTB
4.3. Strengths and Limitations
5. Conclusions
Supplementary Materials
Author Contributions
Funding
Institutional Review Board Statement
Informed Consent Statement
Data Availability Statement
Conflicts of Interest
References
- Respiratory Medicine Branch of Chinese Medical Association. Guidelines for the diagnosis and treatment of community-acquired pneumonia in Chinese adults. Chin. J. Tuberc. Respir. Med. 2016, 39, 253–279. [Google Scholar]
- Welte, T.; Torres, A.; Nathwani, D. Clinical and economic burden of community-acquired pneumonia among adults in Europe. Thorax 2010, 67, 71–79. [Google Scholar] [CrossRef]
- Lozano, R.; Naghavi, M.; Foreman, K.; Lim, S.; Shibuya, K.; Aboyans, V.; Abraham, J.; Adair, T.; Aggarwal, R.; Ahn, S.Y.; et al. Global and regional mortality from 235 causes of death for 20 age groups in 1990 and 2010: A systematic analysis for the Global Burden of Disease Study 2010. Lancet 2012, 380, 2095–2128. [Google Scholar] [CrossRef]
- Jain, S.; Williams, D.J.; Arnold, S.R.; Ampofo, K.; Bramley, A.M.; Reed, C.; Stockmann, C.; Anderson, E.J.; Grijalva, C.G.; Self, W.H.; et al. Community-acquired pneumonia requiring hospitalization among U.S. children. N. Engl. J. Med. 2015, 372, 835–845. [Google Scholar] [CrossRef] [PubMed]
- Takaki, M.; Nakama, T.; Ishida, M.; Morimoto, H.; Nagasaki, Y.; Shiramizu, R.; Hamashige, N.; Chikamori, M.; Yoshida, L.; Ariyoshi, K.; et al. High Incidence of Community-Acquired Pneumonia among Rapidly Aging Population in Japan: A Prospective Hospital-Based Surveillance. Jpn. J. Infect. Dis. 2014, 67, 269–275. [Google Scholar] [CrossRef] [PubMed]
- Sun, Y.; Li, H.; Pei, Z.; Wang, S.; Feng, J.; Xu, L.; Gao, P.; Cao, B.; Zhan, S. Incidence of community-acquired pneumonia in urban China: A national population-based study. Vaccine 2020, 38, 8362–8370. [Google Scholar] [CrossRef]
- Radovanovic, D.; Sotgiu, G.; Jankovic, M.; Mahesh, P.A.; Marcos, P.J.; Abdalla, M.I.; Di Pasquale, M.F.; Gramegna, A.; Terraneo, S.; Blasi, F.; et al. An international perspective on hospitalized patients with viral community-acquired pneumonia. Eur. J. Intern. Med. 2019, 60, 54–70. [Google Scholar] [CrossRef]
- Jain, S.; Self, W.H.; Wunderink, R.G.; Fakhran, S.; Balk, R.; Bramley, A.M.; Reed, C.; Grijalva, C.G.; Anderson, E.J.; Courtney, M.; et al. Community-Acquired Pneumonia Requiring Hospitalization among U.S. Adults. N. Engl. J. Med. 2015, 373, 415–427. [Google Scholar] [CrossRef]
- Yunjing, Z.; Zeshuai, W.; Xinwei, D. Value of combined detection of PCT, WBC, and Th1/Th2 in the differential diagnosis of early community—Acquired pneumonia and tuberculosis. J. Clin. Exp. Med. 2021, 20, 1178–1181. [Google Scholar]
- Walker, T.M.; Miotto, P.; Köser, C.U.; Fowler, P.W.; Knaggs, J.; Iqbal, Z.; Hunt, M.; Chindelevitch, L.; Farhat, M.R.; Cirillo, D.M.; et al. The 2021 WHO catalogue of Mycobacterium tuberculosis complex mutations associated with drug resistance: A genotypic analysis. Lancet Microbe 2022, 3, e265–e273. [Google Scholar] [CrossRef]
- Song, J.-H.; Oh, W.S.; Kang, C.-I.; Chung, D.R.; Peck, K.R.; Ko, K.S.; Yeom, J.S.; Kim, C.K.; Kim, S.W.; Chang, H.-H.; et al. Epidemiology and clinical outcomes of community-acquired pneumonia in adult patients in Asian countries: A prospective study by the Asian network for surveillance of resistant pathogens. Int. J. Antimicrob. Agents 2008, 31, 107–114. [Google Scholar] [CrossRef] [PubMed]
- Qiu, X.; Li, L.; Xu, H.; Huang, W. Effect of fluoroquinolone treatment on the diagnosis of pulmonary tuberculosis:clinical analysis of 103cases of tuberculosis misdiagnosed as community-acquired pneumonia. Chin. J. Infect. Chemother. 2013, 13, 261–265. [Google Scholar]
- Wenjie, H.; Li, L. Should fluoroquanolones be the first-line empirical antibiotics in the treatment of community-acquired pneumonia in China: Right or not? Chin. J. Lung Dis. 2010, 3, 155–157. [Google Scholar]
- Min, H.; Xiaohua, Q. Nemonoxacin: A novel nonfluorinated quinolone antibiotic. Chin. J. Infect. Chemother. 2018, 18, 663–671. [Google Scholar]
- Tweed, C.D.; Wills, G.H.; Crook, A.M.; Amukoye, E.; Balanag, V.; Ban, A.Y.; Bateson, A.L.; Betteridge, M.C.; Brumskine, W.; Caoili, J.; et al. A partially randomised trial of pretomanid, moxifloxacin and pyrazinamide for pulmonary TB. Int. J. Tuberc. Lung Dis. 2021, 25, 305–314. [Google Scholar] [CrossRef]
- Laohapojanart, N.; Ratanajamit, C.; Kawkitinarong, K.; Srichana, T. Efficacy and safety of combined isoniazid-rifampicin-pyrazinamide-levofloxacin dry powder inhaler in treatment of pulmonary tuberculosis: A randomized controlled trial. Pulm. Pharmacol. Ther. 2021, 70, 102056. [Google Scholar] [CrossRef]
- Anzueto, A.; Niederman, M.S.; Pearle, J.; Restrepo, M.I.; Heyder, A.; Choudhri, S.H. Community-Acquired Pneumonia Recovery in the Elderly (CAPRIE): Efficacy and Safety of Moxifloxacin Therapy versus That of Levofloxacin Therapy. Clin. Infect. Dis. 2006, 42, 73–81. [Google Scholar] [CrossRef]
- Pliakos, E.E.; Andreatos, N.; Tansarli, G.S.; Ziakas, P.D.; Mylonakis, E. The Cost-Effectiveness of Corticosteroids for the Treatment of Community-Acquired Pneumonia. Chest 2019, 155, 787–794. [Google Scholar] [CrossRef]
- Friedman, H.; Song, X.; Crespi, S.; Navaratnam, P. Comparative Analysis of Length of Stay, Total Costs, and Treatment Success between Intravenous Moxifloxacin 400 mg and Levofloxacin 750 mg among Hospitalized Patients with Community-Acquired Pneumonia. Value Health 2009, 12, 1135–1143. [Google Scholar] [CrossRef][Green Version]
- Chen, L.; Zhou, F.; Li, H.; Xing, X.; Han, X.; Wang, Y.; Zhang, C.; Suo, L.; Wang, J.; Yu, G.; et al. Disease characteristics and management of hospitalised adolescents and adults with community-acquired pneumonia in China: A retrospective multicentre survey. BMJ Open 2018, 8, e018709. [Google Scholar] [CrossRef]
- Torres, A.; Garau, J.; Arvis, P.; Carlet, J.; Choudhri, S.; Kureishi, A.; Le Berre, M.; Lode, H.; Winter, J.; Read, R.C.; et al. Moxifloxacin Monotherapy Is Effective in Hospitalized Patients with Community-Acquired Pneumonia: The MOTIV Study—A Randomized Clinical Trial. Clin. Infect. Dis. 2008, 46, 1499–1509. [Google Scholar] [CrossRef] [PubMed]
- Nie, X.; Li, Y.; Yang, Z.; Wang, H.; Jin, S.; Jiao, Y.; Metersky, M.; Huang, Y. Initial empiric antibiotic therapy for community-acquired pneumonia in Chinese hospitals. Clin. Microbiol. Infect. 2018, 24, 658.e1–658.e6. [Google Scholar] [CrossRef] [PubMed]
- Du, X.; Han, Y.; Jian, Y.; Chen, L.; Xuan, J. Clinical Benefits and Cost-Effectiveness of Moxifloxacin as Initial Treatment for Community-Acquired Pneumonia: A Meta-Analysis and Economic Evaluation. Clin. Ther. 2021, 43, 1894–1909.e1. [Google Scholar] [CrossRef] [PubMed]
- Lapointe-Shaw, L.; Voruganti, T.; Kohler, P.; Thein, H.-H.; Sander, B.; McGeer, A. Cost-effectiveness analysis of universal screening for carbapenemase-producing Enterobacteriaceae in hospital inpatients. Eur. J. Clin. Microbiol. 2017, 36, 1047–1055. [Google Scholar] [CrossRef] [PubMed]
- Fekadu, G.; Jiang, X.; Yao, J.; You, J.H. Cost-effectiveness of video-observed therapy for ambulatory management of active tuberculosis during the COVID-19 pandemic in a high-income country. Int. J. Infect. Dis. 2021, 113, 271–278. [Google Scholar] [CrossRef] [PubMed]
- Chabala, C.; Turkova, A.; Thomason, M.J.; Wobudeya, E.; Hissar, S.; Mave, V.; van der Zalm, M.; Palmer, M.; Kapasa, M.; Bhavani, P.K.; et al. Shorter treatment for minimal tuberculosis (TB) in children (SHINE): A study protocol for a randomised controlled trial. Trials 2018, 19, 237. [Google Scholar] [CrossRef] [PubMed]
- Chinese Medical Association. Guidelines for primary care of pulmonary tuberculosis (2018). Chin. J. Gen. Pract. 2019, 18, 709–717. [Google Scholar]
- Machlaurin, A.; Dolk, F.C.K.; Setiawan, D.; Van Der Werf, T.S.; Postma, M.J. Cost-Effectiveness Analysis of BCG Vaccination against Tuberculosis in Indonesia: A Model-Based Study. Vaccines 2020, 8, 707. [Google Scholar] [CrossRef]
- Hamel, M.B.; Phillips, R.S.; Davis, R.B.; Teno, J.; Connors, A.F.; Desbiens, N.; Lynn, J.; Dawson, N.V.; Fulkerson, W.; Tsevat, J. Outcomes and cost-effectiveness of ventilator support and aggressive care for patients with acute respiratory failure due to pneumonia or acute respiratory distress syndrome. Am. J. Med. 2000, 109, 614–620. [Google Scholar] [CrossRef]
- Egger, M.E.; Myers, J.A.; Arnold, F.W.; Pass, L.A.; Ramirez, J.A.; Brock, G.N. Cost effectiveness of adherence to IDSA/ATS guidelines in elderly patients hospitalized for Community-Aquired Pneumonia. BMC Med. Inform. Decis. Mak. 2016, 16, 34. [Google Scholar] [CrossRef]
- Lim, V.W.; Wee, H.L.; Lee, P.; Lin, Y.; Tan, Y.R.; Tan, M.X.; Lin, L.W.; Yap, P.; Chee, C.B.; Barkham, T.; et al. Cross-sectional study of prevalence and risk factors, and a cost-effectiveness evaluation of screening and preventive treatment strategies for latent tuberculosis among migrants in Singapore. BMJ Open 2021, 11, e050629. [Google Scholar] [CrossRef] [PubMed]
- Guoen, L. Chinese Guidelines for Pharmacoeconomics Evaluation 2020; China Market Press: Beijing, China, 2020. [Google Scholar]
- Lloyd, A.; Holman, A.; Evers, T. A cost-minimisation analysis comparing moxifloxacin with levofloxacin plus ceftriaxone for the treatment of patients with community-acquired pneumonia in Germany: Results from the MOTIV trial. Curr. Med. Res. Opin. 2008, 24, 1279–1284. [Google Scholar] [CrossRef] [PubMed]
- Pliakos, E.E.; Ziakas, P.D.; Mylonakis, E. The Cost-effectiveness of Cefazolin Compared with Antistaphylococcal Penicillins for the Treatment of Methicillin-Sensitive Staphylococcus aureus Bacteremia. Open Forum Infect. Dis. 2021, 8, ofab476. [Google Scholar] [CrossRef] [PubMed]
- van Werkhoven, C.H.; Postma, D.F.; Mangen, M.J.; Oosterheert, J.J.; Bonten, M.J. Cost-effectiveness of antibiotic treatment strategies for community-acquired pneumonia: Results from a cluster randomized cross-over trial. BMC Infect. Dis. 2017, 17, 52. [Google Scholar] [CrossRef]




| Parameters | Mean | Range | Disturbution | Source |
|---|---|---|---|---|
| Clinical inputs | ||||
| Initial treatment effective rate (moxifloxacin) | 100% | 96–100% | beta | Phase II-III RCT |
| Initial treatment effective rate (levofloxacin) | 93% | 90–96% | beta | |
| Initial treatment effective rate (nemonoxacin) | 94% | 92–97% | beta | |
| Complete treatment efficiency (moxifloxacin) | 97% | —— | fixed | |
| Complete treatment efficiency (levofloxacin) | 87% | —— | fixed | |
| Complete treatment efficiency (nemonoxacin) | 93% | —— | fixed | |
| Sequential proportion of hospitalizations after successful initial treatment (moxifloxacin) | 87% | 83–91% | beta | [20], Physician survey |
| Sequential proportion of hospitalizations after successful initial treatment (levofloxacin) | 97% | 92–98% | beta | |
| Sequential proportion of hospitalizations after successful initial treatment (nemonoxacin) | 77% | 76–79% | beta | |
| Proportion of using original treatment after initial failure (moxifloxacin) | 91% | 86–96% | beta | [19], Physician survey |
| Proportion of using original treatment after initial failure (levofloxacin) | 86% | 82–90% | beta | |
| Proportion of using original treatment after initial failure (nemonoxacin) | 93% | 89–98% | beta | |
| Recurrence rate after effective initial treatment (moxifloxacin) | 3% | 3–4% | beta | Calculate |
| Recurrence rate after effective initial treatment (levofloxacin) | 8% | 6–10% | beta | |
| Recurrence rate after effective initial treatment (nemonoxacin) | 2% | 1–4% | beta | |
| Initial treatment effect delay rate (moxifloxacin) | 91% | 86–96% | beta | [18], Physician survey |
| Initial treatment effect delay rate (levofloxacin) | 86% | 82–90% | beta | |
| Initial treatment effect delay rate (nemonoxacin) | 93% | 89–98% | beta | |
| Proportion of general wards in second-line treatment | 91% | 86–96% | beta | [21] |
| ICU treatment mortality | 10% | 10–11% | beta | [22] |
| Proportion of PTB in CAP | 6% | 5–7% | beta | Physician survey |
| Cost/CNY | ||||
| Injection (moxifloxacin) | 127.22 | 175.33–230.12 | gamma | Local market b |
| Injection (levofloxacin) | 68.83 | 83.21–109.21 | gamma | |
| Injection (nemonoxacin) | 84.8 | 67.84–89.04 | gamma | |
| Sequential drug (moxifloxacin) | 3.94 | 3.15–4.14 | gamma | Local market b |
| Sequential drug (levofloxacin) | 2.6 | 2.08–2.73 | gamma | |
| Sequential drug (nemonoxacin) | 32.4 | 25.92–34.02 | gamma | |
| Initial treatment days | 5.0 | 4.0–6.0 | gamma | Physician survey |
| Sequential treatment days | 6.0 | 4.8–7.2 | gamma | |
| Daily cost of second-line therapy | 2233.76 | 1839.6–2414.48 | gamma | Local market b, [23] |
| Daily cost for second-line treatment inspection: Bronchoscopy | 1761 | 1672.95–1849.05 | gamma | [23] |
| Daily cost for second-line treatment inspection: NGS a | 3541.01 | 3363.95–3718.05 | gamma | |
| Additional cost during ICU | 4492.95 | 4268.31–4717.60 | gamma | |
| Hospital inspection fee for first-line treatment | 2205.13 | 2094.75–2315.25 | gamma | Physician survey |
| Daily cost of inpatient supplementary medication | 110.25 | 88.20–115.76 | gamma | |
| Daily cost of outpatient supplementary medication | 30.87 | 29.33–32.41 | gamma | |
| Total cost of inpatient bed | 55.13 | 52.37–57.89 | gamma | |
| Total cost of hospital care | 33.08 | 31.49–34.73 | gamma | |
| Total treatment cost of PTB | 5658.08 | 5375.18–5940.98 | gamma | [24] |
| Treatment cost of nemonoxacin injection AE c | 95.36 | 90.59–100.13 | gamma | Physician survey |
| Treatment cost of moxifloxacin injection AE c | 145.67 | 138.39–152.95 | gamma | |
| Treatment cost of levofloxacin injection AE c | 67.45 | 64.08–70.82 | gamma | |
| Treatment cost of levofloxacin capsules AE c | 64.83 | 61.59–68.07 | gamma | |
| Treatment cost of moxifloxacin capsules AE c | 45.99 | 43.69–48.29 | gamma | |
| Treatment cost of nemonoxacin capsules AE c | 84.38 | 80.16–88.60 | gamma | |
| Days of treatment using the original drug when initial treatment failed | 6 | 4.8–9.0 | gamma | |
| Second-line treatment days in general ward | 9.0 | 7.2–10.8 | gamma | [21] |
| Days of second-line treatment in ICU ward | 8.0 | 6.4–9.6 | gamma | [20] |
| Days of treatment after ICU transferred to general ward | 13.0 | 10.4–15.6 | gamma | [23], Physician survey |
| Days of hospitalization for PTB | 9.5 | 7.0–11.0 | gamma | [25,26,27] |
| Intensive treatment days for PTB outpatient | 50.5 | 49.0–53.0 | gamma | [25,26,27] |
| Consolidation treatment days for PTB outpatient | 120.0 | 114.0–126.0 | gamma | [27] |
| Utility | ||||
| Utility for initial injection therapy in patients with CAP | 0.56 (0.51–0.62) | 0.51–0.62 | beta | [28] |
| Utility for CAP outpatients with sequential treatment | 0.88 (0.79–0.97) | 0.79–0.97 | beta | [29] |
| Utility for CAP inpatients with sequential treatment | 0.82 (0.74–0.90) | 0.74–0.90 | beta | [30] |
| Utility for CAP patients in second-line general ward | 0.53 (0.48–0.58) | 0.48–0.58 | beta | [30] |
| Utility for CAP patients in ICU general ward | 0.3 (0.27–0.33) | 0.27–0.33 | beta | [30] |
| Utility for PTB outpatients | 0.83 (0.50–0.98) | 0.50–0.98 | beta | [31] |
| Utility for PTB inpatients | 0.59 (0.47–0.71) | 0.47–0.71 | beta | [31] |
| Utility for PTB patients without treatment | 0.68 (0.65–0.72) | 0.65–0.72 | beta | [28] |
| Basic Analysis | ||||||
|---|---|---|---|---|---|---|
| Treatment | Cost (CNY) | Cost for PTB Patients Misdiagnosed as CAP (CNY) | Utility (QALD) | Utility for PTB Patients Misdiagnosed as CAP (QALD) | ICER I | ICER II |
| Nemonoxacin | 5859.55 (USD 903.72) | 9374.67 ($1471.83) | 188.71 | 159.00 | —— | —— |
| Moxifloxacin | 6831.26 (USD 1053.59) | 11,226.50 ($1762.56) | 188.80 | 156.17 | 3546,742 (USD 551,642) | —— |
| Levofloxacin | 7858.78 (USD 1212.06) | 10,684.00 ($1677.39) | 188.51 | 156.17 | dominated | dominated |
| Scenario analysis (assuming proportion of misdiagnosed PTB in CAP patients is 0) | ||||||
| Nemonoxacin | 5635.18 (USD 884.72) | —— | 190.60 | —— | —— | —— |
| Moxifloxacin | 6550.71 (USD 1028.46) | —— | 190.69 | —— | 3940,823 (USD 607,795) | —— |
| Levofloxacin | 7678.45 (USD 1205.52) | —— | 190.37 | —— | dominated | dominated |
| Group | First-Line Injections and Sequential Drugs | Hospitalization for First- and Second-Line | Adverse Events | Second-Line Drugs | ICU Treatment | Tuberculosis Treatment | Total Cost |
|---|---|---|---|---|---|---|---|
| Nemonoxacin | 508.22 (USD 79.79) | 4168.05 (USD 654.38) | 174.6 (USD 27.41) | 630.33 (USD 98.96) | 38.86 (USD 6.10) | 339.48 (USD 53.30) | 5859.55 (USD 903.72) |
| Moxifloxacin | 667.94 (USD 104.87) | 4257.63 (USD 668.45) | 191.1 (USD 30.00) | 1364.64 (USD 214.25) | 10.47 (USD 1.64) | 339.48 (USD 53.30) | 6831.26 (USD 1053.59) |
| Levofloxacin | 380.21 (USD 59.69) | 4349.67 (USD 682.90) | 128.37 (USD 20.15) | 2582.84 (USD 405.51) | 78.2 (USD 12.28) | 339.48 (USD 53.30) | 7858.78 (USD 1212.06) |
Publisher’s Note: MDPI stays neutral with regard to jurisdictional claims in published maps and institutional affiliations. |
© 2022 by the authors. Licensee MDPI, Basel, Switzerland. This article is an open access article distributed under the terms and conditions of the Creative Commons Attribution (CC BY) license (https://creativecommons.org/licenses/by/4.0/).
Share and Cite
Zhao, M.; Chi, Z.; Pan, X.; Yin, Y.; Tang, W. Economic Evaluation of Nemonoxacin, Moxifloxacin and Levofloxacin in the Treatment of Early Community-Acquired Pneumonia with Possible Pulmonary Tuberculosis. Int. J. Environ. Res. Public Health 2022, 19, 4816. https://doi.org/10.3390/ijerph19084816
Zhao M, Chi Z, Pan X, Yin Y, Tang W. Economic Evaluation of Nemonoxacin, Moxifloxacin and Levofloxacin in the Treatment of Early Community-Acquired Pneumonia with Possible Pulmonary Tuberculosis. International Journal of Environmental Research and Public Health. 2022; 19(8):4816. https://doi.org/10.3390/ijerph19084816
Chicago/Turabian StyleZhao, Mingye, Zhuoyuan Chi, Xingming Pan, Yue Yin, and Wenxi Tang. 2022. "Economic Evaluation of Nemonoxacin, Moxifloxacin and Levofloxacin in the Treatment of Early Community-Acquired Pneumonia with Possible Pulmonary Tuberculosis" International Journal of Environmental Research and Public Health 19, no. 8: 4816. https://doi.org/10.3390/ijerph19084816
APA StyleZhao, M., Chi, Z., Pan, X., Yin, Y., & Tang, W. (2022). Economic Evaluation of Nemonoxacin, Moxifloxacin and Levofloxacin in the Treatment of Early Community-Acquired Pneumonia with Possible Pulmonary Tuberculosis. International Journal of Environmental Research and Public Health, 19(8), 4816. https://doi.org/10.3390/ijerph19084816

