Estimating the Bioaccumulation Potential of Hydrophobic Ultraviolet Stabilizers Using Experimental Partitioning Properties
Abstract
:1. Introduction
2. Materials and Methods
2.1. Materials and Chemicals
2.2. Partition Constants between PDMS and Water (KPDMSw)
2.3. n-Octanol-Water and Fish Oil–Water Partition Constants
2.4. Instrumental Analyses
3. Results
4. Discussion
5. Conclusions
Author Contributions
Funding
Institutional Review Board Statement
Informed Consent Statement
Data Availability Statement
Acknowledgments
Conflicts of Interest
References
- Kwon, J.H.; Chang, S.; Hong, S.H.; Shim, W.J. Microplastics as a vector of hydrophobic contaminants: Importance of hydrophobic additives. Integr. Environ. Assess. Manag. 2017, 13, 494–499. [Google Scholar] [CrossRef] [PubMed]
- Pfaendner, R. How will additives shape the future of plastics? Polym. Degrad. Stab. 2006, 91, 2249–2256. [Google Scholar] [CrossRef]
- Zhang, Z.; Ren, N.; Li, Y.-F.; Kunisue, T.; Gao, D.; Kannan, K. Determination of benzotriazole and benzophenone UV filters in sediment and sewage sludge. Environ. Sci. Technol. 2011, 45, 3909–3916. [Google Scholar] [CrossRef] [PubMed]
- Nakata, H.; Shinohara, R.-I.; Nakazawa, Y.; Isobe, T.; Sudaryanto, A.; Subramanian, A.; Tanabe, S.; Zakaria, M.P.; Zheng, G.J.; Lam, P.K. Asia–Pacific mussel watch for emerging pollutants: Distribution of synthetic musks and benzotriazole UV stabilizers in Asian and US coastal waters. Mar. Pollut. Bull. 2012, 64, 2211–2218. [Google Scholar] [CrossRef]
- Fent, K.; Chew, G.; Li, J.; Gomez, E. Benzotriazole UV-stabilizers and benzotriazole: Antiandrogenic activity in vitro and activation of aryl hydrocarbon receptor pathway in zebrafish eleuthero-embryos. Sci. Total Environ. 2014, 482, 125–136. [Google Scholar] [CrossRef]
- Apel, C.; Tang, J.; Ebinghaus, R. Environmental occurrence and distribution of organic UV stabilizers and UV filters in the sediment of Chinese Bohai and Yellow Seas. Environ. Pollut. 2018, 235, 85–94. [Google Scholar] [CrossRef]
- García-Guerra, R.B.; Montesdeoca-Esponda, S.; Sosa-Ferrera, Z.; Kabir, A.; Furton, K.G.; Santana-Rodríguez, J.J. Rapid monitoring of residual UV-stabilizers in seawater samples from beaches using fabric phase sorptive extraction and UHPLC-MS/MS. Chemosphere 2016, 164, 201–207. [Google Scholar] [CrossRef]
- Kim, J.-W.; Chang, K.-H.; Prudente, M.; Viet, P.H.; Takahashi, S.; Tanabe, S.; Kunisue, T.; Isobe, T. Occurrence of benzotriazole ultraviolet stabilizers (BUVSs) in human breast milk from three Asian countries. Sci. Total Environ. 2019, 655, 1081–1088. [Google Scholar] [CrossRef]
- Langford, K.H.; Reid, M.J.; Fjeld, E.; Øxnevad, S.; Thomas, K.V. Environmental occurrence and risk of organic UV filters and stabilizers in multiple matrices in Norway. Environ. Int. 2015, 80, 1–7. [Google Scholar] [CrossRef]
- Lu, Z.; de Silva, A.O.; Provencher, J.F.; Mallory, M.L.; Kirk, J.L.; Houde, M.; Stewart, C.; Braune, B.M.; Avery-Gomm, S.; Muir, D.C. Occurrence of substituted diphenylamine antioxidants and benzotriazole UV stabilizers in Arctic seabirds and seals. Sci. Total Environ. 2019, 663, 950–957. [Google Scholar] [CrossRef]
- Montesdeoca-Esponda, S.; Álvarez-Raya, C.; Torres-Padrón, M.E.; Sosa-Ferrera, Z.; Santana-Rodríguez, J.J. Monitoring and environmental risk assessment of benzotriazole UV stabilizers in the sewage and coastal environment of Gran Canaria (Canary Islands, Spain). J. Environ. Manag. 2019, 233, 567–575. [Google Scholar] [CrossRef]
- Montesdeoca-Esponda, S.; Vega-Morales, T.; Sosa-Ferrera, Z.; Santana-Rodríguez, J. Extraction and determination methodologies for benzotriazole UV stabilizers in personal-care products in environmental and biological samples. Trends Analyt. Chem. 2013, 51, 23–32. [Google Scholar] [CrossRef]
- Wick, A.; Jacobs, B.; Kunkel, U.; Heininger, P.; Ternes, T.A. Benzotriazole UV stabilizers in sediments, suspended particulate matter and fish of German rivers: New insights into occurrence, time trends and persistency. Environ. Pollut. 2016, 212, 401–412. [Google Scholar] [CrossRef]
- Apel, C.H. Organic UV Stabilizers in the Coastal and Marine Environment: European North and Baltic Seas Compared to Chinese Bohai and Yellow Seas; Staats-und Universitätsbibliothek Hamburg Carl von Ossietzky: Hamburg, Germany, 2019. [Google Scholar]
- ECHA. Candidate List of Substances of Very High Concern for Authorisation. 2022. Available online: https://echa.europa.eu/web/guest/candidate-list-table (accessed on 10 February 2022).
- ECHA. Community Rolling Action Plan (CoRAP): List of Substances. 2022. Available online: https://echa.europa.eu/information-on-chemicals/evaluation/community-rolling-action-plan/corap-table (accessed on 10 February 2022).
- Jabusch, T.W.; Swackhamer, D.L. Partitioning of polychlorinated biphenyls in octanol/water, triolein/water, and membrane/water systems. Chemosphere 2005, 60, 1270–1278. [Google Scholar] [CrossRef]
- Kwon, J.H.; Liljestrand, H.M.; Katz, L.E. Partitioning of moderately hydrophobic endocrine disruptors between water and synthetic membrane vesicles. Environ. Toxicol. Chem. Int. J. 2006, 25, 1984–1992. [Google Scholar] [CrossRef]
- Geisler, A.; Endo, S.; Goss, K.-U. Partitioning of organic chemicals to storage lipids: Elucidating the dependence on fatty acid composition and temperature. Environ. Sci. Technol. 2012, 46, 9519–9524. [Google Scholar] [CrossRef]
- OECD. HPV Database. 2022. Available online: https://hpvchemicals.oecd.org/UI/Search.aspx (accessed on 10 February 2022).
- OECD. The 2004 OECD List of High Production Volume Chemicals; Organisation for Economic Co-Operation and Development: Paris, France, 2004. [Google Scholar]
- OECD, QSAR Toolbox 4.4.1 (software). 2020. Available online: https://qsartoolbox.org (accessed on 11 February 2022).
- Birch, H.; Redman, A.D.; Letinski, D.J.; Lyon, D.Y.; Mayer, P. Determining the water solubility of difficult-to-test substances: A tutorial review. Anal. Chim. Acta 2019, 1086, 16–28. [Google Scholar] [CrossRef]
- Kwon, J.-H.; Wuethrich, T.; Mayer, P.; Escher, B.I. Dynamic permeation method to determine partition coefficients of highly hydrophobic chemicals between poly (dimethylsiloxane) and water. Anal. Chem. 2007, 79, 6816–6822. [Google Scholar] [CrossRef]
- Valkó, K. Application of high-performance liquid chromatography based measurements of lipophilicity to model biological distribution. J. Chromatogr. A 2004, 1037, 299–310. [Google Scholar] [CrossRef]
- Lee, H.; Shim, W.J.; Kwon, J.H. Sorption capacity of plastic debris for hydrophobic organic chemicals. Sci. Total Environ. 2014, 470–471, 1545–1552. [Google Scholar] [CrossRef]
- Groh, K.J.; Backhaus, T.; Carney-Almroth, B.; Geueke, B.; Inostroza, P.A.; Lennquist, A.; Leslie, H.A.; Maffini, M.; Slunge, D.; Trasande, L. Overview of known plastic packaging-associated chemicals and their hazards. Sci. Total Environ. 2019, 651, 3253–3268. [Google Scholar] [CrossRef]
- Schwarzenbach, R.P.; Gschwend, P.M.; Imboden, D.M. Environmental Organic Chemistry; John Wiley & Sons: Hoboken, NJ, USA, 2016. [Google Scholar]
- ECHA. Registration Dossier. 2022. Available online: https://echa.europa.eu/regulations/reach/substance-registration/the-registration-dossier (accessed on 15 February 2022).
- EPA. Exposure Assessment Tools and Models, Estimation Program Interface (EPI) Suite, V 4.11; US Environmental Protection Agency, Exposure Assessment Branch Washington DC: Washington, DC, USA, 2012.
- VCCL. ALOGPS 2.1 Program. 2022. Available online: http://www.vcclab.org (accessed on 10 February 2022).
- Wille, S.; Buggert, M.; Mokrushina, L.; Arlt, W.; Smirnova, I. Effect of Electrolytes on Octanol-Water Partition Coefficients: Calculations with COSMO-RS. Chem. Eng. Technol. 2010, 33, 1075–1082. [Google Scholar] [CrossRef]
- Van Leeuwen, C.J.; Vermeire, T.G. Risk Assessment of Chemicals: An Introduction; Springer Science & Business Media: Cham, Switzerland, 2007. [Google Scholar]
- Jonker, M.T. Determining octanol–water partition coefficients for extremely hydrophobic chemicals by combining “slow stirring” and solid-phase microextraction. Environ. Toxicol. Chem. 2016, 35, 1371–1377. [Google Scholar] [CrossRef]
- Tolls, J.; Bodo, K.; de Felip, E.; Dujardin, R.; Kim, Y.H.; Moeller-Jensen, L.; Mullee, D.; Nakajima, A.; Paschke, A.; Pawliczek, J.B. Slow-Stirring method for determining the n-octanol/water partition coefficient (pow) for highly hydrophobic chemicals: Performance evaluation in a ring test. Environ. Toxicol. Chem. Int. J. 2003, 22, 1051–1057. [Google Scholar] [CrossRef]
- Endo, S.; Mewburn, B.; Escher, B.I. Liposome and protein–water partitioning of polybrominated diphenyl ethers (PBDEs). Chemosphere 2013, 90, 505–511. [Google Scholar] [CrossRef]
- Gilbert, D.; Witt, G.; Smedes, F.; Mayer, P. Polymers as reference partitioning phase: Polymer calibration for an analytically operational approach to quantify multimedia phase partitioning. Anal. Chem. 2016, 88, 5818–5826. [Google Scholar] [CrossRef] [Green Version]
- Mannhold, R.; Poda, G.I.; Ostermann, C.; Tetko, I.V. Calculation of molecular lipophilicity: State-of-the-art and comparison of log P methods on more than 96,000 compounds. J. Pharm. Sci. 2009, 98, 861–893. [Google Scholar] [CrossRef]
- Hanson, K.B.; Hoff, D.J.; Lahren, T.J.; Mount, D.R.; Squillace, A.J.; Burkhard, L.P. Estimating n-octanol-water partition coefficients for neutral highly hydrophobic chemicals using measured n-butanol-water partition coefficients. Chemosphere 2019, 218, 616–623. [Google Scholar] [CrossRef]
- ECHA. UV-328. Draft Risk Profile. 2021. Available online: https://echa.europa.eu/documents/10162/c0604545-a115-9c61-a2ec-fefa5bdc5880 (accessed on 19 February 2022).
- Stenzel, A.; Goss, K.U.; Endo, S. Prediction of partition coefficients for complex environmental contaminants: Validation of COSMOtherm, ABSOLV, and SPARC. Environ. Toxicol. Chem. 2014, 33, 1537–1543. [Google Scholar] [CrossRef]
- Wang, Z.; MacLeod, M.; Cousins, I.T.; Scheringer, M.; Hungerbühler, K. Using COSMOtherm to predict physicochemical properties of poly-and perfluorinated alkyl substances (PFASs). Environ. Chem. 2011, 8, 389–398. [Google Scholar] [CrossRef]
- ECHA. Support Document for Identification of 2,4-di-tert-butyl-6-(5-chlorobenzotriazol-2-yl)phenol (UV-327) as a Substance of Very High Concern Because of Its vPvB (Article 57 e) Properties. 2015, pp. 1–150. Available online: https://echa.europa.eu/documents/10162/5d71b975-bba0-482d-9a5e-a102c7a0fc0d (accessed on 18 March 2022).
- Escher, B.I.; Schwarzenbach, R.P.; Westall, J.C. Evaluation of liposome−water partitioning of organic acids and bases. 2. Comparison of experimental determination methods. Environ. Sci. Technol. 2000, 34, 3962–3968. [Google Scholar] [CrossRef]
- Ha, Y.; Katz, L.E.; Liljestrand, H.M. Distribution of fullerene nanoparticles between water and solid supported lipid membranes: Thermodynamics and effects of membrane composition on distribution. Environ. Sci. Technol. 2015, 49, 14546–14553. [Google Scholar] [CrossRef] [PubMed]
- Endo, S.; Escher, B.I.; Goss, K.-U. Capacities of membrane lipids to accumulate neutral organic chemicals. Environ. Sci. Technol. 2011, 45, 5912–5921. [Google Scholar] [CrossRef] [PubMed]
- Nichols, J.W.; Huggett, D.B.; Arnot, J.A.; Fitzsimmons, P.N.; Cowan-Ellsberry, C.E. Toward improved models for predicting bioconcentration of well-metabolized compounds by rainbow trout using measured rates of in vitro intrinsic clearance. Environ. Toxicol. Chem. 2013, 32, 1611–1622. [Google Scholar] [CrossRef]
- Giraudo, M.; Cottin, G.; Esperanza, M.; Gagnon, P.; Silva, A.O.D.; Houde, M. Transcriptional and cellular effects of benzotriazole UV stabilizers UV-234 and UV-328 in the freshwater invertebrates Chlamydomonas reinhardtii and Daphnia magna. Environ. Toxicol. Chem. 2017, 36, 3333–3342. [Google Scholar] [CrossRef]
- Peng, X.; Fan, Y.; Jin, J.; Xiong, S.; Liu, J.; Tang, C. Bioaccumulation and biomagnification of ultraviolet absorbents in marine wildlife of the Pearl River Estuarine, South China Sea. Environ. Pollut. 2017, 225, 55–65. [Google Scholar] [CrossRef]
- Montesdeoca-Esponda, S.; Torres-Padrón, M.E.; Novák, M.; Krchová, L.; Sosa-Ferrera, Z.; Santana-Rodríguez, J.J. Occurrence of benzotriazole UV stabilizers in coastal fishes. J. Environ. Manage. 2020, 269, 110805. [Google Scholar] [CrossRef]
- Hasegawa, T.; Mizukawa, K.; Yeo, B.G.; Sekioka, T.; Takada, H.; Nakaoka, M. Trophic transfer of microplastics enhances plastic additive accumulation in fish. bioRxiv 2022. [Google Scholar] [CrossRef]
- National Institute of Environmental Research (NIER). Study on Accumulation of Emerging Contaminants in Domestic Aquatic Ecosystem (III). 2020; (In Korean). Available online: https://www.me.go.kr/home/file/readDownloadFile.do?fileId=128417&fileSeq=13 (accessed on 19 February 2022).
- Do, A.T.N.; Ha, Y.; Kang, H.-J.; Kim, J.M.; Kwon, J.-H. Equilibrium leaching of selected ultraviolet stabilizers from plastic products. J. Hazard. Mater. 2021, 427, 128144. [Google Scholar] [CrossRef]
- Lohmann, R. Microplastics are not important for the cycling and bioaccumulation of organic pollutants in the oceans—But should microplastics be considered POPs themselves? Integr. Environ. Assess. Manag. 2017, 13, 460–465. [Google Scholar] [CrossRef] [Green Version]
- ECHA. Support Document for Identification of 2-(2H-benzotriazol-2-yl)-4,6-ditertpentylphenol (UV-328) as a Substance of Very High Concern Because of Its PBT/vPvB-Properties. 2014, pp. 1–142. Available online: https://echa.europa.eu/documents/10162/78b46a52-7b7c-c7ae-d5d7-2df3d2ef3a21 (accessed on 19 February 2022).
- Kim, Y.; Lee, H.; Jang, M.; Hong, S.H.; Kwon, J.-H. Evaluating the fate of hexabromocyclododecanes in the coastal environment: Fugacity analysis using field data. Environ. Pollut. 2021, 286, 117461. [Google Scholar] [CrossRef]




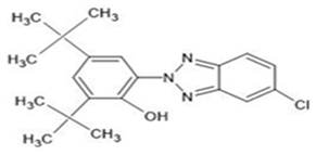
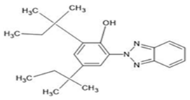
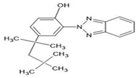
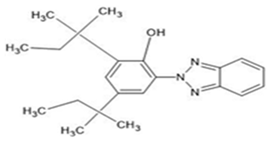
| Compounds | Molecular Structure | Molecular Weight (g mol−1) | Empirical Formula | CAS No. |
|---|---|---|---|---|
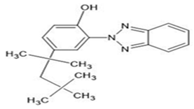
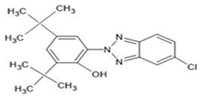
| UV326 | ![]() | 315.80 | C17H18ClN3O | 3896-11-5 |
| UV327 | ![]() | 357.88 | C20H24ClN3O | 3864-99-1 |
| UV328 | ![]() | 351.49 | C22H29N3O | 25973-55-1 |
| UV329 | ![]() | 323.43 | C20H25N3O | 3147-75-9 |
| UV531 | ![]() | 326.436 | C21H26O3 | 1843-05-6 |
| Chemicals | Dw a (m2·s−1) | Experimental Data | Predicted Data | ||||
|---|---|---|---|---|---|---|---|
| log KPDMSw (KPDMSw in Lw·LPDMS−1) | log Klipw (Klipw in Lw·Llip−1) | log Kow (Kow in Lw·Lo−1) | log Kow (ECHA) b | log Kow (EPI Suite) c | log Kow (ALOGPS) d | ||
| UV326 | 4.54 × 10−10 | 6.57 (6.53, 6.62) | 7.86 (7.81, 7.91) | 7.38 (7.34, 7.43) | >6.5 (23 °C, pH 6.4) | 5.55 | 5.70 |
| UV327 | 4.15 × 10−10 | 6.56 (6.53, 6.60) | 7.69 (7.75, 7.64) | 7.31 (7.27, 7.35) | — | 6.91 | 6.27 |
| UV328 | 4.21 × 10−10 | 7.22 (7.13, 7.33) | 8.34 (8.24, 8.45) | 7.94 (7.85, 8.05) | >6.5 (23 °C, pH 6.4) | 7.25 | 6.54 |
| UV329 | 4.46 × 10−10 | 6.14 (6.06, 6.20) | 7.40 (7.34, 7.46) | 6.91 (6.86, 6.97) | >6.5 (23 °C, pH 6.4) | 6.21 | 5.83 |
| UV531 | 4.43 × 10−10 | 6.19 (6.07, 6.38) | 7.50 (7.37, 7.68) | 7.08 (6.96, 7.27) | — | 6.96 | 6.12 |
Publisher’s Note: MDPI stays neutral with regard to jurisdictional claims in published maps and institutional affiliations. |
© 2022 by the authors. Licensee MDPI, Basel, Switzerland. This article is an open access article distributed under the terms and conditions of the Creative Commons Attribution (CC BY) license (https://creativecommons.org/licenses/by/4.0/).
Share and Cite
Do, A.T.N.; Kim, Y.; Ha, Y.; Kwon, J.-H. Estimating the Bioaccumulation Potential of Hydrophobic Ultraviolet Stabilizers Using Experimental Partitioning Properties. Int. J. Environ. Res. Public Health 2022, 19, 3989. https://doi.org/10.3390/ijerph19073989
Do ATN, Kim Y, Ha Y, Kwon J-H. Estimating the Bioaccumulation Potential of Hydrophobic Ultraviolet Stabilizers Using Experimental Partitioning Properties. International Journal of Environmental Research and Public Health. 2022; 19(7):3989. https://doi.org/10.3390/ijerph19073989
Chicago/Turabian StyleDo, Anh T. Ngoc, Yoonsub Kim, Yeonjeong Ha, and Jung-Hwan Kwon. 2022. "Estimating the Bioaccumulation Potential of Hydrophobic Ultraviolet Stabilizers Using Experimental Partitioning Properties" International Journal of Environmental Research and Public Health 19, no. 7: 3989. https://doi.org/10.3390/ijerph19073989
APA StyleDo, A. T. N., Kim, Y., Ha, Y., & Kwon, J.-H. (2022). Estimating the Bioaccumulation Potential of Hydrophobic Ultraviolet Stabilizers Using Experimental Partitioning Properties. International Journal of Environmental Research and Public Health, 19(7), 3989. https://doi.org/10.3390/ijerph19073989






